Sph Harmonics Homework: Find Potential for r>a, Contribution Using Superposition

Click For Summary

Homework Help Overview

The problem involves determining the potential outside a sphere of radius a, where the potential is defined to be zero except in a specific angular region. The task is to express this potential in terms of spherical harmonics for regions where r > a, while also exploring contributions based on the values of m and the concept of superposition.

Discussion Character

  • Exploratory, Conceptual clarification, Assumption checking

Approaches and Questions Raised

  • Participants discuss the implications of symmetry in relation to the spherical harmonics and question which m values yield non-zero contributions. There is also confusion regarding the superposition aspect of the problem and how it relates to the potential defined in the specified angular region.

Discussion Status

Some participants have offered insights into the symmetry of the problem and its relation to the spherical harmonics, while others are questioning the assumptions made about the potential's dependence on φ. The discussion is ongoing, with various interpretations being explored without a clear consensus.

Contextual Notes

There are constraints regarding the angular bounds of integration and the specific conditions under which the potential is defined. Participants are navigating these constraints while attempting to clarify their understanding of the problem setup.

Faizan Samad
Messages
12
Reaction score
1

Homework Statement


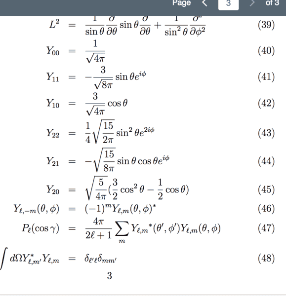
A sphere of radius a has V = 0 everywhere except between 0 < θ < π/2 and 0 < φ < π. Write an expression in spherical harmonics for the potential for r > a. For which values of m are there contributions? Determine the contributions through l= 2. How could you determine the leading contribution using just superposition?

Homework Equations


Again I will be uploading images. I am only looking for answer in terms of a general formula. Not a fully drawn out calculation.
Screen Shot 2018-09-17 at 12.24.04 AM.png


The Attempt at a Solution


I will be uploading a solution. Again the solution they are looking for is very general. What I am confused about is that this problem implies that for certain values of m there are no contributions but that does not seem to be the case with these bounds of integration. Also I do not understand the superposition part of this question.
IMG_2450.jpg
 

Attachments

  • IMG_2450.jpg
    IMG_2450.jpg
    22.4 KB · Views: 626
  • Screen Shot 2018-09-17 at 12.24.04 AM.png
    Screen Shot 2018-09-17 at 12.24.04 AM.png
    21.4 KB · Views: 1,078
Physics news on Phys.org
Look at the symmetry of the problem and compare it with the symmetry of the spherical harmonics.
 
bobob said:
Look at the symmetry of the problem and compare it with the symmetry of the spherical harmonics.
I’m integrating all the phi terms they don’t seem to go to 0.
 
Faizan Samad said:
I’m integrating all the phi terms they don’t seem to go to 0.

That's why you don't just throw math a problem that involves physics. It appears your potential independent of \phi, correct? If so,which m values should you not get zero answers for? Second, you were asked how you could guess a term or terms by superposition. Look at the symmetry of the Y_lm you can have after figuring out which ones those are (that you got by symmetry). You have the potential on a sphere which is V on the upper hemisphere and 0 on the lower hemisphere. It might help to shift the potential by -V/2 so that the symmetry is more obvious. Then you have a constant V/2 on the entire sphere and term and and a tem with +V/2 on the top hemisphere and -V/2 on the bottom hemisphere. When you superpose them you get V on the top half and zero on the bottom half. First thing you should always do in any problem is shift the origin or shift something to make as much symmetry explicit as possible. Then when you are done, you can shift back.
 
bobob said:
It appears your potential independent of \phi, correct?
That's not correct. The potential is non-zero for only ##0 < \phi < \pi##.
 
vela said:
That's not correct. The potential is non-zero for only ##0 < \phi < \pi##.
My mistake. Sorry about misreading the phi boundary condition. In that case, you should still look for symmetry, but adding -V/2 to everything will not be useful.
 
  • Like
Likes   Reactions: Delta2

Similar threads

Replies
1
Views
2K
  • · Replies 2 ·
Replies
2
Views
2K
  • · Replies 1 ·
Replies
1
Views
2K
  • · Replies 13 ·
Replies
13
Views
4K
  • · Replies 3 ·
Replies
3
Views
8K
Replies
2
Views
6K
  • · Replies 2 ·
Replies
2
Views
2K
  • · Replies 3 ·
Replies
3
Views
3K
  • · Replies 3 ·
Replies
3
Views
7K
  • · Replies 6 ·
Replies
6
Views
2K