Phase relationships in Thévenin circuit

Click For Summary

Discussion Overview

The discussion revolves around the phase relationships in a Thévenin circuit, focusing on the construction and interpretation of phasor diagrams. Participants explore the implications of different voltage drops across components, particularly in relation to capacitors and inductors, and how these affect the overall circuit analysis.

Discussion Character

  • Homework-related
  • Technical explanation
  • Debate/contested
  • Mathematical reasoning

Main Points Raised

  • Some participants suggest using the load voltage as the reference phasor in the phasor diagram to simplify calculations.
  • There is uncertainty about whether all voltages except the Thévenin resistance voltage should be aligned on the horizontal axis in the phasor diagram.
  • One participant proposes that the voltage of VL could be calculated as VTH - VR, considering the voltage drop across the resistances.
  • Another participant points out the importance of including the reactance in the phasor diagram, noting that VL and VR are in phase while VTH and VL are not.
  • There is a discussion about the correct representation of the phase relationships in the phasor diagram, including the need to show the Thevenin reactance drop.
  • Participants clarify terminology regarding the voltages across the Thévenin resistance, load, and the mains voltage.
  • One participant calculates the current in the circuit and uses it to derive voltage drops across the resistive and reactive components.
  • There is a suggestion to visualize the phasor addition as forming a right-angled triangle, with VTH as the hypotenuse.
  • Participants discuss the standard practice of drawing the reference phasor first in the phasor diagram.
  • There is a question about whether the circuit currents can be represented in the diagram, specifically the current being along the VL phasor.
  • One participant calculates the phase angle of the current lagging behind the Thévenin equivalent circuit voltage using trigonometry.
  • Another participant notes that the load voltage and current are in phase, which affects the calculation of total resistance.

Areas of Agreement / Disagreement

Participants express multiple competing views regarding the construction of the phasor diagram and the relationships between the voltages. There is no consensus on the exact representation of the phasors, and discussions remain unresolved on certain aspects of the calculations and assumptions.

Contextual Notes

Participants express uncertainty about the phase relationships and the correct representation of voltages in the phasor diagram. There are limitations in the understanding of terminology and the application of previously learned concepts to this specific problem.

Who May Find This Useful

Students studying circuit analysis, particularly those focusing on phasor diagrams and Thévenin equivalents, may find this discussion beneficial for understanding phase relationships and voltage calculations in AC circuits.

Weaver
Messages
70
Reaction score
6

Homework Statement


2014 Q2.png

2. Homework Equations

3. The Attempt at a Solution
PhotoScan.jpg

[/B]
For part (c), should the phasor diagram just have everything on a straight line, save for the Rt and Vrt?

Honestly not sure how to attempt part (d) as we never really covered phase relationships in lectures, just looking specifically at phase diagrams of a capacitor or inductor.
 
Physics news on Phys.org
It would be convenient if you chose the load voltage as the reference phasor in your phasor diagram. You can solve all the questions upto e) once you draw this phasor diagram.
Start with the horizontal load voltage phasor VL∠0°.
 
Last edited:
cnh1995 said:
It would be convenient if you chose the load voltage as the reference phasor in your phasor diagram. You can solve all the questions up to e) once you draw this phasor diagram.
Start with the horizontal load voltage phase VL∠0°.

Ok. So will all the Voltages, save for the Thévenin resistance voltage, be on the horizontal axis? Or is VL shifted as result of the complex impedance of RT before it.
 
Last edited:
Conor_B said:
Ok. So will all the Voltages, save for the Thévenin resistance voltage, be on the horizontal axis? Or is VL shifted as result of the complex impedance of RT before it.

Actually, after thinking about it some more, would the voltage of VL be VTH - VR given the voltage from VTH isn't 'dropped' across anything else other then those two resistances?
 
Conor_B said:
would the voltage of VL be VTH - VR given the voltage from VTH isn't 'dropped' across anything else other then those two resistances?
You are forgetting the j0.25 ohm reactance. Yes, VL and VR will add algebraically since they are in phase but that won't give you Vth. You need to draw the reactance drop phasor too.
 
cnh1995 said:
You are forgetting the j0.25 ohm reactance. Yes, VL and VR will add algebraically since they are in phase but that won't give you Vth. You need to draw the reactance drop phasor too.

Ok, I am still not sure how the phasor diagram should look. Prior to this, the only phasor diagrams we have been taught is the general one for a capacitor and inductor.

Would it look like this?

PhotoScan.jpg
 
Conor_B said:
Ok, I am still not sure how the phasor diagram should look. Prior to this, the only phasor diagrams we have been taught is the general one for a capacitor and inductor.

Would it look like this?

View attachment 110304
No. Vth and VL are not in phase. VR and VL are in phase. Recall KVL. Sum of the voltage drops across Thevenin resistance, Thevenin reactance and load is equal to the Thevenin voltage. You know the magnitudes of three of them and their phase relation.

Edit: Just to confirm, are we using the same terminology? I am taking VR as the voltage across the thevenin resistance, VL as the voltage across the storage heater load and Vth is the mains voltage.
 
cnh1995 said:
No. Vth and VL are not in phase. VR and VL are in phase. Recall KVL. Sum of the voltage drops across Thevenin resistance, Thevenin reactance and load is equal to the Thevenin voltage.

Ok, that's what I meant when I said
Conor_B said:
would the voltage of VL be VTH - VR

I was taking VR to be the voltage drop for both the reactance and resistance.

Would the phasor diagram look like this then?

PhotoScan.jpg
 
Conor_B said:
I was taking VR to be the voltage drop for both the reactance and resistance.
Ok. Let's call it the Thevenin impedance drop Vz.
cnh1995 said:
Edit: Just to confirm, are we using the same terminology? I am taking VR as the voltage across the thevenin resistance, VL as the voltage across the storage heater load and Vth is the mains voltage.
In your diagram, you have shown Vz leading Vth by 45°, which is not true. Phase difference between Vz and Vth is not 45°. You need to show the Thevenin reactance drop Vx too in the diagram (drop across the line reactance).
Start with the horizontal load voltage phasor VL. How will Thevenin resistance drop VR and Thevenin reactance drop Vx be added to VL? You know the magnitudes of these three and their phase relationship. You also know that their phasor addition will give you Vth. Could you proceed with this?
 
Last edited:
  • #10
cnh1995 said:
Ok. Let's call it the Thevenin impedance drop Vz.

In your diagram, you have shown Vz leading Vth by 45°, which is not true. Phase difference between Vz and Vth is not 45°. You need to show the Thevenin reactance drop Vx too in the diagram (drop across the line reactance).
Start with the horizontal load voltage phasor VL. How will Thevenin resistance drop VR and Thevenin reactance drop Vx be added to VL? You know the magnitudes of these three and their phase relationship. You also know that their phasor addotion will give you Vth. Could you proceed with this?

Ok. There's been confusion from terminology, so I'll use yours (Vth, Vr, Vx,VL)

Right. So Vth = Vr + Vx + VL

The current in the circuit is 80A

This means Vr = 80(0.25) = 25

And Vx 80(j0.25) = j25

VL = Vth - Vr - Vx
VL = (240 +j0) - 25 - j25
VL = 215 - j25

Is this right so far?
 
  • #11
Conor_B said:
This means Vr = 80(0.25) = 25

And Vx 80(j0.25) = j25
20 and j20...
Conor_B said:
VL = Vth - Vr - Vx
VL = (240 +j0) - 25 - j25
VL = 215 - j25
We are taking VL as reference here.
So, Vth= (VL+j0)+20+j20.
i.e.
Vth=(VL+20)+j20.

Can you draw the phasor diagram from this green equation?
 
  • #12
cnh1995 said:
20 and j20...

Sorry, do know what I was thinking there :sorry:

cnh1995 said:
We are taking VL as reference here.
So, Vth= VL+j0+20+j20.
i.e.
Vth=(VL+20)+j20.

I'm not sure. Do I take the VL and the 20(Vr) both to be on the horizontal axis and just put j20(Vx on the Vertical axis?

Where do I draw Vth?
 
  • #13
Conor_B said:
I'm not sure. Do I take the VL and the 20(Vr) both to be on the horizontal axis and just put j20(Vx on the Vertical axis?
Exactly. The reactance drop j20 will be vertical, on the tip of the horizontal phasor (VL+20). It is in quadrature with the resistive drop.
Conor_B said:
Where do I draw Vth?
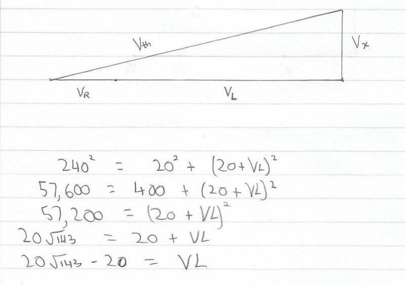
Vth is the "phasor addition" of voltages on horizontal and vertical axes. Don't they form a right angled triangle? Vth is its hypotenuse. You know the magnitude of the hypotenuse and the vertical side. You can compute the length of the horizontal side and get the load voltage.
 
  • #14
cnh1995 said:
Exactly. The reactance drop j20 will be vertical, on the tip of the horizontal phasor (VL+20). It is in quadrature with the resistive drop.

Vth is the "phasor addition" of voltages on horizontal and vertical axes. Don't they form a right angled triangle? Vth is its hypotenuse. You know the magnitude of the hypotenuse and the vertical side. You can compute the length of the horizontal side and get the load voltage.

So, is this it?
PhotoScan.jpg
 
  • #15
Conor_B said:
So, is this it?
View attachment 110309
Your calculations are all correct, but in your phasor diagram, you should swap Vr and VL since you have assumed VL as the reference phasor. It's a standard practice to draw the reference phasor first and then draw the remaining ones.
 
  • #16
cnh1995 said:
Your calculations are all correct, but in your phasor diagram, you should swap Vr and VL since you have assumed VL as the reference phasor. It's a standard practice to draw the reference phasor first and then draw the remaining ones.

Ok. I'll do that in future. Can I draw the circuit currents in the diagram also? Is the 80A just along the VL?
 
  • #17
Conor_B said:
Ok. I'll do that in future. Can I draw the circuit currents in the diagram also? Is the 80A just along the VL?
Yes.
 
  • #18
cnh1995 said:
Yes.

Ok, so for part (d) Calculate the phase relationship between the Thevenin equivalent circuit voltage and the current

Do I work out the angle the current is lagging by?
 
  • #19
Conor_B said:
Ok, so for part (d) Calculate the phase relationship between the Thevenin equivalent circuit voltage and the current

Do I work out the angle the current is lagging by?
Yes. You can do it using elementary trigonometry.
 
  • #20
cnh1995 said:
Yes. You can do it using elementary trigonometry.

Grand. So it is:

ϕ = sin-1(20/240) ≈ 4.78°.

I take it for part(e) Calculate the total resistance of the storage heaters, it is:
V/I

VL / 80∠4.78°?
 
  • #21
Conor_B said:
VL / 80∠4.78°?
Load voltage VL and current are in phase. The phase angle of both is 0°.
 
  • #22
cnh1995 said:
Load voltage VL and current are in phase. You need not use the phase angle.

Ok, so it is (20√143 - 20)/80 ≈ 2.74 Ω ?

Do I have to use 2.74∠-4.78° to get it relative to the Vth ?
 
  • #23
Conor_B said:
Ok, so it is (20√143 - 20)/80 ≈ 2.74 Ω
Yes.
Conor_B said:
Do I have to use 2.74∠-4.78° to get it relative to the Vth ?
No.
 
  • #24
cnh1995 said:
Yes.

No.

Right. And then for (e) What happens to the power dissipated in the storage heaters if the supply frequency is raised above 50 Hz? Is it just:

Given the Vx is dependent on ω (which is 2πf), an increase in f will lead to an increase in Vx and so the current in the system will decrease and with that, the power output in the storage heater also decreases?
 
  • #25
Conor_B said:
Given the Vx is dependent on ω (which is 2πf), an increase in f will lead to an increase in Vx and so the current in the system will decrease and with that, the power output in the storage heater also decreases?
Right.
 
  • #26
cnh1995 said:
Right.

Great. Thank you very much!
 
  • #27
Conor_B said:
Great. Thank you very much!
You're welcome!:smile:
 
  • Like
Likes   Reactions: Weaver

Similar threads

  • · Replies 12 ·
Replies
12
Views
3K
  • · Replies 8 ·
Replies
8
Views
3K
  • · Replies 1 ·
Replies
1
Views
2K
  • · Replies 5 ·
Replies
5
Views
2K
  • · Replies 9 ·
Replies
9
Views
5K
  • · Replies 3 ·
Replies
3
Views
2K
  • · Replies 7 ·
Replies
7
Views
3K
  • · Replies 5 ·
Replies
5
Views
4K
  • · Replies 11 ·
Replies
11
Views
5K
  • · Replies 62 ·
3
Replies
62
Views
8K