Probability theory, probability space, statistics

Click For Summary
SUMMARY

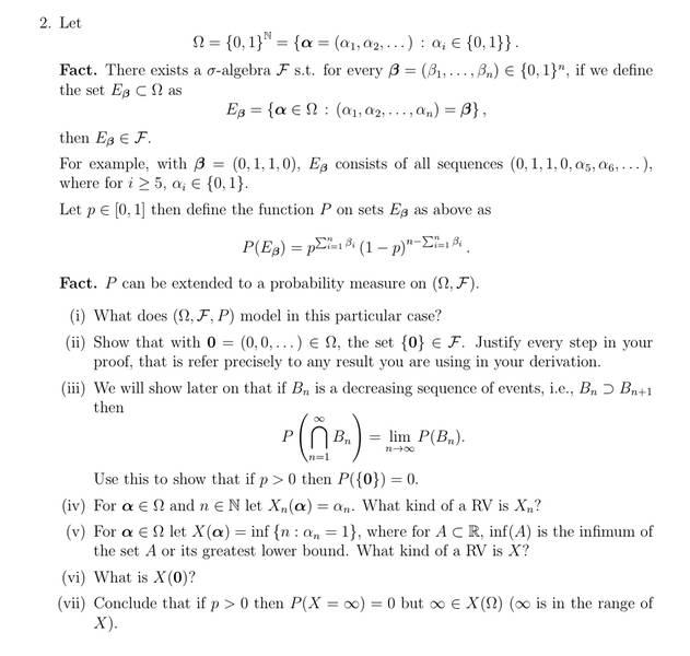
The discussion focuses on understanding probability theory, specifically the concept of events in probability spaces and the use of geometric distribution in problem-solving. The term E(beta) is clarified as representing all infinite sequences of 0s and 1s that begin with a finite string beta, as illustrated in the example provided. Participants express difficulty in interpreting the notation and formulating answers, emphasizing the need for clearer explanations and guidance on approaching the problem.

PREREQUISITES
  • Understanding of probability theory concepts, particularly events and probability spaces.
  • Familiarity with geometric distribution and its probability mass function (pmf).
  • Basic knowledge of sequences and notation in mathematical contexts.
  • Ability to interpret and analyze mathematical problems involving finite and infinite sequences.
NEXT STEPS
  • Study the properties and applications of geometric distribution in probability theory.
  • Learn about the formal definitions of events in probability spaces.
  • Explore examples of sequences in probability, particularly focusing on finite and infinite sequences.
  • Practice solving problems involving notation and interpretation in probability theory.
USEFUL FOR

Students studying probability theory, mathematicians focusing on statistics, and educators seeking to clarify concepts related to events and distributions in probability spaces.

Sarina3003
Messages
20
Reaction score
0

Homework Statement


Download-File?file=%2Falbums%2Fi431%2Fyenchuong98%2F8D572899-F073-4B9B-9934-CF93A4AA2776.jpg


Homework Equations


All needed are in the picture above (i hope so)

The Attempt at a Solution


to me it is extremely difficult because it is so complicated with many notations. Also, I actually don't know how to read the question properly to answer it
Is E(beta) is the event where we get even number of elements Beta ? I hope i get this point right. Otherwise, i have no idea what E means here.
One more point i can say is that the given pmf is Geometric distribution. My problem is i do not know how to start the question

Please help me to clarify it and answer any part that you can. You don't have to answer all of them or be so specific but please give me as much explanation as possible until you think that you give me enough clues to proceed with the subsequent questions.
 

Attachments

  • Download-File?file=%2Falbums%2Fi431%2Fyenchuong98%2F8D572899-F073-4B9B-9934-CF93A4AA2776.jpg
    Download-File?file=%2Falbums%2Fi431%2Fyenchuong98%2F8D572899-F073-4B9B-9934-CF93A4AA2776.jpg
    46.4 KB · Views: 1,163
Physics news on Phys.org
Sarina3003 said:

Homework Statement


View attachment 223980

Homework Equations


All needed are in the picture above (i hope so)

The Attempt at a Solution


to me it is extremely difficult because it is so complicated with many notations. Also, I actually don't know how to read the question properly to answer it
Is E(beta) is the event where we get even number of elements Beta ? I hope i get this point right. Otherwise, i have no idea what E means here.
One more point i can say is that the given pmf is Geometric distribution. My problem is i do not know how to start the question

Please help me to clarify it and answer any part that you can. You don't have to answer all of them or be so specific but please give me as much explanation as possible until you think that you give me enough clues to proceed with the subsequent questions.

The question tells you exactly what ##E_\beta## means, and it even gives you an example. It says "For example, with ##\beta = (0,1,1,0),## ##E_\beta## consists of all sequences of the form ##(0,1,1,0,\alpha_5, \alpha_6, \ldots )##." In other words, for any finite string ##\beta## of 0s and 1s, ##E_\beta## consists of all those infinite sequences of 0s and 1s that start with the string ##\beta##.
 
  • Like
Likes   Reactions: Sarina3003

Similar threads

Replies
2
Views
2K
Replies
1
Views
1K
  • · Replies 4 ·
Replies
4
Views
2K
  • · Replies 14 ·
Replies
14
Views
3K
  • · Replies 10 ·
Replies
10
Views
2K
  • · Replies 5 ·
Replies
5
Views
4K
Replies
6
Views
2K
  • · Replies 6 ·
Replies
6
Views
2K
  • · Replies 4 ·
Replies
4
Views
2K
  • · Replies 30 ·
2
Replies
30
Views
5K