Looking for a textbook for Advanced Limits

Click For Summary

Discussion Overview

The discussion revolves around finding a suitable textbook for advanced limit problems in calculus. Participants share recommendations and express differing opinions on the adequacy of various resources, focusing on the need for comprehensive examples and exercises related to limits.

Discussion Character

  • Debate/contested
  • Technical explanation
  • Conceptual clarification

Main Points Raised

  • One participant seeks a textbook that covers limit theory and provides numerous examples, indicating dissatisfaction with their current resources.
  • Another participant suggests the OpenStax calculus book, but questions arise about its coverage of specific limit examples mentioned by the original poster.
  • Several participants recommend Spivak's "Calculus," highlighting its detailed exercises and solutions, though some express that it may not meet the original poster's needs for a collection of limit problems.
  • Demidovich's work is mentioned as a potential collection of exercises, with a note that no single book may cover all types of limits comprehensively.
  • Participants discuss the utility of introductory calculus books, such as Stewart's, for limit problems, and mention techniques like L'Hôpital's rule and logarithmic manipulation for solving limits.

Areas of Agreement / Disagreement

Participants do not reach consensus on a single recommended textbook. There are multiple competing views regarding the adequacy of suggested resources, with some believing that the original poster is looking for a collection of exercises rather than a standard textbook.

Contextual Notes

There is uncertainty regarding the specific needs of the original poster, as well as the completeness of the recommended texts in addressing all types of limit problems. Some participants express that no book may fully encompass the breadth of limit examples discussed.

askor
Messages
168
Reaction score
9
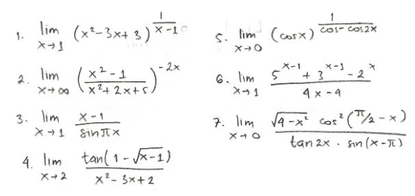
As I can't find it in my basic calculus book, can someone please tell me what book that taught a limit theory and problem like these?

Thank you
 

Attachments

  • limits.PNG
    limits.PNG
    15.4 KB · Views: 265
  • Like
Likes   Reactions: Delta2
Physics news on Phys.org
Are you sure that the openstax calculus book cover all of the limit examples I posted in post #1?

I need a calculus book that contain many, many examples of limit problem I posted in post #1.
 
Spivak's book "Calculus" is what you are looking for.
 
Math_QED said:
Spivak's book "Calculus" is what you are looking for.
I don't think so. Mine is full of exercises, many with solutions, and not only limits but e.g. integrals, too. Spivak is in the end just another book about calculus.
 
fresh_42 said:
I don't think so. Mine is full of exercises, many with solutions, and not only limits but e.g. integrals, too. Spivak is in the end just another book about calculus.

Spivak has many exercises solved in details while developing the theory, also many exercises from very easy to very difficult in the exercise section, and the exercises also have a solution manual. I don't understand your objection.
 
No objection, Spivak is a good reference. I think the OP is looking for a collection of exercises rather than an ordinary textbook. Demidovich is such a collection. Of course we cannot know for sure what he is looking for, especially as there is no such book which only covers limits of all kind. He has ##\lim_{x \to 1} \dfrac{x-1}{\sin(\pi x)}## as an example. I thought: what about ##x\to 0, x\to 1/2## and similar with every example?

Here is another collection:
http://etananyag.ttk.elte.hu/FiLeS/downloads/4b_FeherKosToth_MathAnExII.pdf
 
Last edited:
I think mostly intro calculus books will have limit problems like that- Stewart's book is pretty widely used. @fresh_42 points out that L'Hospital is useful for some of these problems. For the limits with functions as exponents, taking logarithms (and then using L'Hopital if necessary) is another useful trick.
 

Similar threads

  • · Replies 5 ·
Replies
5
Views
2K
  • · Replies 17 ·
Replies
17
Views
13K
  • · Replies 3 ·
Replies
3
Views
3K
  • · Replies 11 ·
Replies
11
Views
3K
  • · Replies 2 ·
Replies
2
Views
2K
  • · Replies 5 ·
Replies
5
Views
5K
  • · Replies 8 ·
Replies
8
Views
3K
  • · Replies 5 ·
Replies
5
Views
3K
  • · Replies 23 ·
Replies
23
Views
7K
  • · Replies 39 ·
2
Replies
39
Views
10K