Phase angle of a damped driven harmonic oscillation

Click For Summary

Discussion Overview

The discussion centers on the phase angle of a damped driven harmonic oscillation, particularly the formula for phase angle as a function of driving frequency. Participants explore the implications of the phase angle's behavior across different frequency ranges, questioning the validity of the arctangent function in this context.

Discussion Character

  • Debate/contested
  • Mathematical reasoning
  • Technical explanation

Main Points Raised

  • One participant notes the standard formula for phase angle θ = atan(ωb/(k−mω²)) and questions how it can exceed π/2, given the range of the arctangent function.
  • Another participant suggests that for frequencies greater than resonance, the amplitude can be negative, which can be adjusted using a factor of e^(iπ) in the complex solution.
  • A different participant claims to have derived a positive amplitude for all driving frequencies, leading to doubts about the phase angle equation's correctness.
  • Concerns are raised about the continuity of the phase angle graph, with one participant referencing a textbook that presents a discontinuous graph despite a continuous solution.
  • Another participant discusses the differential equation governing the system and emphasizes the correct application of forces in deriving the equation of motion.
  • One participant mentions having seen similar resonant graphs in literature, noting that some sources do not exhibit discontinuities, which contrasts with the concerns raised earlier.

Areas of Agreement / Disagreement

Participants express differing views on the validity of the phase angle formula and its implications, with no consensus reached on the correct interpretation or application of the equations involved.

Contextual Notes

Participants highlight potential limitations in their assumptions and the mathematical steps taken, particularly regarding the treatment of amplitude and phase angle in the context of driven harmonic oscillations.

kravky
Messages
22
Reaction score
3
Hello,
in every book and on every website (e.g. here http://farside.ph.utexas.edu/teaching/315/Waves/node13.html) i found for driven harmonic osciallation the same solution for phase angle:θ=atan(ωb/(k−mω^2)) where ω is driven freq., m is mass, k is spring constant. I agree with it =it follows from solution of diff.eq.of motion

But everywhere i see the same graph for phase angle as a function of ω where phase angle θ goes fromθ=0 when ω=0 thru θ=pi/2 whenω=ω0=resonance, to θ=pi when ω is infinitely large.

How is it possible for phase angle θ be more than pi/2 if θ=atan(ωb/(k−mω^2))
Is it not arctan and is it not limited from -pi/2 to pi/2 ?

here u can see the classical picture (second one - right one). phase angle there is phi instead of theta (just another symbol but same meaning) and u can see it in dimensionless values. left picture is amplitude as a function of ω. IT makes sense. But i don't understand the second one.
img406.png


Also here: http://lampx.tugraz.at/~hadley/physikm/apps/resonance.en.php. This formula does not work.
it has to be sth else that pure arctang. it is ok for x greater than 0 (arctg(x)) but for x less then 0 this formula doesn't work. it has to be like θ=pi-atan(ωb/(k−mω^2))

I think it cannot be pure arctan. it has to be theta=pi - atan(ωb/(k−mω^2)) for argument (ωb/(k−mω^2)) less than zero. But i don't know why.
What is worng with that? Simply: arctan has range from -pi/2 to pi/2. So i am really confused how it can be pi according to books and websites.

*phase angle=angle by which the driving force leads the displacement of the system
 

Attachments

  • img406.png
    img406.png
    2.7 KB · Views: 3,112
Physics news on Phys.org
For frequencies greater than ## \omega_o ##, the amplitude is negative, which can be converted to positive by making the minus sign into a ## e^{i \pi} ## in the solution of the differential equation in the complex form. ## \\ ## If you really want to see what is going on with the phase angle, begin with ## m \ddot{x}+b \dot{x}=kx=F_o e^{+i \omega t} ##, and let the steady state solution be of the form ## x=Ae^{+i \omega t} ##, and work through the algebra by taking derivatives, and solving for ## A ## as a complex number with an amplitude and a phase. Finally take the real part of it to get ##x ## in the form ## x_{real}=A_o cos(\omega t-\phi) ## where ## A_o ## is a real and positive amplitude. (Again, to convert ## A ## into a positive amplitude if it has a minus sign out front in the real part, change that minus sign to a factor of ## e^{i \pi} ##, (factoring a "-1"=##e^{i \pi} ## out of the complete expression for ## A ##). When it is in the form ## x=A_o e^{i (\omega t-\phi)} ##, take the real part to give ## x_{real}=A_o cos(\omega t-\phi) ##). ## \\ ## For some additional details: ## A=\frac{F_o}{-m \omega^2+k+i b \omega}=\frac{F_o(-m \omega^2+k- i b \omega)}{(m \omega^2+k)^2+b^2 \omega^2} ##. The relevant phase information, including any minus signs is all in the term in the numerator ## -m \omega^2+k-i b \omega ##. When ## m \omega^2 >k ##,(for frequencies above resonance), the result is ## e^{i \pi} (m \omega^2-k +ib \omega) ## so that ## x=A_o e^{i( \pi+\delta)} e^{i \omega t} ##, for some ## \delta ## where ## 0<\delta < \frac{\pi}{2} ##. ## \\ ## Taking the real part of ## x ##: ## x_{real}=A_o cos(\omega t+(\pi+\delta))=A_o cos(\omega t-(\pi-\delta)) ##, where we have used ## cos(\theta+\pi)=cos(\theta-\pi) ##. The expression has the form ## x_{real}=A_o cos(\omega t-\phi) ## where ## \phi=\pi-\delta ##. The angle ## \delta ## goes to zero for very high frequencies.
 
Last edited:
  • Like
Likes   Reactions: kravky
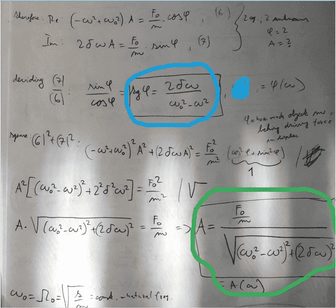
Well, i did it pretty much same way but i didnt get negative Amplitude. I think i did algebra correctly but i got positive amplitude.
I followed this:

5eJ7.png


-------------------------------------------------------------------------------------------------------------------------------------------------------------------------------------------------
aS2r.png

---------------------------------------------------------------------------------------------------------------------------------------------------------------------------------------------------
cKEw.png


** in complex eq.(4-10) i used Eulers formula for rewriting it:
aab1fcd1a6db5cc6678bb9cbd871580eeeb86eda
and then got 2 equations from eq. (4-10). For real and for imaginary part.
ELc5.png

So 2 eq. with two unknows: Amplitude A and phase angle δ. Its very easy to solve:

for Amplitude A I just squared them both and then add them together. and A popped out.

For phase angle delta i just devided these 2 eq.----
Here is my solving: Real part of eq. (4-10) is marked as (6) and Imaginary part as eq. number (7)

-I use defferent symbols! = different notation. i use 2δ instead of γ (i don't use gama)
and i use φ instead of δ as phase angle!
ffZw.png


and u see i get positive amplitude for all driving freq. omegas and therefore probably worng eq. for phase angle.
 

Attachments

  • 5eJ7.png
    5eJ7.png
    51.7 KB · Views: 1,906
  • aS2r.png
    aS2r.png
    40 KB · Views: 2,230
  • cKEw.png
    cKEw.png
    22.8 KB · Views: 1,704
  • ELc5.png
    ELc5.png
    2.9 KB · Views: 1,688
  • ffZw.png
    ffZw.png
    94.5 KB · Views: 1,663
The equation that you get from setting the imaginary parts equal ## \gamma \omega A=\frac{F_o}{m} \sin{\delta} ##, tells you ## 0<\delta< \pi ##, if you go under the assumption that ## A>0 ##, which it must be from your formula for ## A ##. With this equation, it no longer allows you the freedom of taking the domain of ## \delta(\omega) ## in the subsequent ## \tan{\delta(\omega)}=\frac{\gamma \omega}{\omega_o^2-\omega^2} ## formula as being from ## -\frac{\pi}{2} ## to ## +\frac{\pi}{2} ##.
 
Last edited:
Is my solution incorrect? Have i made wrong assumptions? Because this solution is also in book Vibration and Waves by A.P. French.
If i plot his=my solution for phase angle , the graph looks nonphysically discountious. Look:
sVky.png

(plotted
M5Wx.png
in dimensionless numbers)


However he does not present this incorrect grpah, he present the correct continuous graph
34oQ.png
, although it does not correspond with his equation for phase angle. Its strange. He probably knows how graph of phase angle looks like, but his solution is certainly not OK.

Sir, could You please explain how Did u got this term for amplitude?
oOWX.png


because your solution that u posted at 1:37 AM seems to be correct.
Thanks a lot for your time
 

Attachments

  • sVky.png
    sVky.png
    1.7 KB · Views: 1,762
  • M5Wx.png
    M5Wx.png
    1.9 KB · Views: 1,517
  • 34oQ.png
    34oQ.png
    5.2 KB · Views: 1,455
  • oOWX.png
    oOWX.png
    2.3 KB · Views: 1,605
Using ## x=Ae^{i \omega t} ##, and using the differential equation of post 2 above, ## \ddot x=\frac{d^2 x}{dt^2}=- \omega ^2 Ae^{i \omega t} ##. Similarly, ## \dot{x}=\frac{dx}{dt}=+i \omega A e^{i \omega t} ##. Here ## A ## is a complex constant that includes the phase. ##A## can also be frequency dependent. The ## e^{i \omega t} ## factors out of both sides of the equation and cancels. On the left side, ## A ## also factors out, making it ## A(-m \omega^2+i b \omega+k)=F_o ##. ## \\ ##You should note, the differential equation comes from ## F=ma ##, so that ## m \ddot{x}=F_o e^{i \omega t}-b \dot{x}-kx ##. The force of a spring is ## F_s=-kx ## and the velocity dependent damping force is ## F_d=-b \dot{x} ##. Thereby, the differential equation ## m \ddot{x}+b \dot{x}+kx=F_o e^{i \omega t} ## makes perfect sense. The applied force is ## F_oe^{i \omega t} ##.
 
And a follow-on: I have seen that resonant type graph with the discontinuity you show in the amplitude in books describing magnetic resonance, (a book by C.P. Slichter), and the behavior of the susceptibility function ## \chi(\omega) ##, where ## m(\omega)=\chi(\omega) h(\omega) ##, where ## h(\omega) ## is an applied r-f magnetic field at right angles to a very strong and static ## H_o ## magnetic field. (Edit: I subsequently looked up the graphs in the book by C.P. Slichter, and he has graphs of the real part of ## \chi(\omega ) ## vs. frequency (## \omega ##), and also of the imaginary part of ## \chi(\omega) ## as a function of frequency. My original statement is in error on this item=his graphs are correct and do not have any discontinuity). ## \\ ## I have also seen an experimental laboratory set-up with a sinusoidal driving force of a mass on a spring system on a nearly frictionless rail, and the system does acquire a very large amplitude at and near resonance. In this experiment, there was a sinusoidal driving motion on the right end connection of the spring at the end of the rail, (the left side also had a spring connected to it, so that the mass sits on the rail between two springs), which thereby was a sinusoidal driving force, and the frequency of the driving force was adjustable. ## \\ ## What you are asking is an interesting question: Is there an experimentally observed discontinuity in these systems? For frequencies just below resonance, the amplitude is positive, at the phase delay is just less than ## + \frac{\pi}{2} ##, while just above resonance, the amplitude is negative, but if this is corrected and made positive by the ## e^{i \pi} ## in my derivation, it appears the phase lag angle is just slightly greater than ## + \frac{\pi}{2} ##. If I am interpreting my calculations correctly, no physical discontinuity is observed as you pass through the resonance.
 
Last edited:
  • Like
Likes   Reactions: kravky
I understand where does this diff. eq. comes from. I just don't understand correct solution method. Maybe i should study more complex numbers.

i overlooked that u took x=Aeiωt. I took x=Aei(ωt-φ) so i got different answer.
i considered also phase angle in trial function x=Aei(ωt-φ) for steady state solution of differential equation.
 
  • Like
Likes   Reactions: Charles Link
kravky said:
I understand where does this diff. eq. comes from. I just don't understand correct solution method. Maybe i should study more complex numbers.

i overlooked that u took x=Aeiωt. I took x=Aei(ωt-φ) so i got different answer.
i considered also phase angle in trial function x=Aei(ωt-φ) for steady state solution of differential equation.
The derivative of ## y=e^{\alpha t} ## is ## \frac{dy}{dt}=\alpha e^{\alpha t} ##. That works even in the case where ## \alpha=i \omega ##, so that ## \alpha ## is a complex number. ## \\ ## e.g. If ## y=A e^{i \omega t} ## , then ## \frac{d y}{dt}= i \omega A e^{i \omega t} ##. ## \\ ## And please see my post 7 above.
 
  • #10
Charles Link said:
For frequencies just below resonance, the amplitude is positive, at the phase delay is just less than ## + \frac{\pi}{2} ##, while just above resonance, the amplitude is negative, but if this is corrected and made positive by the ## e^{i \pi} ## in my derivation, it appears the phase lag angle is just slightly greater than ## + \frac{\pi}{2} ##. If I am interpreting my calculations correctly, no physical discontinuity is observed as you pass through the resonance.

Well here is MIT professor talking about this problem. At 18min. he is talking about phase angle. However it is same as my solution...
In comment section u can see one person asks same question as me (

Huihuang LaiPred 1 year ago
Sir, at 18:28 how can delta be equal to pi? Isn't delta an arctan, which has range from -pi/2 to pi/2? pi seems out of range.)
Unfortunatelly he doesn't get explanation.


regarding continuity of the system: The Reality is = No discontinuity. How on Earth could be phase angle not only discontinuous but also negative. It would physically mean the mass-spring system is oscillating BEFORE driving force.

But derviations according to Vibration and Waves by A.P. French give discontiunity as i showed u on the grpahs. At least his equations give discontinuity. His graphs present correct dependence of phase angle on driving freq. = continuous.

Your derivation is simply different and correct.
 
  • #11
See my post 4. I think that may help answer your question here.
 
  • Like
Likes   Reactions: kravky
  • #12
Charles Link said:
See my post 4. I think that may help answer your question here.
Yes, i kindly appreciate your help sir. now i understand it much better. I just don't know why books don't use ,,your,, derivation.
 
  • Like
Likes   Reactions: Charles Link
  • #13
kravky said:
Hello,
in every book and on every website (e.g. here http://farside.ph.utexas.edu/teaching/315/Waves/node13.html) i found for driven harmonic osciallation the same solution for phase angle:θ=atan(ωb/(k−mω^2)) where ω is driven freq., m is mass, k is spring constant. I agree with it =it follows from solution of diff.eq.of motion

But everywhere i see the same graph for phase angle as a function of ω where phase angle θ goes fromθ=0 when ω=0 thru θ=pi/2 whenω=ω0=resonance, to θ=pi when ω is infinitely large.

How is it possible for phase angle θ be more than pi/2 if θ=atan(ωb/(k−mω^2))
Is it not arctan and is it not limited from -pi/2 to pi/2 ?

here u can see the classical picture (second one - right one). phase angle there is phi instead of theta (just another symbol but same meaning) and u can see it in dimensionless values. left picture is amplitude as a function of ω. IT makes sense. But i don't understand the second one.View attachment 230453

Also here: http://lampx.tugraz.at/~hadley/physikm/apps/resonance.en.php. This formula does not work.
it has to be sth else that pure arctang. it is ok for x greater than 0 (arctg(x)) but for x less then 0 this formula doesn't work. it has to be like θ=pi-atan(ωb/(k−mω^2))

I think it cannot be pure arctan. it has to be theta=pi - atan(ωb/(k−mω^2)) for argument (ωb/(k−mω^2)) less than zero. But i don't know why.
What is worng with that? Simply: arctan has range from -pi/2 to pi/2. So i am really confused how it can be pi according to books and websites.

*phase angle=angle by which the driving force leads the displacement of the system
Well, you are a victim of one of the few really mortal sins of physics didactics. That's the claim that you can easily figure out a polar angle using the formula with the tangens. To get it right you need sin and cos and a definition over which semi-open interval of length ##2 \pi## the angle should run (which is of course completely arbitrary). In the context of (relative) phase shifts the most intuitive choice is the interval ##(-\pi,\pi]##.

If $$(r,\varphi)$$ are the standard polar coordinates in a plane, related to the Cartesian coordinates via
$$(x,y)=r (cos \varphi,\sin \varphi),$$
you get the right angle ##\varphi## in this interval by first calculating
$$r=\sqrt{x^2+y^2}.$$
Then the angle is given by the ##x## value alone only up to its sign, but it's easy to determine the sign from the ##y## value, since obviously it's just given by the sign of the ##y## value (it's easist to see with a little drawing). Thus you get
$$\varphi=\arccos \left (\frac{x}{r} \right) \text{sign} y.$$
There's only an ambiguity for ##y=0##. Then you have ##\frac{x}/r=x/|x| =\text{sign} x##. For ##x=r>0## you uniquely get ##\varphi=0##, for ##x=-r<0## by definition we choose ##+\pi##.

Writing the driving force as
$$F=F_0 \cos(\omega t),$$
and the stationary solution as
$$x=x_0 \cos(\omega t-\varphi_0),$$
you always get ##\varphi \geq 0## (i.e., the phase of the motion always lags behind the driving force, which is also pretty intuitive). The correct formula is (in the notation of the eom. in the link in the OP)
$$\varphi_0=+\arccos \left (\frac{\omega_0^2-\omega^2}{\sqrt{(\omega_0^2-\omega^2)^2+\omega^2 \nu^2}} \right),$$
which shows that you get ##\varphi_0=\pi/2## for ##\omega=\omega_0##. For ##\omega \rightarrow 0## the phase shift goes to 0 and for ##\omega \rightarrow \infty## it goes to ##\pi##, as shown in the plots cited in this thread.
 
  • Like
Likes   Reactions: Charles Link

Similar threads

Replies
8
Views
2K
  • · Replies 7 ·
Replies
7
Views
3K
  • · Replies 17 ·
Replies
17
Views
4K
  • · Replies 17 ·
Replies
17
Views
4K
Replies
9
Views
2K
  • · Replies 1 ·
Replies
1
Views
2K
  • · Replies 7 ·
Replies
7
Views
2K
  • · Replies 2 ·
Replies
2
Views
2K
Replies
3
Views
2K
  • · Replies 4 ·
Replies
4
Views
3K