PainterGuy
- 938
- 73
Moved from a technical forum, so homework template missing
Hi again,
The previous problem was done using y′′(t)+2y′(t)+10y(t)=10 with with intial condition y(0⁻)=0.
In the following case, I'm using an initial condition and setting the right hand side equal to zero.
Find y(t) for the following differential equation with intial condition y(0⁻)=4.
y′′(t)+2y′(t)+10y(t)=0
Using the following formulas.
ℒy(t)=Y(s)
ℒ{y′(t)}=sY(s)-f(0⁻)=sY(s)-4
ℒ{y′′(t)}=ℒ{(sY(s)-4)′}=ℒ{(sY(s)′-4′)}=ℒ{(sY(s)′)}=s²Y(s)-4s
y′′(t)+2y′(t)+10y(t)=0
⇒{s²Y(s)-4s}+2{sY(s)-4}+10Y(s)=0
⇒s²Y(s)-4s+2sY(s)-8+10Y(s)=0
⇒s²Y(s)+2sY(s)+10Y(s)-4s-8=0
⇒s²Y(s)+2sY(s)+10Y(s)=4s+8
⇒Y(s){s²+2s+10}=4s+8
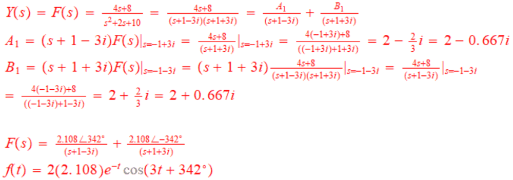
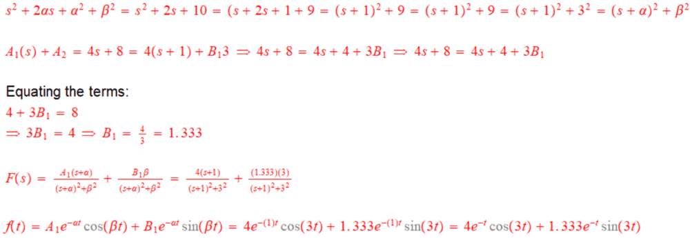
⇒Y(s) = (4s+8) / (s²+2s+10)
Now finding the inverse Laplace transform.
Method 1:
https://www.physicsforums.com/attac...261154/?hash=ab39a4f0474f3384a6a5c37cdc441e05
Method 2:
This method I found from this video.
Question:
You can see that I'm getting different functions, f(t), for the mentioned methods. Where am I going wrong? Which f(t) is correct? Thank you for the help.
The previous problem was done using y′′(t)+2y′(t)+10y(t)=10 with with intial condition y(0⁻)=0.
In the following case, I'm using an initial condition and setting the right hand side equal to zero.
Find y(t) for the following differential equation with intial condition y(0⁻)=4.
y′′(t)+2y′(t)+10y(t)=0
Using the following formulas.
ℒy(t)=Y(s)
ℒ{y′(t)}=sY(s)-f(0⁻)=sY(s)-4
ℒ{y′′(t)}=ℒ{(sY(s)-4)′}=ℒ{(sY(s)′-4′)}=ℒ{(sY(s)′)}=s²Y(s)-4s
y′′(t)+2y′(t)+10y(t)=0
⇒{s²Y(s)-4s}+2{sY(s)-4}+10Y(s)=0
⇒s²Y(s)-4s+2sY(s)-8+10Y(s)=0
⇒s²Y(s)+2sY(s)+10Y(s)-4s-8=0
⇒s²Y(s)+2sY(s)+10Y(s)=4s+8
⇒Y(s){s²+2s+10}=4s+8
⇒Y(s) = (4s+8) / (s²+2s+10)
Now finding the inverse Laplace transform.
Method 1:
https://www.physicsforums.com/attac...261154/?hash=ab39a4f0474f3384a6a5c37cdc441e05
Method 2:
This method I found from this video.
Question:
You can see that I'm getting different functions, f(t), for the mentioned methods. Where am I going wrong? Which f(t) is correct? Thank you for the help.
