Paradox - different results for different viewers

Click For Summary

Homework Help Overview

The discussion revolves around a scenario involving two observers, A and B, where A throws a particle from a charged panel while B runs below it. The problem explores the differing perceptions of the particle's trajectory due to relativistic effects and magnetic forces, questioning why both observers do not calculate the same path for the particle despite being in inertial frames.

Discussion Character

  • Mixed

Approaches and Questions Raised

  • Participants explore the implications of relativistic momentum and forces in different frames of reference. Questions arise regarding the constancy of momentum and velocity components in A's frame versus B's frame, and the role of magnetic forces in B's calculations.

Discussion Status

Participants are actively engaging with the problem, raising clarifying questions and exploring the relativistic framework. Some guidance has been offered regarding the relationship between force, momentum, and acceleration in different frames, but no consensus has been reached on the resolution of the paradox.

Contextual Notes

There are ongoing discussions about the setup of the problem, including the orientation of the charged panel and the initial conditions of the particle's velocity. The complexity of relativistic effects and the definitions of forces in different frames are also under scrutiny.

kajagoooooooo

Homework Statement


One person that we will call him - A is standing on an infinite charged non conductive panel with velocity V=(-Vx0,0).
A is throwing a particle q with V=(Vx0,Vy0).
The other person - B, is start running below the particle at t=t0.
A thinks that B will see the particle above him all the time because their both x velocity`s is not changing the whole time.
But if B calculate the route of the particle, while he is taking into account the magnetic field because of the moving charged panel he gets a magnetic force: Fb=(-F,0), so the particle accelerate to y and to -x.
Why they don`t calculate the same route? both inertial systems.

Homework Equations


Coulomb law.

3. The Attempt at a Solution

I don`t have an idea what the solution might be.
 
Physics news on Phys.org
Stick with A's frame for the moment. Which of the following is true?

(a) the x-component of the momentum of the particle is constant in A's frame
(b) the x-component of the velocity of the particle is constant in A's frame
(c) both are constant
(d) neither is constant

Also, it would help to clarify the orientation of the panel. Is the y-axis perpendicular to the panel so that the E field is in the y direction?
 
TSny said:
Stick with A's frame for the moment. Which of the following is true?

(a) the x-component of the momentum of the particle is constant in A's frame
(b) the x-component of the velocity of the particle is constant in A's frame
(c) both are constant
(d) neither is constant
both are constant.
But A thinks that for B`s point of view the x-component of the velocity is zero.
But when you go inside B`s inertial system, he thinks that the particle has V=(-Vx,0) because of the magnetic force.
 
kajagoooooooo said:
both are constant.
No.

Can you state the relativistic formula for the x-component of momentum of the particle in terms of mass and velocity?
 
In A system:
upload_2017-10-31_20-24-50.png

upload_2017-10-31_20-25-2.png

upload_2017-10-31_20-25-34.png

In B system:
upload_2017-10-31_20-26-38.png

upload_2017-10-31_20-26-44.png

upload_2017-10-31_20-27-31.png

upload_2017-10-31_20-27-38.png
 

Attachments

  • upload_2017-10-31_20-24-50.png
    upload_2017-10-31_20-24-50.png
    1.2 KB · Views: 351
  • upload_2017-10-31_20-25-2.png
    upload_2017-10-31_20-25-2.png
    1.7 KB · Views: 341
  • upload_2017-10-31_20-25-34.png
    upload_2017-10-31_20-25-34.png
    1.9 KB · Views: 348
  • upload_2017-10-31_20-26-38.png
    upload_2017-10-31_20-26-38.png
    1.4 KB · Views: 336
  • upload_2017-10-31_20-26-44.png
    upload_2017-10-31_20-26-44.png
    1.4 KB · Views: 333
  • upload_2017-10-31_20-27-31.png
    upload_2017-10-31_20-27-31.png
    639 bytes · Views: 338
  • upload_2017-10-31_20-27-38.png
    upload_2017-10-31_20-27-38.png
    822 bytes · Views: 333
The resolution of the paradox involves relativity.

Is this the correct setup of the problem at the moment the particle is launched?
upload_2017-10-31_13-46-25.png


A's frame is the unprimed frame and B's frame is the primed frame.
 

Attachments

  • upload_2017-10-31_13-46-25.png
    upload_2017-10-31_13-46-25.png
    4.8 KB · Views: 845
  • Like
Likes   Reactions: kajagoooooooo
TSny said:
The resolution of the paradox involves relativity.

Is this the correct setup of the problem at the moment the particle is launched?
View attachment 214118

A's frame is the unprimed frame and B's frame is the primed frame.
Yes it is the setup.
If you can solve it using relativity it would be great!
 
kajagoooooooo said:
Yes it is the setup.
If you can solve it using relativity it would be great!
It's your problem :oldsmile:.

The magnetic force in B's frame will give the particle a nonzero x-component of acceleration. Does the particle also have a nonzero x-component of acceleration in A's frame where there is no x-component of force? You can answer that by considering the relativistic formula for the x-component of momentum.
 
  • Like
Likes   Reactions: kajagoooooooo
TSny said:
It's your problem :oldsmile:.

The magnetic force in B's frame will give the particle a nonzero x-component of acceleration. Does the particle also have a nonzero x-component of acceleration in A's frame where there is no x-component of force? You can answer that by considering the relativistic formula for the x-component of momentum.
I think I got it.
If I look at the system from the point of view of A itself, and then use this formulas:
upload_2017-10-31_23-11-32.png

I get a force on the x-component too!
 

Attachments

  • upload_2017-10-31_23-11-32.png
    upload_2017-10-31_23-11-32.png
    2 KB · Views: 341
  • #10
In A's frame, the only force is the electric force, qE, in the y direction. There is no magnetic field in A's frame.

So, the x-component of force is zero in frame A.

The key is to recall whether force in relativity is equal to rate of change of momentum or equal to mass times acceleration.
 
  • #11
TSny said:
In A's frame, the only force is the electric force, qE, in the y direction. There is no magnetic field in A's frame.

So, the x-component of force is zero in frame A.

The key is to recall whether force in relativity is equal to rate of change of momentum or equal to mass times acceleration.
I don`t get it,
Why there will be any change of momentum in frame A?
 
  • #12
In frame A the x-component of the force is zero. This means that the x-component of momentum is constant. But that implies that the x-component of velocity decreases in this situation where the particle’s y- component of velocity increases. To see why, look at the formula for the x-component of momentum. It involves both the x- and y- components of velocity.
 
  • #13
TSny said:
In frame A the x-component of the force is zero. This means that the x-component of momentum is constant. But that implies that the x-component of velocity decreases in this situation where the particle’s y- component of velocity increases. To see why, look at the formula for the x-component of momentum. It involves both the x- and y- components of velocity.
Thanks!
For those who are searching for the formula:
upload_2017-11-1_21-13-27.png
 

Attachments

  • upload_2017-11-1_21-13-27.png
    upload_2017-11-1_21-13-27.png
    2.8 KB · Views: 787
  • #14
  • Like
Likes   Reactions: kajagoooooooo
  • #15
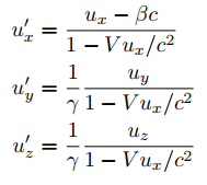
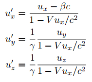
TSny said:
These are the formulas for transforming velocity from the unprimed frame to the primed frame.

The relativistic formula for momentum is given by the last equation here http://www.saburchill.com/physics/chapters/0093.html
Sorry for the misunderstanding,
But if Vx0=0 at the beginning of the question, isn`t Px will stay 0 the entire time?
Maybe we multiply bigger number, but we multiply it by zero (Vx0).
 
  • #16
kajagoooooooo said:
Sorry for the misunderstanding,
But if Vx0=0 at the beginning of the question, isn`t Px will stay 0 the entire time?
Yes, that's right. If Vx0 = 0 and if there is no x-component of force, then Vx and Px will remain zero. But in A's frame, Vx0 is not zero.

According to A, Vx must decrease in order to maintain a constant x-component of momentum. This sounds paradoxical at first, until you examine carefully the formula for the x-component of relativistic momentum. Note, that if you use the concept of relativistic mass: mr = m/(1-V2/c2)1/2, then you can write the x-component of momentum as

Px = mrVx.

As the particle pick up speed in the y-direction due to the electric force, what happens to the relativistic mass? So, what must happen to Vx in order for Px to remain constant? (Remember, in A's frame there is no force acting on the particle in the x direction. So, in A's frame Px is constant.)

In B's frame, V'x0 = 0. As time passes according to B, V'x will decrease (become more and more negative) due to the magnetic force acting in the negative x direction.

Both frames agree that the particle has nonzero x-component of acceleration. (But, they will disagree on the numerical value of the acceleration.)
 
  • Like
Likes   Reactions: kajagoooooooo
  • #17
TSny said:
Yes, that's right. If Vx0 = 0 and if there is no x-component of force, then Vx and Px will remain zero. But in A's frame, Vx0 is not zero.

According to A, Vx must decrease in order to maintain a constant x-component of momentum. This sounds paradoxical at first, until you examine carefully the formula for the x-component of relativistic momentum. Note, that if you use the concept of relativistic mass: mr = m/(1-V2/c2)1/2, then you can write the x-component of momentum as

Px = mrVx.

As the particle pick up speed in the y-direction due to the electric force, what happens to the relativistic mass? So, what must happen to Vx in order for Px to remain constant? (Remember, in A's frame there is no force acting on the particle in the x direction. So, in A's frame Px is constant.)

In B's frame, V'x0 = 0. As time passes according to B, V'x will decrease (become more and more negative) due to the magnetic force acting in the negative x direction.

Both frames agree that the particle has nonzero x-component of acceleration. (But, they will disagree on the numerical value of the acceleration.)
Thanks!
You're the best!
 
  • #18
TSny said:
Yes, that's right. If Vx0 = 0 and if there is no x-component of force, then Vx and Px will remain zero. But in A's frame, Vx0 is not zero.

According to A, Vx must decrease in order to maintain a constant x-component of momentum. This sounds paradoxical at first, until you examine carefully the formula for the x-component of relativistic momentum. Note, that if you use the concept of relativistic mass: mr = m/(1-V2/c2)1/2, then you can write the x-component of momentum as

Px = mrVx.

As the particle pick up speed in the y-direction due to the electric force, what happens to the relativistic mass? So, what must happen to Vx in order for Px to remain constant? (Remember, in A's frame there is no force acting on the particle in the x direction. So, in A's frame Px is constant.)

In B's frame, V'x0 = 0. As time passes according to B, V'x will decrease (become more and more negative) due to the magnetic force acting in the negative x direction.

Both frames agree that the particle has nonzero x-component of acceleration. (But, they will disagree on the numerical value of the acceleration.)
My teacher solved this question today at class using the "hidden momentum",
Can you put a little bit of light between 400nm to 700nm wavelength on this solution so that I will be able to realize this too?

Thanks,
Kaja
 
  • #19
Kajagoogooooooo said:
My teacher solved this question today at class using the "hidden momentum",
Can you put a little bit of light between 400nm to 700nm wavelength on this solution so that I will be able to realize this too?
I think this request is too vague. Can you show the solution given by your teacher and indicate specifically where you are having difficulties?
 

Similar threads

Replies
12
Views
2K
  • · Replies 2 ·
Replies
2
Views
2K
  • · Replies 31 ·
2
Replies
31
Views
3K
  • · Replies 3 ·
Replies
3
Views
1K
Replies
8
Views
2K
Replies
2
Views
1K
  • · Replies 4 ·
Replies
4
Views
3K
  • · Replies 8 ·
Replies
8
Views
2K
Replies
11
Views
3K
  • · Replies 4 ·
Replies
4
Views
2K