Understanding the Semicolon Usage in Meijer's G-Function Notation

  • Context: Undergrad 
  • Thread starter Thread starter EngWiPy
  • Start date Start date
  • Tags Tags
    Notation
Click For Summary
SUMMARY

The discussion focuses on the usage of semicolons in Meijer's G-function notation, highlighting that these symbols are not universally included in various texts. It is established that Greek tensor indices represent the full range of spacetime values, while Latin indices refer only to spatial values. Additionally, the comma and semicolon are identified as standard notation for partial and covariant derivatives, respectively. This distinction is crucial for understanding the notation's implications in mathematical contexts.

PREREQUISITES
  • Understanding of Meijer's G-function notation
  • Familiarity with tensor indices in mathematics
  • Knowledge of partial and covariant derivatives
  • Basic concepts of spacetime in mathematical physics
NEXT STEPS
  • Research the standard notation for Meijer's G-function in various mathematical texts
  • Study the differences between partial and covariant derivatives in tensor calculus
  • Explore the implications of tensor indices in spacetime representation
  • Investigate the historical context and evolution of Meijer's G-function notation
USEFUL FOR

Mathematicians, physicists, and students studying advanced calculus or mathematical physics, particularly those interested in the nuances of Meijer's G-function and tensor notation.

EngWiPy
Messages
1,361
Reaction score
61
Hello,

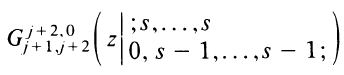
What are the semicolons in the this Meijer's G Function (picture is attached)? The notation I saw in different books and in the Internet doesn't include semicolons. Do they signify something that is not in the other notations?

Thanks
 

Attachments

  • Untitled.png
    Untitled.png
    1.8 KB · Views: 590
Mathematics news on Phys.org
Progress in Industrial Mathematics at ECMI 2016, pg 485 footnote 1
https://books.google.com/books?isbn=3319630822

1Greek tensor indices indicate the full range of spacetime values, whereas Latin will only refer to the spatial values. Comma and semicolon are standard notation for partial and covariant derivatives, respectively. For scalars, partial and covariant derivitives are identical.

Actually, I know nothing about this, I just did a Google search for: semicolon in Meijer's G Function

Cheers,
Tom
 
  • Like
Likes   Reactions: mfb
Thanks, but this is very generic. I am looking for something specific for the Meijer's G function because of different notation uses that is causing me confusion.
 

Similar threads

  • · Replies 3 ·
Replies
3
Views
14K
  • · Replies 4 ·
Replies
4
Views
1K
  • · Replies 1 ·
Replies
1
Views
1K
  • · Replies 2 ·
Replies
2
Views
1K
  • · Replies 2 ·
Replies
2
Views
1K
  • · Replies 13 ·
Replies
13
Views
3K
Replies
11
Views
12K
  • · Replies 5 ·
Replies
5
Views
2K
  • · Replies 3 ·
Replies
3
Views
4K
  • · Replies 7 ·
Replies
7
Views
2K