Trouble computing the cosine of a complex number

Click For Summary

Homework Help Overview

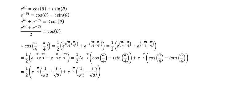
The problem involves computing the cosine of a complex number, specifically cos(π/4 + π/4 i). The original poster expresses difficulty in arriving at the correct answer, as verified by an external tool.

Discussion Character

  • Exploratory, Assumption checking

Approaches and Questions Raised

  • Participants discuss potential errors in the original poster's calculations, including a sign error and suggestions for factoring and applying trigonometric identities.

Discussion Status

Guidance has been offered regarding specific errors in the calculations, and the original poster acknowledges the feedback, indicating a shift towards a correct understanding of the problem.

Contextual Notes

The original poster's post was moved from a technical section, indicating a potential lack of adherence to the forum's homework template, which may have impacted the clarity of the problem setup.

gex
Messages
36
Reaction score
2
Mentor note: Thread moved from technical section, so missing the homework template.
Hi all, I have a homework problem which asks me to compute the complex number cos(π/4 + π/4 i).
I've been playing around with it for a while now and just can't seem to get the answer I get when using Wolfram Alpha to verify. Attached is my most recent attempt at solving the problem, I'd love some input as to where I'm going wrong. Thank you in advance.
Capture.JPG
 

Attachments

  • Capture.JPG
    Capture.JPG
    17.4 KB · Views: 876
Last edited by a moderator:
Physics news on Phys.org
gex said:
Hi all, I have a homework problem which asks me to compute the complex number cos(π/4 + π/4 i).
I've been playing around with it for a while now and just can't seem to get the answer I get when using Wolfram Alpha to verify. Attached is my most recent attempt at solving the problem, I'd love some input as to where I'm going wrong. Thank you in advance.View attachment 224899
You have a sign error. In your "therefore" line (the line with ∴), in the middle expression, the part in parentheses should be ##(\frac \pi 4 + i\frac \pi 4)##. You have a minus where it should be a plus.
 
In the second line, factor out ##e^{-\frac{\pi}{4}}## and apply the ##2cos(\theta)## identity to the other factor.
 
The last expression on the line starting, " ∴ cos( " is wrong -i(n-ni) = -ni +n
 
Thank you so much everyone, I feel foolish for my careless sign error. Most of all I feel relieved that my approach wasn't flawed. I get the correct answer now :)
 

Similar threads

  • · Replies 1 ·
Replies
1
Views
2K
  • · Replies 7 ·
Replies
7
Views
6K
  • · Replies 22 ·
Replies
22
Views
2K
  • · Replies 5 ·
Replies
5
Views
3K
Replies
3
Views
2K
  • · Replies 2 ·
Replies
2
Views
2K
Replies
2
Views
3K
  • · Replies 1 ·
Replies
1
Views
2K
  • · Replies 7 ·
Replies
7
Views
3K
  • · Replies 4 ·
Replies
4
Views
2K