Use Norton’s Theorem to find the current in RL

  • Thread starter Thread starter agata78
  • Start date Start date
  • Tags Tags
    Current Theorem
Click For Summary

Discussion Overview

The discussion revolves around using Norton’s Theorem to find the current in a load resistor (RL) within a given circuit. Participants are attempting to apply the theorem, which involves calculating Norton resistance and current, while dealing with complex numbers in their calculations.

Discussion Character

  • Homework-related
  • Mathematical reasoning
  • Debate/contested

Main Points Raised

  • One participant presents an initial attempt at calculating Norton resistance (RN) using a specific formula but expresses uncertainty about the correctness of their approach, particularly due to the complexity of the resistors involved.
  • Another participant points out the absence of an attached figure, which is crucial for understanding the problem context.
  • Several participants discuss the correct formulation of Norton’s Resistance Equation, with some suggesting variations and clarifying the role of the load resistor RL in the calculations.
  • There are multiple iterations of calculations presented, with participants seeking validation of their steps and results, indicating confusion over complex arithmetic.
  • One participant acknowledges a previous mistake regarding the inclusion of RL in the Norton equivalent circuit and corrects their approach based on feedback from others.
  • Another participant emphasizes the need to simplify complex expressions and clear complex values from denominators in their calculations.
  • Some participants express frustration over the complexity of the calculations and seek help in verifying their results.
  • There is a discussion about the method for determining the current (I) using the open circuit voltage and Norton resistance, with participants questioning their understanding of the process.

Areas of Agreement / Disagreement

Participants generally agree on the need to correctly apply Norton’s Theorem and the importance of separating the load resistor from the Norton equivalent circuit. However, there are competing views on the correct formulation of Norton’s Resistance Equation and the steps involved in the calculations, leading to unresolved disagreements on specific approaches and results.

Contextual Notes

Participants express confusion over complex number arithmetic and the simplification of expressions, indicating that some calculations may be incomplete or incorrect. There is also a lack of consensus on the correct method for determining the Norton current and the open circuit voltage.

Who May Find This Useful

This discussion may be useful for students and practitioners working with circuit analysis, particularly those interested in applying Norton’s Theorem and dealing with complex impedances.

  • #31
Yes i can see it.
Vab= (50 x ( 40 -j10 )) / ( 20 + j5) + ( 40 - j10)
Vab= (2000- j500) / (60-j5)
Vab= (( 2000- j500 ) ( 60 +j5 )) / (60 -j5 ) ( 60 +j5)
Vab= (120000+ 10000j - 30000j- j Xj x 2500 ) / ( 3600 + 300j -300j + 25 )
Vab= (120000-20000j + 2500 ) / 3625
Vab= (122500-20000j ) / 3625 everything divide per 125
Vab= (980 - 160j) / 29
and then
i= Vab/ r

i = ((980 -160j )/ 29) / (( 553+324j)/29)
i= ((980-160j ) /29) x (29/ (553+324j ))
i= ((980-160j ) / (553 +324j )
 
Last edited:
Physics news on Phys.org
  • #32
agata78 said:
Yes i can see it.
Vab= (50 x ( 40 -j10 )) / ( 20 + j5) + ( 40 - j10)
Vab= (2000- j500) / (60-j5)
Vab= (( 2000- j500 ) ( 60 +j5 )) / (60 -j5 ) ( 60 +j5)
Vab= (120000+ 10000j - 30000j- j Xj x 2500 ) / ( 3600 + 300j -300j + 25 )
Vab= (120000-20000j + 2500 ) / 3625
Vab= (122500-20000j ) / 3625 everything divide per 125
Vab= (980 - 160j) / 29
Huzzah! That is correct :smile:

and then
i= Vab/ r

i = ((980 -160j )/ 29) / (( 553+324j)/29)
i= ((980-160j ) /29) x (29/ (553+324j ))
i= ((980-160j ) / (553 +324j )
Good so far! Now normalize it (remove the imaginary in the denominator).
 
  • #33
The best i can do is:
(490100-406000j) / 410785 divide per 5
(98020- 81200j) / 82157
20( 4901- 4060j) / 82157

It doeasnt look good, I thought the final number would look much different.
 
Last edited:
  • #34
agata78 said:
The best i can do is:
(490100-406000j) / 410785 divide per 5
(98020- 81200j) / 82157
20( 4901- 4060j) / 82157

It doeasnt look good, I thought the final number would look much different.

You're right, it doesn't look good :smile: Hint: a common denominator is 2833.

I've got to run now. Back in 7 or 8 hours.
 
  • #35
20( 4901- 4060j) / 82157

(490100-406000j) / 29 x 2833 divide everything by 29

(16900- 14000j) / 2833

Thank you for your help. I still need to work on this one!

I need to use Thevenin theorem as well but it seems like all figures are the same as for Norton theorem.
 
  • #36
Still don't know how to finish this one.
 
  • #37
Go back to your expression:

(490100-406000j) / 410785

Now, with the denominator factor hint I gave, 410785/2833 = 145. So divide all the numerator numbers by 145.

In truth, your expression above is a perfectly good answer, too. In fact, in practical terms you could just use a calculator and present the result in decimal form:

1.193 - 0.988j

Add the appropriate units and you're done.

Sometimes you will get a problem that requests you to express the result in "reduced form", where you need to find the lowest common denominator as we've been doing.
 
  • #38
Yes i know what you mean. Thank you for helping me with this.
My task is :

Use Thevenin's and Norton's theorems to find the current in Rl.

I checked out some good examples and it seems like Thevenin and Norton come out the same. Is it true? Am i right?

How to complete the task?
 
  • #39
agata78 said:
Yes i know what you mean. Thank you for helping me with this.
My task is :

Use Thevenin's and Norton's theorems to find the current in Rl.

I checked out some good examples and it seems like Thevenin and Norton come out the same. Is it true? Am i right?

How to complete the task?

Well, the current in the load should certainly come out the same. Thevenin and Norton simply replace a given network with sources with a single source (either voltage or current) and a single resistor. The equivalent circuit behaves just as the original sources and network as far as the load is concerned.

You've worked through finding the Norton model, and you can easily find the Thevenin model from that. The rest is just a matter of sticking your load onto one of the models and calculating the current.
 
  • #40
It is getting a bit complicated now.

Voc= e

Isc= V/ R1= 50/ 20+j5= (1000 -j250) / 325

Rth= Voc/ Isc= ((980- 160j ) / 29 ) / ((1000- 250j ) /325 )

what do you think?
 
Last edited:
  • #41
agata78 said:
It is getting a bit complicated now.

Voc= e

Isc= V/ R1= 50/ 20+j5= (1000 -j250) / 325

Rth= Voc/ Isc=

Sorry, I don't follow what you're doing here.

The Thevenin impedance is identical in value to the Norton impedance. So if you've found one, you've found the other.

The Thevenin voltage is equal to the Norton current multiplied by the Norton impedance. That is,

##R_{th} = R_N##

##V_{th} = I_NR_N##

and of course this also means:

##R_N = R_{th}##

##I_N = V_{th}/R_{th}##

The Thevenin model is a voltage in series with an impedance. The Norton model is a current source in parallel with an impedance.

(Note that I use the term "impedance" here rather than resistance because we're working with an AC circuit with impedances)
 
  • #42
At beginning i thought the same, but i just didnt understand your previous clue.

Vth= V/ R1

Thank you so much for your help.
 
Last edited:
  • #43
agata78 said:
At beginning i thought the same, but i just didnt understand your previous clue.
does it mean the question has been answered!

Thank you so much for your help.

It means that once you've slogged through the hard work of finding one of the equivalents, finding the other is very easy to do.

To find the current in the load RL, all you have to do is place RL on one of the equivalents and determine the current. Probably easiest to use the Thevenin model for that so you don't have to deal with current division with impedances.
 
  • #44
I load= Vth / (Rth+ RL )
Am i right?
 
  • #45
agata78 said:
I load= Vth / (Rth+ RL )
Am i right?

Yup.
 
  • #46
Vth= In x Rn

Vth= ((3380 -2800j ) / 2833 ) x( ( 553+324 j) / 29 )
Vth=(( 2776340-453280j) /82157 )

And then :

I load= Vth/ Rth+RL

Iload= (( 2776340-453280j) /82157 ) / ((553 +324j )/ 29) + 50

Before i go further am i correct?
 
  • #47
That's fine. By the way, your Thevenin voltage can be reduced to ##\frac{980}{29} - \frac{160}{29}j ## V.
 
  • #48
I load = (1911100 - 638000j) / 4116985

Iload= 0.464-0.155j

Would you agree with me?
 
  • #49
Yes I would agree. :thumbs:
 
  • #50
Then it would be my current which i was looking for to answer my task.

Thank you so much!
 
  • #51
I don't think this is a complete answer.You have left complex numbers unsolved.

Answer should be: 0.411∠-17.13°
 
Last edited:
  • #52
shaltera said:
I don't think this is a complete answer.You have left complex numbers unsolved.

Answer should be: 0.411∠-17.13°

Polar or rectangular form for complex values are equally good if the problem doesn't specify that the answer must be given in one or the other.

I think you'll find that your polar value for the load current is not quite right. Should be more like 0.489 ∠-18.5°.
 
  • #53
32.44∠-9.3°
__________ = 0.411∠(-9.3°-8.13°)= 0.411∠-17.13°
78.85∠8.13°
 

Attachments

  • web.gif
    web.gif
    6.9 KB · Views: 555
  • #54
You'll have to show where your numbers are coming from. Show your determinations of Ve and Ze.
 
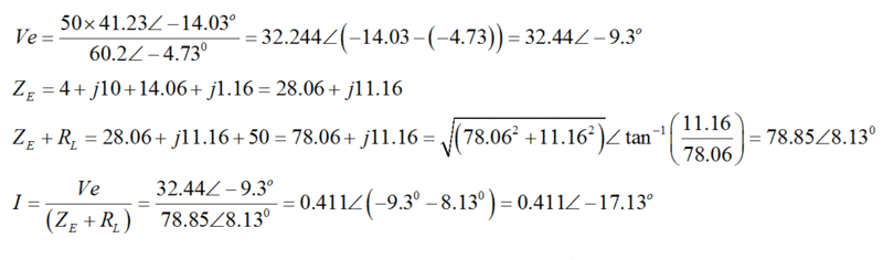
  • #55
I=Ve/(Ze+Rl)

gneill said:
You'll have to show where your numbers are coming from. Show your determinations of Ve and Ze.

I=Ve/(Ze+Rl)
 

Attachments

  • ve.gif
    ve.gif
    15.9 KB · Views: 375
  • #56
You should probably keep a couple of extra digits for intermediate values so that roundoff error doesn't creep into results.

Your polar value for R3 is okay. But the polar value you obtained for R1+R3 is a bit off. I see:
R1 + R3 = 60.208 Ω ∠ -4.764° (your angle is off a bit). As a result I'm seeing a value for Ve of

Ve = 34.241 V ∠ -9.273°

which is just a bit larger than your value.

I'm not sure where your numbers are coming from for ZE, but assuming it's a Thevenin equivalent resistance it is given by R2 + R1 || R3 and should come to 19.069 + 11.172j Ω, or 22.101 Ω ∠ 30.366°.

Carrying on I find
$$I = \frac{Ve}{Z_E + RL} = \frac{34.241 V~ ∠ -9.273°}{69.967 Ω ~∠ 9.188°} = 0.489 A ~∠ -18.461°$$
 

Similar threads

  • · Replies 28 ·
Replies
28
Views
7K
  • · Replies 4 ·
Replies
4
Views
3K
  • · Replies 20 ·
Replies
20
Views
12K
  • · Replies 5 ·
Replies
5
Views
2K
  • · Replies 4 ·
Replies
4
Views
2K
Replies
1
Views
2K
  • · Replies 3 ·
Replies
3
Views
2K
Replies
2
Views
2K
  • · Replies 11 ·
Replies
11
Views
2K
  • · Replies 11 ·
Replies
11
Views
5K