System of 2 Equations: Homework Statement and Attempt Solution

Click For Summary

Homework Help Overview

The discussion revolves around a system of two equations, with participants sharing their attempts and insights on solving it.

Discussion Character

  • Exploratory, Problem interpretation, Assumption checking

Approaches and Questions Raised

  • Participants discuss the process of solving the system, including substituting variables and simplifying equations. Some express uncertainty about their attempts, while others provide suggestions on how to approach the problem.

Discussion Status

There is an ongoing exchange of ideas, with some participants offering guidance on solving for variables and substituting values. One participant indicates they have resolved their issue, suggesting progress in the discussion.

Contextual Notes

Participants mention challenges with fractions and the use of software for assistance, indicating potential constraints in their understanding or resources.

akaliuseheal
Messages
53
Reaction score
8

Homework Statement


[/B]
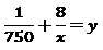
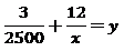
It's a system of 2 equations.

upload_2017-1-16_14-4-4.png

upload_2017-1-16_14-4-10.png


Homework Equations

The Attempt at a Solution


My attempt is not worth writing here.
Results I got using Microsoft Mathematics without showing me step by step.
upload_2017-1-16_14-5-49.png
 
Physics news on Phys.org
akaliuseheal said:

Homework Statement


[/B]
It's a system of 2 equations.

View attachment 111650
View attachment 111651

Homework Equations

The Attempt at a Solution


My attempt is not worth writing here.
Results I got using Microsoft Mathematics without showing me step by step.
View attachment 111652

Your attempt is worth it! It shows us you made effort to solve the question.

You have that ##y## must be equal to both ##\frac{1}{750} + \frac{8}{x}## and ##\frac{3}{2500} + \frac{12}{x}##

Thus you need to solve for ##x##: ##\frac{1}{750} + \frac{8}{x} = \frac{3}{2500} + \frac{12}{x}## and then substitute your answer for ##x## to obtain the value for ##y##
 
The most straight-forward way to solve a system of equations (although not always the most efficient way) is:
  • Use the first equation to solve for one variable in terms of the rest
  • In the second equation, replace that variable by its value (found in step 1). This will give you an equation involving one fewer variable.
  • Now, solve for a second variable.
  • Continue for as many equations as you have (which should be the same as the number of variables)
In your case, the first equation already gives you [itex]y[/itex] as a function of [itex]x[/itex]. So just use that value of [itex]y[/itex] in the second equation, and see what you get.
 
Okay, so I did manage to solve it. I was stuck for some time on fractions. Thanks
 

Similar threads

  • · Replies 6 ·
Replies
6
Views
2K
  • · Replies 11 ·
Replies
11
Views
1K
  • · Replies 4 ·
Replies
4
Views
2K
  • · Replies 6 ·
Replies
6
Views
1K
  • · Replies 3 ·
Replies
3
Views
1K
Replies
7
Views
2K
Replies
4
Views
2K
  • · Replies 4 ·
Replies
4
Views
2K
  • · Replies 7 ·
Replies
7
Views
2K
  • · Replies 8 ·
Replies
8
Views
2K