Tricky question involving masses, a pulley on incline with friction

Click For Summary

Homework Help Overview

The discussion revolves around a physics problem involving two masses connected by a pulley on an incline with friction. The original poster is trying to determine the mass M2 required to initiate movement and whether it will move up or down the incline.

Discussion Character

  • Exploratory, Assumption checking, Problem interpretation

Approaches and Questions Raised

  • Participants discuss the implications of static and kinetic friction, the forces acting on each mass, and the conditions for movement. There are attempts to analyze free body diagrams (FBDs) and the equilibrium of forces. Questions arise regarding the direction of friction and the correct application of coefficients of friction.

Discussion Status

The conversation has evolved with participants correcting each other's misunderstandings about the setup and calculations. Some have arrived at different values for M2, and there is acknowledgment of the need for two limiting values for M2 to understand the system's behavior under different conditions. Guidance has been offered regarding the direction of friction and the assumptions made in the analysis.

Contextual Notes

Participants note the importance of distinguishing between static and kinetic friction, as well as the need to consider the system's equilibrium and the roles of the masses involved. There is also mention of the constraints imposed by the problem's setup, such as the incline and the coefficients of friction for each mass.

totallyclone
Messages
54
Reaction score
0

Homework Statement


tumblr_mj5vqtLuE31qe908uo1_500h.jpg

M1=5.0kg
μs1=0.30
M2=?
μs2=0.20

What does M2 need to be in order to move?
The interesting thing with this question is if it does move, will it move up or down?

Homework Equations


Fun=ma
FfssFn


The Attempt at a Solution


I thought about this and if it's going to go up, that's one mass. If it goes down, that's another mass so will there be two masses?

I also though, if it gave the static friction for both, maybe I thought of finding force of static friction for M1:
FfssFn
Ffs=(0.30)(mgcos30°)
Ffs=(0.30)(5.0x9.8xcos30°)
Ffs=12.7N

After that, I think there will be a force of tension and a parallel force of gravity on M1 and if you add all these up with Ff, it must add up to 0...or not since it is a connected to a pulley that is being pulled (or not), it won't add up to 0?
 
Physics news on Phys.org
tumblr_mj5vqtLuE31qe908uo1_500h.jpg

Here's a smaller picture. That was too big :P
 
Draw out two FBD for the boxes. One where the friction forces both point in +x and another where they point in -x. I don't get why the question asks if it will move up or down. You should get two masses, one the moves up and that moves down.
 
I found the force of static friction for them and just drew the FBD. So if it starts to move, wouldn't it be kinetic friction now?
 
Kinetic friction is always smaller than static friction so you don't need to worry about it.
 
So here I drew the FBD for both boxes and since I thought there would be two masses possible, I treated right as positive for case #1
tumblr_mj5yngAM1F1qe908uo1_1280.jpg


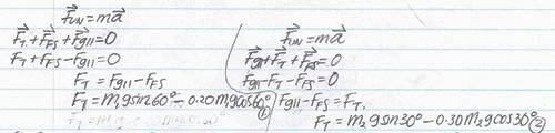
Then I tried to work it out using Fun=ma but since it's in equilibrium, ƩF=0.
So I plugged in all my given information to develop two equations for this:
tumblr_mj5yurZbEx1qda1b7o1_500.jpg


And so I was left with one unknown, FT, so I isolated them and made them equal each other assuming they have the same magnitude. So here I made them equal each other and found the mass!
tumblr_mj5yurZbEx1qda1b7o2_500.jpg


But since this is Case #1, so in conclusion the mass it needs to move upwards is 15.9kg?
 
I think my answer looks pretty huge for it to be right :P
 
You put your coefficients of friction in the wrong places. It looks like that was your only mistake though.
 
What do you mean? I substituted them in though because Ffs=μsFn
 
  • #10
You substituted them into to the wrong equations. If you were to fix that you'll have an answer that is quite smaller.
 
  • #11
Could you explain that in further detail? And is it true that the forces of tension will be the same for both sides of the pulley?
 
  • #12
totallyclone said:
Could you explain that in further detail? And is it true that the forces of tension will be the same for both sides of the pulley?

m2 has μs=0.2 and m1 has μs=0.3. You mixed them up though so that should be why your answer is wrong. Yes tensions will always be equal as long as the pulley is massless and frictionless.
 
  • #13
I am getting 10.95kg but would that seem more reasonable?
 
  • #14
Actually it looks like your us values were in the right place but you put the masses in the wrong places. Also for your FBD of box 2 you had friction going in the wrong direction.
 
  • #15
So I did make changes to my mistakes with my coefficients of static friction and this is how I got 10.95kg.
tumblr_mj7nyivutf1qe908uo1_1280.jpg


So on my current one, the directions of my Force of Static Friction is in the wrong direction?
 
  • #16
So for box 2 I had a mistake there for the Ffs, so it should be going towards right (same direction as the Fg||)?
 
  • #17
Maiq said:
Actually it looks like your us values were in the right place but you put the masses in the wrong places. Also for your FBD of box 2 you had friction going in the wrong direction.

Oh I get it now! I started again on a fresh sheet of paper and tried again with what I came up and fixed my mistakes. Can't believe I mixed up the two boxes because box 2 was on the left and box 1 on the right so I ended up mixing them both up. Now, with everything fixed, I managed to get 1.24kg which seems to make more sense since box 1 is 5.0kg.

tumblr_mj7pslblBi1qe908uo1_1280.jpg


And I also fixed the direction of force of friction for box 2 like you said and yeah, I got 1.24kg.
 
  • #18
Maiq said:
Actually it looks like your us values were in the right place but you put the masses in the wrong places. Also for your FBD of box 2 you had friction going in the wrong direction.

Also, a little question, why would the force of friction for box 2 go the other way (like you said)?

I got 1.57kg if I made the friction the same, 1.24kg when I changed the friction for box 2, like you said.

So which one would make more sense?
 
  • #19
Friction is always opposite the motion
 
  • #20
Jesse H. said:
Friction is always opposite the motion

what if it's static friction where it is equilibrium and there's a string attached to it on an incline, where will the force of static friction point towards to now? for this instance, like the problem here...
 
  • #21
if m1sinθ1>m2sinθ2, friction will pull down the plane on m2 and up the plane on m1, because in order for system to not move, friction will have to add to force down the plane of m2, and it friction will have to resist the force of m2 trying to go down the plane.
 
  • #22
So would this be the right diagram then?
I know that Force of tension goes towards the center. Would the force of static friction goes toward center because they are opposing each other so that they won't move?

tumblr_mj7w8r9JVn1qe908uo1_500.jpg
 
  • #23
No the boxes are moving so you want the friction to oppose that motion.
 
  • #24
Maiq said:
No the boxes are moving so you want the friction to oppose that motion.

Oh! I understand now. The force of friction (static) shouldn't oppose each other, because I want to find out the mass it would take just so it would move (up or down) the incline. Right, so this is now my diagram, changed the Ffs for M2.

tumblr_mj7yomZgy21qe908uo1_500.jpg


I worked that out ealier and got 1.24kg in post #17. So would that be correct?
 
  • #25
Another way to look at the problem is to find the range of values for m2 so that the system doesn't move.
 
  • #26
totallyclone said:
Oh! I understand now. The force of friction (static) shouldn't oppose each other, because I want to find out the mass it would take just so it would move (up or down) the incline.

Yep you got it. Your FBD and math looks right so your answer should be right. Although your answer would actually be m2<1.24.
 
  • #27
There should be two limiting values for m2.

If m2 is very small, then the system will accelerate toward the right. This results in an answer such as m2 < msmall. This is the case you have solved, m2 < 1.24 kg.

If m2 is very large, then the system will accelerate toward the left. This results in an answer such as m2 > mlarge.
 
  • #28
Maiq said:
Yep you got it. Your FBD and math looks right so your answer should be right. Although your answer would actually be m2<1.24.

My Physics teacher went through this today and 1.24kg is right but that is the weight when it is about to move up. But there should also be another weight that is the heavier one that just makes it go down.

Gah, I knew right at the beginning before I even started that there should be two masses! Well, I did find one. The other one (the heavier) turned out to be 4.9 something (close to 5kg) can't remember. I did get it at one point when I tried out possible ways to tackle this question.
 

Similar threads

  • · Replies 8 ·
Replies
8
Views
2K
  • · Replies 3 ·
Replies
3
Views
2K
Replies
14
Views
3K
  • · Replies 5 ·
Replies
5
Views
2K
  • · Replies 13 ·
Replies
13
Views
8K
  • · Replies 17 ·
Replies
17
Views
3K
  • · Replies 4 ·
Replies
4
Views
3K
  • · Replies 5 ·
Replies
5
Views
2K
  • · Replies 3 ·
Replies
3
Views
2K
  • · Replies 19 ·
Replies
19
Views
3K