Cocoleia
- 293
- 4
Homework Statement
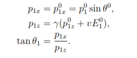
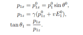
A hypertriton (a bound system with a L hyperon together with a deuteron core (proton
and neutron) is produced at the origin of the coordinate, (x,y)=(0,0) with a velocity of 0.94c
(beta=0.94), flying along the x-axis. The mass of the hypertriton is 2.991 GeV/c2
. It decays into pi (mp- = 0.14 GeV/c2) and 3He (m3He = 2.809 GeV/c2). The hypertriton immediately decays at the origin. Now you have a detector at x=0.4. Create y-hit distributions of p- and 3He with
10000 hypertriton decay events.
The Attempt at a Solution
I am writing a code to do this, but I am having trouble understanding.
I will be randomly generating angles (only forwards) for my particles in this code.
I am thinking, if I know the angle of the particle and the distance in x that it travels (0.4m) then can I just use a simple sin (basic geometry) to find the position in why
so y = sin(theta) * (0.4)
I feel like this is way too simple so I am missing something crucial in the question
)
