Pfizer/Moderna covid vaccine research papers

Click For Summary

Discussion Overview

This discussion revolves around the research papers related to the Pfizer and Moderna COVID-19 vaccines, focusing on their efficacy, safety profiles, and the implications of dosing regimens. Participants explore various aspects of the studies, including statistical analyses, side effects, and the rationale behind the two-dose recommendation.

Discussion Character

  • Exploratory
  • Technical explanation
  • Debate/contested
  • Mathematical reasoning

Main Points Raised

  • Some participants highlight the peer-reviewed Pfizer vaccine study and discuss its findings, including the effectiveness and side effects observed in different age groups.
  • Others note the importance of the second dose, citing that effectiveness after the first dose ranges from 30% to 68%.
  • A participant questions how the effectiveness numbers were derived, suggesting that the cohort size may have influenced the results.
  • There is a discussion about the visual representation of vaccine efficacy and the potential for a one-dose regimen, with some participants expressing curiosity about future studies on this topic.
  • Some participants reflect on the FDA's decision-making process regarding dosing, suggesting that the two-dose regimen was chosen to ensure efficacy based on safety data from earlier trials.
  • One participant mentions a paper discussing the appropriate time between doses, linking it to earlier tests and dosage considerations.
  • There is a note that the Pfizer and Moderna vaccines utilize different technology compared to other vaccines, which may affect their dosing and efficacy profiles.

Areas of Agreement / Disagreement

Participants express a mix of agreement and disagreement regarding the efficacy and safety of the vaccines, the rationale for the two-dose regimen, and the interpretation of data from the studies. No consensus is reached on the necessity or effectiveness of a one-dose regimen versus two doses.

Contextual Notes

Some limitations are noted regarding the cohort size and the statistical analysis methods used in the studies, as well as the dependence on earlier trials for dose selection. Specific assumptions about the data and its interpretation remain unresolved.

Who May Find This Useful

This discussion may be of interest to researchers, healthcare professionals, and individuals seeking to understand the nuances of COVID-19 vaccine efficacy and safety data.

Messages
36,810
Reaction score
15,772
TL;DR
Commentary on vaccine paper
Here is the official peer reviewed Pfizer vaccine study published in the New England Journal of Medicine:
https://www.nejm.org/doi/full/10.1056/NEJMoa2034577

This is a follow-up piece that describes what an emergency use authorization means and gives a perspective about follow-up
https://www.nejm.org/doi/full/10.1056/NEJMp2031373

I was also hoping to find published details of the FDA analysis of the original data. The FDA has access to the full source data and does not rely on the published paper for its decisions. But all I could find was this:
https://www.fda.gov/emergency-prepa...019-covid-19/pfizer-biontech-covid-19-vaccine
 
  • Like
  • Love
Likes   Reactions: pinball1970, neilparker62, jedishrfu and 5 others
Biology news on Phys.org
Thank you.
 
I am just going through the study now. I was happy to see that they were doing both a Bayesian and a frequentist analysis!

I found it interesting that injection site pain, fatigue, headache, and fever were all more frequent for younger subjects than for subjects 55 years old and older.

The one ventricular arrhythmia is interesting. They say that it was related, but it is hard to see how.
 
  • Like
Likes   Reactions: jedishrfu and atyy
They had 162 COVID cases with the placebo and 8 cases with the vaccine. So that is the famous 95% effectiveness. I was pleased to see that the lower bound of the confidence interval was 90%. In some ways that “at least 90%” is more encouraging than “approximately 95%”.

It also looks like it is very important to get that second dose. After the first dose effectiveness is only 30% - 68%.
 
  • Like
Likes   Reactions: jedishrfu and atyy
I have not been able to find a peer-reviewed paper on the Moderna vaccine study, but I did find this report to the FDA.

https://www.fda.gov/media/144434/download

It is quite comprehensive. It looks like a similar safety and efficacy profile.
 
  • Like
Likes   Reactions: pinball1970 and jedishrfu
Dale said:
It also looks like it is very important to get that second dose. After the first dose effectiveness is only 30% - 68%.
This must have been a very small cohort of data...actually how did they tease this number out? Did some people sicken during the interim period ?
 
  • Like
Likes   Reactions: jedishrfu
hutchphd said:
This must have been a very small cohort of data...actually how did they tease this number out? Did some people sicken during the interim period ?

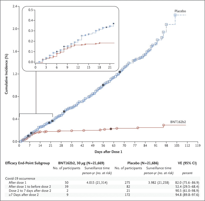
This figure from the paper nicely visualizes the efficacy of the vaccine. The second dose was administered 21 days after the first dose, but ~2 weeks after the first dose, you can already see signs of protection:
1608337861215.png


At least to my untrained eye, it kind of looks like the protection "sets in" two weeks after the first dose and it doesn't actually look like there's much additional protection from the second dose. I wonder if people at Pfizer are looking at testing a one dose regime (maybe in a non-inferiority trial to the two dose treatment) to see how much better one dose is vs two doses.
 
  • Like
Likes   Reactions: EHope
Ygggdrasil said:
This figure from the paper nicely visualizes the efficacy of the vaccine. The second dose was administered 21 days after the first dose, but ~2 weeks after the first dose, you can already see signs of protection:
View attachment 274623

At least to my untrained eye, it kind of looks like the protection "sets in" two weeks after the first dose and it doesn't actually look like there's much additional protection from the second dose. I wonder if people at Pfizer are looking at testing a one dose regime (maybe in a non-inferiority trial to the two dose treatment) to see how much better one dose is vs two doses.
That is a good point. The 30%-68% is an average over the whole three week period between vaccinations.

It would be very interesting to see a comparison of the 304 subjects that received only a single vaccine dose vs the 316 subjects that received only a single placebo dose
 
hutchphd said:
This must have been a very small cohort of data...actually how did they tease this number out? Did some people sicken during the interim period ?
Yes, it is a rather small cohort of data. That is partly why the range is so large. My understanding is that it is the number of people that came down with Covid within 21 days of the first injection.
 
  • Like
Likes   Reactions: hutchphd
  • #10
Boy it sure looks to me like 12 days after the first dose life is pretty darn good...other than extreme conservatism I surely don't understand the very low numbers for single dose results. In the midst of the crisis we are in there must be some ancillary reasons for the two dose regimen. I do not see it in this data at all.
 
  • Like
Likes   Reactions: EHope
  • #11
Having perused the the paper it seems to me that the conclusions p30 -31 indicate the 2 dose recommendation was at least partially driven by the complete absence of severe cases after that date for the vaccine group. I reiterate my question above but thank these folks profusely.
 
  • #12
hutchphd said:
In the midst of the crisis we are in there must be some ancillary reasons for the two dose regimen.
So, I am not in pharma, but in another area regulated by the FDA. The way it goes is this:

Based on the phase 1 and 2 trials they do not really know efficacy, but they have to make a best guess for the dose to use in the phase 3 trial. They sure as **** don’t want to under dose and risk falling below the minimum efficacy threshold just due to choosing too weak of a dose, and they know that the two-dose regimen is reasonably safe. So they choose that dose in their big efficacy study.

As a result they now have solid data that they didn’t have before about efficacy. From this data there is a hint that one dose could be effective, but they didn’t prove that and only now discovered it. To prove that would require a follow-up study designed to study specifically that question.

I am sure that will come, but now they are just going with the specific recommendation that their study was designed to justify.
 
  • #13
Yeah I have dealt the medical instrumentation side of FDA and think highly of the organization (at least as it was a decade ago). Your analysis seems spot on.

All I know is that 14 days after I get the first shot I'm going to feel a whole lot better about my fellow humans!
 
  • Like
Likes   Reactions: Dale
  • #14
hutchphd said:
Yeah I have dealt the medical instrumentation side of FDA and think highly of the organization (at least as it was a decade ago). Your analysis seems spot on.

All I know is that 14 days after I get the first shot I'm going to feel a whole lot better about my fellow humans!
Yes, I agree on both comments.

I was in a discussion with a family member earlier this year who simply dismissed some of the FDA recommendations. His claims were based on a complete caricature of how they work. They certainly can be wrong, but they are never foolishly wrong. They strongly value solid and careful science.
 
  • #15
  • Like
Likes   Reactions: hutchphd and Dale
  • #16
Tom.G said:
I lost the link, but one recent paper I read stated that the appropriate time between doses is 17-21 days.

Some of the questions raised here (dose selection) are addressed in the Supplementary Information
https://static-content.springer.com/esm/art:10.1038/s41591-020-01194-5/MediaObjects/41591_2020_1194_MOESM1_ESM.pdf
linked in this article:
https://www.nature.com/articles/s41591-020-01194-5

Short version: Dosage based on earlier tests and results using adenovirus, around 1010 virus particles.

The paper you cite is from the Oxford-AstraZeneca team's phase 1/2 trial of their vaccine. That vaccine, however, is very different from the Pfizer and Moderna vaccines (it is based on a very different technology). The Pfizer and Moderna vaccines are mRNA vaccines in which the messenger RNA encoding the spike protein antigen is packaged in a lipid nanoparticle for delivery into cells. On the other hand, the Oxford-AstaZeneca uses a mild cold-causing virus (a chimpanzee adenovirus, in their case) to deliver viral RNA encoding the spike protein antigen. It's unclear to what extend the data from a trial of an adenoviral vectored vaccine would apply to a mRNA vaccine. Indeed, Johnson and Johnson is developing another adenoviral vectored vaccine, but unlike the Oxford-AstraZeneca vaccine, the Johnson & Johnson vaccine is being developed to require only one dose. So even within a single vaccine technology, it's not clear how much data from one vaccine can inform usage and dosing of a different vaccine.

Here's a link to the phase 1/2 results from the Pfizer vaccine, which might have data informing the decision to use two doses vs one dose: https://www.nature.com/articles/s41586-020-2639-4
 
  • Informative
Likes   Reactions: Tom.G
  • #17
Dale said:
Based on the phase 1 and 2 trials they do not really know efficacy,
Apologies if I missed it, what are the purposes of Phase I and II?
 
  • #18
Phase 1 trials for new drugs are generally done in a small number of healthy individuals to determine the safe dosages of a new drug. Phase 2 trials are done in the target patient population and are focused on both assessing safety in a larger population and finding the most effective dose of the drug. Finally, once the optimal dose is selected, phase 3 trials are large scale trials done to measure the efficacy and safety of the finalized dose.

In the context of Coronavirus vaccines, because the target patient population of a vaccine is healthy individuals. phases 1 and 2 are typically combined into one trial to speed things up. In these trials, patients are given varying doses of the vaccine and researchers measure antibody levels as a faster surrogate measure of immunity (rather than waiting to see how many of the vaccinated individuals go on to get infected). Phase 3 trials measure actual efficacy by vaccinating one group of people, and comparing the rate of infections in the vaccinated group to the rate of infections in a placebo group.

For the Pfizer vaccine, the phase 1/2 studies tested three dosages (10, 30 and 100µg) and two different versions of the vaccine (BNT162b1 and BNT162b2). The researchers saw that the 100µg dose gave too strong side effects, but the patients given the 30µg dose developed sufficient antibody levels without as many side effects. Similarly, they saw that the BNT162b2 version of the vaccine performed better in the phase 1/2 trials, so they went forward to phase 3 with the 30µg dose of the BNT162b2 vaccine.
 
  • Like
  • Informative
Likes   Reactions: mfb, Lord Crc, Tom.G and 4 others
  • #19
  • #21
For the layman side of this great work, This American Life podcast 12/18/2020 Act 2 interviews some of the people involved in the early days of COVID-19 to identify the spikes and get the vaccine production moving.

These folks were working hard in December 2019 and January 2020 long before we knew what was really going on. Some were called back from winter vacation.

Once the preliminary work was done pieces were handed off to the drug companies.

https://www.thisamericanlife.org/727/boulder-v-hill

Act 1: the forest fire heroes.
Act 2: the vaccine heroes.
 
  • Like
Likes   Reactions: Dale
  • #22
Ygggdrasil said:
At least to my untrained eye, it kind of looks like the protection "sets in" two weeks after the first dose and it doesn't actually look like there's much additional protection from the second dose. I wonder if people at Pfizer are looking at testing a one dose regime (maybe in a non-inferiority trial to the two dose treatment) to see how much better one dose is vs two doses.
Absolutely. This seems almost a no brainer...3000 people a day! C'mon folks time to make noise

https://www.wbur.org/commonhealth/2020/12/18/coronavirus-vaccine-single-dose-debate
 
  • #23
hutchphd said:
This seems almost a no brainer...3000 people a day!
Well, it definitely is not a no-brainer. It seems promising and I tend to lean that direction. But there are far too many unknowns to do this without careful consideration.

It is not clear how effective a one dose regimen is in the short term. We don’t know how long protection lasts nor if that is reduced by a single dose. We don’t know if the vaccine halts transmission, nor if that is altered by a single dose. We don’t even know the long term effects of the virus.

We do know that compliance will be reduced if a second dose is later found necessary but people have accepted a single dose as effective. We do know that we could vaccinate more people quickly with single doses. We do know that the virus is at its worst level ever.

On the whole, I think that the idea has merit. Even if the protection was less complete and didn’t last as long, I think it could dramatically help curb this current spike. I think the lives saved by rapidly doubling our vaccinated population would be worth the risks, but those risks are difficult to estimate with any degree of confidence. My assessment of the risk-benefit is not well educated, which introduces its own risk.

I hope that someone with the right education and information is making this a whole-brainer. Preferably a team of several such someones. A multi-brainer.
 
  • Like
Likes   Reactions: atyy
  • #24
Dale said:
It is not clear how effective a one dose regimen is in the short term. We don’t know how long protection lasts nor if that is reduced by a single dose.

Figure 1 in the article linked below shows (for at least one candidate vaccine) that antibodies severely decline about 14 days after the first vaccine dose. The second dose shows a significant antibody increase with a long tail... But it is variable depending on what aspect is tested and is worse with the patients age. (note the log Y-axis scaling)

https://www.nejm.org/doi/full/10.1056/NEJMc2032195

(above found with:
https://www.google.com/search?&q=covid+19+antibody+versus+time+after+vaccination)

Cheers,
Tom
 
  • Like
Likes   Reactions: Dale
  • #25
Remember the trials were set up to test the effectiveness of two doses, if they wanted to look at single dose vaccination, and some vaccines are being designed with this in mind, then that's how the trials should be designed.
Just for interest you can actually watch the meeting at the FDA where the evidence was considered, unfortunately it is nearly 4 hours long.

 
  • #26
Laroxe said:
Remember the trials were set up to test the effectiveness of two doses, if they wanted to look at single dose vaccination, and some vaccines are being designed with this in mind, then that's how the trials should be designed.
That is absolutely true and it would be nice to have the luxury of another study. But of course that time is long past. But he fact that these results showed such startling effectiveness allows us to extrapolate (with some risk) beyond the four corners of the original study.
Tom.G said:
The second dose shows a significant antibody increase with a long tail... But it is variable depending on what aspect is tested and is worse with the patients age. (note the log Y-axis scaling)
I believe different charts are for different assays not for different vaccines and the pseudoviral assay (second row...truly I have no idea what that is !) does seem to behave badly. But the others do not and each graph line in those graphs is a single patient only 34 participants in all. The study @Dale provided was on 40khumans
Dale said:
Well, it definitely is not a no-brainer. It seems promising and I tend to lean that direction. But there are far too many unknowns to do this without careful consideration.
I agree that the consideration needs to be carefully but rapidly completed. There will be unknowns. I care very little about the problems of changing guidance several times during the process...desperate times demand desperate measures and if the guidance needs to respond to ongoing data then so be it. The single jab protocol should be the first such modification. A subset of the medical cohort presently being innoculated could be used as a single jab group.
If I could be innoculated today I would certainly volunteer for the single jab study based upon my reading of the existing data...far safer personally than waiting 3 months as restaurants open and the virus continues to mutate.
 
  • Like
Likes   Reactions: Laroxe
  • #27
hutchphd said:
That is absolutely true and it would be nice to have the luxury of another study. But of course that time is long past. But he fact that these results showed such startling effectiveness allows us to extrapolate (with some risk) beyond the four corners of the original study.

I believe different charts are for different assays not for different vaccines and the pseudoviral assay (second row...truly I have no idea what that is !) does seem to behave badly. But the others do not and each graph line in those graphs is a single patient only 34 participants in all. The study @Dale provided was on 40khumans

I agree that the consideration needs to be carefully but rapidly completed. There will be unknowns. I care very little about the problems of changing guidance several times during the process...desperate times demand desperate measures and if the guidance needs to respond to ongoing data then so be it. The single jab protocol should be the first such modification. A subset of the medical cohort presently being innoculated could be used as a single jab group.
If I could be innoculated today I would certainly volunteer for the single jab study based upon my reading of the existing data...far safer personally than waiting 3 months as restaurants open and the virus continues to mutate.
I think its very early days and we will continue to get more information about the best vaccines and the best way to use the vaccines. The technology involved in mRNA vaccines will have a massive effect on medicine generally but these two vaccines are difficult to use and I'm sure they will be replaced. There are already RNA vaccines in development that look more promising and all sorts of other choices, some don't even need injecting.
Remember these vaccines have emergency approval and the trials in effect are continuing, I think what we will be doing in 12 months will look very different, but your certainly not the only person who thinks that we should be using the vaccine to immunise as many people as possible first with one dose, we can give boosters when we have sufficient supply.
 
  • Like
Likes   Reactions: hutchphd
  • #28
hutchphd said:
If I could be innoculated today I would certainly volunteer for the single jab study
I agree. And if I could get a single jab for me and my wife or a double jab just for me, I would choose one for each.
 
  • Like
Likes   Reactions: Laroxe, Imager and hutchphd
  • #29
Just saw today (30th dec) the UK have approved the AstraZenica vaccine, and they will initially use a single dose in an effort to reduce the effects of the disease, the booster dose will be delayed until around 12 weeks.
 
  • Like
Likes   Reactions: OmCheeto, BillTre and Dale
  • #30
Dale said:
I have not been able to find a peer-reviewed paper on the Moderna vaccine study, but I did find this report to the FDA.

https://www.fda.gov/media/144434/download

It is quite comprehensive. It looks like a similar safety and efficacy profile.

The Moderna Phase 3 trial results have been published in the NEJM:

Efficacy and Safety of the mRNA-1273 SARS-CoV-2 Vaccine
https://www.nejm.org/doi/10.1056/NEJMoa2035389
1609430542866.png


Press release from the NIH: https://www.nih.gov/news-events/new...wed-report-moderna-covid-19-vaccine-publishes
 
  • Like
  • Informative
Likes   Reactions: Laroxe, Imager and Dale

Similar threads

Replies
4
Views
1K
  • · Replies 12 ·
Replies
12
Views
2K
Replies
4
Views
3K
  • · Replies 3 ·
Replies
3
Views
3K
  • · Replies 2 ·
Replies
2
Views
2K
  • · Replies 1 ·
Replies
1
Views
4K
  • · Replies 42 ·
2
Replies
42
Views
10K
  • · Replies 52 ·
2
Replies
52
Views
5K
  • · Replies 10 ·
Replies
10
Views
4K
Replies
3
Views
2K