What is the minimum time at a given angle on a cone with constant size?

  • Thread starter Thread starter bowes78
  • Start date Start date
  • Tags Tags
    Cone String
Click For Summary

Homework Help Overview

The discussion revolves around finding the minimum time at a given angle on a cone with a constant size, involving variables such as the angle φ, angle α, and the radius of the cone. Participants explore various mathematical approaches to express time in relation to these angles and constants.

Discussion Character

  • Exploratory, Mathematical reasoning, Assumption checking

Approaches and Questions Raised

  • Participants discuss using the law of sines and differentiation to minimize the expression for time squared. There are questions about the correctness of angles and trigonometric identities used in the derivations.

Discussion Status

The discussion is ongoing, with participants providing insights and questioning each other's reasoning. Some have suggested alternative methods for approaching the problem, while others are clarifying definitions and relationships between the variables involved.

Contextual Notes

There are indications of potential misunderstandings regarding the angles and trigonometric relationships, as well as the implications of certain assumptions made in the problem setup. Participants are encouraged to clarify their work and assumptions as they progress.

bowes78
Messages
10
Reaction score
0
Homework Statement
A hollow cone is placed on the ground like shown in example. Inside a cone there is string attached to base center. In the string there is a small bead. What must the angle between string and vertical be, so bead reaches cone surface fastest? (You can stretch the string). Cone base is parallel to the ground and cone has angle φ. String frictionless.
Relevant Equations
kinematic eqs
trig identites
I tried to come up with expression of time in terms of φ, α, and some constant value of cone size that does not depend on angle (I used R as cone radius). I though I could use that expression to see at what angle time is going to minimum, but I came up with expression from which I can't make a conclusion. I believe there is another solution method, or maybe there are some useful trig identities, but I was unable to find it.
Can someone help me out? Thanks

Angle φ is marked badly at my solution, but that doesn't change anything in particular.
newimage(3).jpg
 

Attachments

  • newimage(1).jpg
    newimage(1).jpg
    4.2 KB · Views: 143
Physics news on Phys.org
Note that the angle you call ##\varphi## is half the angle given as ##\varphi## in the diagram.

My first approach would be to use the law of sines for the triangle that has angles ##\alpha##, ##\varphi/2## and ##\pi-(\alpha+\varphi/2).## Then minimize ##t^2## with respect to ##\alpha.##
 
  • Like
Likes   Reactions: SammyS
kuruman said:
Note that the angle you call ##\varphi## is half the angle given as ##\varphi## in the diagram.

My first approach would be to use the law of sines for the triangle that has angles ##\alpha##, ##\varphi/2## and ##\pi-(\alpha+\varphi/2).## Then minimize ##t^2## with respect to ##\alpha.##
So I get t^2=(2 a sin(φ/2))/(g cosα sin(φ/2+α)), a is length OC. How can I minimize it to find value of α?
 
bowes78 said:
So I get t^2=(2 a sin(φ/2))/(g cosα sin(φ/2+α)), a is length OC. How can I minimize it to find value of α?
How do you usually find a minimum of a function wrt its independent variable?
 
haruspex said:
How do you usually find a minimum of a function wrt its independent variable?
So after differentiation with respect to α, setting t=0, I get α=90-(φ/2). Could this be the answer?
 
bowes78 said:
So after differentiation with respect to α, setting t=0, I get α=90-(φ/2). Could this be the answer?
Consider what that looks like in your diagram. It would mean the string meets the cone at a right angle. It is easy to show that the answer must have the string meet the cone somewhat lower.
If you cannot find your error, please post your working.
 
haruspex said:
Consider what that looks like in your diagram. It would mean the string meets the cone at a right angle. It is easy to show that the answer must have the string meet the cone somewhat lower.
If you cannot find your error, please post your working.
Yes, previous solution had a mistake. This time I tried to do something like this, but that seems to me that it doesn't make sense too. Because if we set (φ/2)=0, then α=32, which doesn't look right.
IMG_20221216_162355.jpg
 
What about the work before what you posted? Specifically, what does ##a## stand for in the first equation giving ##t^2##?
 
kuruman said:
What about the work before what you posted? Specifically, what does ##a## stand for in the first equation giving ##t^2##?
I just picked there wrong trigonometry formulas, so I got wrong answer. As I mentioned before, a is length OC in the triangle. I needed that for law of sines.
 
  • #10
The law of sines is always two equations. In this case is $$\frac{s}{\sin\alpha}
=\frac{\frac{1}{2}gt^2\cos\alpha}{\sin(\varphi/2)}
=\frac{h}{\sin(\alpha+\varphi/2)}.
$$
Did you use both? The first equation involving segment ##s## is needed to ensure that the point of intersection P is on the hypotenuse at time ##t##.

It's probably easier and more straightforward to write equations for the position of the bead, ##x(t)## and ##y(t),## find the intersection with the hypotenuse and then minimize.
StringSHortestTime.png
 
  • #11
bowes78 said:
Yes, previous solution had a mistake. This time I tried to do something like this, but that seems to me that it doesn't make sense too. Because if we set (φ/2)=0, then α=32, which doesn't look right.
Not sure how you got the line following "=>". Please post the details of that step.
I assume you realise it is only necessary to maximise the denominator in the expression for ##t^2## since the numerator is constant.
 
  • #12
kuruman said:
The law of sines is always two equations. In this case is $$\frac{s}{\sin\alpha}
=\frac{\frac{1}{2}gt^2\cos\alpha}{\sin(\varphi/2)}
=\frac{h}{\sin(\alpha+\varphi/2)}.
$$
Did you use both? The first equation involving segment ##s## is needed to ensure that the point of intersection P is on the hypotenuse at time ##t##.

It's probably easier and more straightforward to write equations for the position of the bead, ##x(t)## and ##x(t)## find the intersection with the hypotenuse and then minimize.
View attachment 318945
No, I used only $$\frac{h}{sin(\alpha+\varphi/2)}=\frac{\frac{1}{2}gt^{2}cos\alpha }{sin(\varphi/2) }.$$

I think I'm getting your idea, but how I should write ##x(t)## equation? I suppose that $$y(t)=\frac{1}{2}gt^{2}.$$
Or it should be like $$y(t)=\frac{1}{2}gcos^{2}\alpha t^{2} $$
$$x(t)=\frac{1}{2}gsin\alpha cos\alpha t^{2}$$
Because string length is $${\frac{1}{2}gcos\alpha}t^{2}$$
 
  • #13
haruspex said:
Not sure how you got the line following "=>". Please post the details of that step.
I assume you realise it is only necessary to maximise the denominator in the expression for ##t^2## since the numerator is constant.
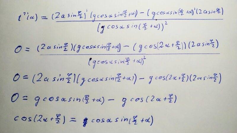
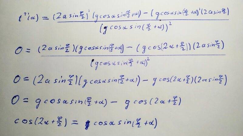
IMG_20221217_094227.jpg
 
  • #15
haruspex said:
a and φ are constants, so what is the derivative of ##2a\sin(\phi/2)##?
I see... It should be zero, but whole equation then disappears.
 
  • #16
bowes78 said:
I see... It should be zero, but whole equation then disappears.
Does it? What do you have left?
 
  • #17
haruspex said:
Does it? What do you have left?
Well, should I solve it like that?
$$-gcos(2\alpha+\varphi /2)(2asin(\varphi/2))=0$$
$$cos(2\alpha+\varphi /2)=0$$
$$\alpha =\frac{90^{\circ}-\varphi /2 }{2}$$
 
  • #18
bowes78 said:
Well, should I solve it like that?
$$-gcos(2\alpha+\varphi /2)(2asin(\varphi/2))=0$$
$$cos(2\alpha+\varphi /2)=0$$
$$\alpha =\frac{90^{\circ}-\varphi /2 }{2}$$
Right.
 
  • #19
haruspex said:
Right.
Thanks!
 

Similar threads

  • · Replies 6 ·
Replies
6
Views
3K
  • · Replies 2 ·
Replies
2
Views
6K
Replies
7
Views
3K
  • · Replies 17 ·
Replies
17
Views
2K
  • · Replies 2 ·
Replies
2
Views
4K
Replies
2
Views
13K
  • · Replies 2 ·
Replies
2
Views
4K
  • · Replies 4 ·
Replies
4
Views
8K
  • · Replies 1 ·
Replies
1
Views
3K
  • · Replies 14 ·
Replies
14
Views
2K