Multiple Integral Homework: Right or Left?

  • Thread starter Thread starter asi123
  • Start date Start date
  • Tags Tags
    Integral Multiple
Click For Summary
SUMMARY

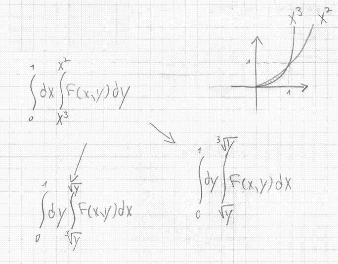
The discussion centers on the correct setup of double integrals for the functions defined by the curves y = x^3 and y = x^2. The user proposes two integral setups: the first as ∫_{0}^{1} ∫_{x^3}^{x^2} F(x,y) \, dx \, dy and the second as ∫_{0}^{1} ∫_{y^{1/3}}^{y^{1/2}} F(x,y) \, dy \, dx. The correct order of integration is confirmed, with the upper curve being y = x^2 and the lower curve being y = x^3 when integrating with respect to y. The notation for the density function F(x,y) is also clarified, distinguishing between lowercase and uppercase representations.

PREREQUISITES
  • Understanding of double integrals in calculus
  • Familiarity with the concepts of upper and lower curves in integration
  • Knowledge of density functions in statistics
  • Ability to visualize and manipulate graphs of functions
NEXT STEPS
  • Study the properties of double integrals in calculus
  • Learn about changing the order of integration in multiple integrals
  • Explore the application of density functions in probability theory
  • Practice visualizing curves and regions in the Cartesian plane
USEFUL FOR

Students and educators in calculus, particularly those focusing on multiple integrals, as well as anyone interested in the application of integration techniques in statistics and probability.

asi123
Messages
254
Reaction score
0

Homework Statement



Hey.
Which one is correct, the right one or the left one?
I think it's the right one, but I'm not sure...

Homework Equations





The Attempt at a Solution

 

Attachments

  • scan0006.jpg
    scan0006.jpg
    54.6 KB · Views: 485
Physics news on Phys.org
When you choose to change the order of integration in this way, turn the graph (or your head) 90º to see which curve is now "on top" and "on bottom" of the region. The y = x^3 [ now x = y^(1/3) ] becomes the "upper" curve for integration along the y-axis.

However, I believe you do not have these integrals set up right. Shouldn't they be

[tex]\int^{1}_{0} \int^{x^2}_{x^3} F(x,y) dx \, dy[/tex]

and

[tex]\int^{1}_{0} \int^{y^{1/3} }_{y^{1/2} } F(x,y) dy \, dx[/tex] ?

If you were only integrating infinitesimal two-dimensional elements of the area within the bounded region to evaluate the total area, that is the order the differentials would be written in (with F(x,y) = 1).
 
Last edited:
So I'm guessing F(x,y) is your density function? I know in statistics it is common to use a lowercase f(x,y) to represent your density function and a capital F(x,y) to represent your distribution function but I'll keep your notation.

In your top integral you are doing:
[tex]\int \int F(x,y)dydx[/tex]
where you will be fixing a arbitrary value of x.

So from the x-axis up you will be hitting your x^3 function first and then your x^2 function so your bounds are correct there.

In your bottom integral you are doing:
[tex]\int \int F(x,y)dxdy[/tex]
where you are fixing an arbitrary value of y

and from the y-axis and to the right you will hit your x^2 function first and then your x^3 function.
So your thinking is correct I believe, someone will come along and correct me if I'm wrong hopefully haha.
 

Similar threads

Replies
20
Views
2K
  • · Replies 105 ·
4
Replies
105
Views
12K
Replies
1
Views
2K
  • · Replies 4 ·
Replies
4
Views
2K
  • · Replies 1 ·
Replies
1
Views
1K
  • · Replies 6 ·
Replies
6
Views
2K
  • · Replies 18 ·
Replies
18
Views
4K
Replies
3
Views
2K
  • · Replies 3 ·
Replies
3
Views
1K
  • · Replies 22 ·
Replies
22
Views
2K