When to use which dimensionless number

  • Context: Undergrad 
  • Thread starter Thread starter member 428835
  • Start date Start date
Click For Summary

Discussion Overview

The discussion revolves around the use of dimensionless numbers in the context of low gravity capillary driven flows, specifically comparing the Reynolds number and the Ohnesorge number. Participants explore the significance of these numbers in relation to surface tension and inertia, and the conditions under which each is applicable.

Discussion Character

  • Exploratory
  • Technical explanation
  • Debate/contested
  • Mathematical reasoning

Main Points Raised

  • Some participants note that the Ohnesorge number is preferred over the Reynolds number in low gravity capillary flows due to its incorporation of surface tension effects.
  • Others argue that while the Reynolds number is not intrinsically wrong, it does not account for surface tension, which is critical in these flows.
  • A participant mentions that the choice of dimensionless group depends on the specific phenomena being studied, suggesting that different problems may require different dimensionless numbers.
  • One participant describes a systematic approach to derive dimensionless groups from governing equations, emphasizing the importance of defining relevant scales for the problem at hand.
  • Another participant expresses skepticism about the proliferation of dimensionless numbers in chemical engineering, suggesting they may be created for recognition or to facilitate data representation.
  • A participant provides a detailed mathematical formulation related to fluid flow down a wedge, discussing how the Ohnesorge number emerges in their analysis.
  • There is a request for clarification on the formulation of differential equations and boundary conditions related to the discussed problem.

Areas of Agreement / Disagreement

Participants express differing views on the appropriateness of using the Reynolds number versus the Ohnesorge number in specific contexts. The discussion remains unresolved regarding the best practices for selecting dimensionless numbers in capillary flows.

Contextual Notes

Participants highlight the importance of scaling and the specific conditions of the flow problem, including the small Bond number and the neglect of gravity, which may influence the choice of dimensionless numbers.

  • #91
Chestermiller said:
I confirm all those components.
Ok, then here is what follows:
output.png

Notice I used the FullSimplify command, so ideally this is concise. It's not the same as yours (I input that in already). My results based on post 84
 

Attachments

  • output.png
    output.png
    15.6 KB · Views: 894
Physics news on Phys.org
  • #92
joshmccraney said:
Ok, then here is what follows:View attachment 220354
Notice I used the FullSimplify command, so ideally this is concise. It's not the same as yours (I input that in already). My results based on post 84
As best I can tell, this is equivalent to what I had.
 
  • #93
Chestermiller said:
As best I can tell, this is equivalent to what I had.
Shoot, maybe I typed it into Mathematica wrong. So, if both are correct, then we're good?
 
  • #94
joshmccraney said:
Shoot, maybe I typed it into Mathematica wrong. So, if both are correct, then we're good?
Yes. But, I'd also like to include the viscous part of the stress in the boundary condition at the free surface. In terms of the components of the stress tensor (in cylindrical coordinates) and our equation for the normal to the free surface, what is the traction vector at the free surface?
 
  • Like
Likes   Reactions: member 428835
  • #95
Chestermiller said:
Yes. But, I'd also like to include the viscous part of the stress in the boundary condition at the free surface. In terms of the components of the stress tensor (in cylindrical coordinates) and our equation for the normal to the free surface, what is the traction vector at the free surface?
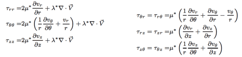
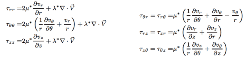
If the stress tensor is ##\sigma## then are you asking for ##\sigma \cdot \hat N##? Shouldn't we instead take ##\sigma \cdot \hat u_z## and ##\sigma \cdot \hat u_\theta## since we're concerned with finding shear? Evidently the stress tensor ##\sigma## has components
Screen Shot 2018-02-16 at 12.51.32 PM.png

where we can obviously omit the ##\nabla\cdot\hat V## terms (incompressible). So the matrix appears as
$$
\sigma =
\begin{bmatrix}
\tau_{rr} & \tau_{r\theta} & \tau_{rz}\\
\tau_{r\theta} & \tau_{\theta\theta} & \tau_{\theta z}\\
\tau_{rz} & \tau_{\theta z} & \tau_{zz}
\end{bmatrix}
$$
and ##\hat u_z,\hat u_\theta## have bee previously defined. What do you think?
 

Attachments

  • Screen Shot 2018-02-16 at 12.51.32 PM.png
    Screen Shot 2018-02-16 at 12.51.32 PM.png
    14.1 KB · Views: 847
  • #96
joshmccraney said:
If the stress tensor is ##\sigma## then are you asking for ##\sigma \cdot \hat N##? Shouldn't we instead take ##\sigma \cdot \hat u_z## and ##\sigma \cdot \hat u_\theta## since we're concerned with finding shear? Evidently the stress tensor ##\sigma## has components View attachment 220423
where we can obviously omit the ##\nabla\cdot\hat V## terms (incompressible). So the matrix appears as
$$
\sigma =
\begin{bmatrix}
\tau_{rr} & \tau_{r\theta} & \tau_{rz}\\
\tau_{r\theta} & \tau_{\theta\theta} & \tau_{\theta z}\\
\tau_{rz} & \tau_{\theta z} & \tau_{zz}
\end{bmatrix}
$$
and ##\hat u_z,\hat u_\theta## have bee previously defined. What do you think?
I'd like to see (in terms of the tau's),$$\hat{\sigma}\centerdot \hat{n}$$The above is the viscous stress (traction) vector at the interface
$$(\hat{\sigma}\centerdot \hat{n})\centerdot \hat{n}$$The above is the normal viscous stress component at the interface
$$\hat{\sigma}\centerdot \hat{n}-((\hat{\sigma}\centerdot \hat{n})\centerdot \hat{n})\hat{n}$$The above is the viscous shear stress at the interface (which must be zero)
 
  • #97
Chestermiller said:
I'd like to see (in terms of the tau's),$$\hat{\sigma}\centerdot \hat{n}$$The above is the viscous stress (traction) vector at the interface
$$(\hat{\sigma}\centerdot \hat{n})\centerdot \hat{n}$$The above is the normal viscous stress component at the interface
$$\hat{\sigma}\centerdot \hat{n}-((\hat{\sigma}\centerdot \hat{n})\centerdot \hat{n})\hat{n}$$The above is the viscous shear stress at the interface (which must be zero)
Gotcha. So
$$
\sigma \cdot \hat N =
\begin{bmatrix}
\tau_{rr} & \tau_{r\theta} & \tau_{rz}\\
\tau_{r\theta} & \tau_{\theta\theta} & \tau_{\theta z}\\
\tau_{rz} & \tau_{\theta z} & \tau_{zz}
\end{bmatrix}
\cdot
\begin{bmatrix}
R\\
-R_\theta\\
-R_zR
\end{bmatrix}
$$
where below is ##\sigma \cdot \hat N##
Screen Shot 2018-02-16 at 1.36.14 PM.png

and below here is ##((\sigma\cdot\hat N)\cdot\hat N)\hat N##
Screen Shot 2018-02-16 at 1.36.30 PM.png
 

Attachments

  • Screen Shot 2018-02-16 at 1.36.14 PM.png
    Screen Shot 2018-02-16 at 1.36.14 PM.png
    6.4 KB · Views: 417
  • Screen Shot 2018-02-16 at 1.36.30 PM.png
    Screen Shot 2018-02-16 at 1.36.30 PM.png
    10.4 KB · Views: 424
  • #98
How does this look Chet?
 
  • #99
I don't understand the things that are bolded and the things that are not bolded. I get the following for the stress vector:

$$\hat{\sigma}\centerdot \hat{n}=(\sigma_{rr}n_r+\sigma_{r\theta}n_{\theta}+\sigma_{rz}n_z)\hat{r}+(\sigma_{r\theta}n_r+\sigma_{\theta \theta}n_{\theta}+\sigma_{\theta z}n_z)\hat{\theta}+(\sigma_{rz}n_r+\sigma_{\theta z}n_{\theta}+\sigma_{zz}n_z)\hat{z}$$
And, for the normal component of fluid stress at the interface, I get:
$$\hat{n}\centerdot \hat{\sigma}\centerdot \hat{n}=\sigma_{rr}(n_r)^2+\sigma_{\theta \theta}(n_{\theta})^2+\sigma_{zz}(n_z)^2+2\sigma_{r\theta}n_rn_\theta+2\sigma_{rz}n_rn_z+2\sigma_{\theta z}n_{\theta}n_z$$
 
  • #100
Chestermiller said:
I don't understand the things that are bolded and the things that are not bolded.
Yea sorry, it's just how Mathematica outputs the symbols, but there is no significance with bold and unbold letters.

Chestermiller said:
I get the following for the stress vector:

$$\hat{\sigma}\centerdot \hat{n}=(\sigma_{rr}n_r+\sigma_{r\theta}n_{\theta}+\sigma_{rz}n_z)\hat{r}+(\sigma_{r\theta}n_r+\sigma_{\theta \theta}n_{\theta}+\sigma_{\theta z}n_z)\hat{\theta}+(\sigma_{rz}n_r+\sigma_{\theta z}n_{\theta}+\sigma_{zz}n_z)\hat{z}$$
Awesome, that's what I get too (sorry, in the future I'll write everything in PF rather than snippets of Mathematica). It seems from post 97 that what I have as ##\tau_{ij}## you have as ##\sigma_{ij}## and you write ##\hat n = \langle n_r, n_\theta, n_z\rangle## where I wrote ##\hat n = \langle R, -R_\theta, -R R_z \rangle##. So we get the same results.

Chestermiller said:
And, for the normal component of fluid stress at the interface, I get:
$$\hat{n}\centerdot \hat{\sigma}\centerdot \hat{n}=\sigma_{rr}(n_r)^2+\sigma_{\theta \theta}(n_{\theta})^2+\sigma_{zz}(n_z)^2+2\sigma_{r\theta}n_rn_\theta+2\sigma_{rz}n_rn_z+2\sigma_{\theta z}n_{\theta}n_z$$
Ok, I'm getting $$
R^2(\sigma_{rr}-2\sigma_{rz}R_z+\sigma_{zz}R_z^2)-2R(\sigma_{r\theta}-\sigma_{\theta z}R_z)R_\theta+\sigma_{\theta\theta}R_\theta^2
$$
where I've adopted your notation using ##\sigma_{ij}## instead of ##\tau_{ij}##, where the normal vector is written explicitly. I think we're getting the same thing here.
 
  • #101
What's next Chet? Hopefully you're not too bored of this yet.
 
  • #102
joshmccraney said:
What's next Chet? Hopefully you're not too bored of this yet.
OK. I just wanted to make sure we evaluated the normal stress jump across the free surface, including both the pressure and the viscous contribution, and I wanted to show how to get the shear stress components at the free surface so that we could set them equal to zero in the fluid mechanics boundary conditions.

Now, I think we're done with the stress boundary conditions at the free surface, and we're back to trying to figure out how to reduce the equations of continuity and the Navier Stokes equations to dimensionless for for this problem. The game plan is to let the differential equations suggest to us the dimensionless groups to use. It seems like we've gravitated toward using cylindrical coordinates, although we could also do the stress boundary conditions (i.e., what we just did) at the free surface in spherical coordinates. Please write out the equation of continuity and the NS equations for whichever coordinate system you prefer, and with whatever terms you judge can be eliminated for whatever reason.

Chet
 
  • #103
Chestermiller said:
Please write out the equation of continuity and the NS equations for whichever coordinate system you prefer, and with whatever terms you judge can be eliminated for whatever reason.
Chet
Okay, first I'll start by scaling characteristic lengths, velocities, and time. Assuming the wedge length is ##L## we know ##z\sim L##. Conservation of mass in integral form reduces to ##\partial_t A = -\partial_z(Aw)##, where ##A## is the cross section of the wedge. I can show details but I think this is relatively direct. This implies ##t\sim L/w##. I think we can get scaling for ##w## by working with NS.

NS in general vector form is

$$\rho\frac{D \vec u}{Dt} = -\nabla P + \mu\nabla^2\vec u + \rho \vec g.$$

First assume velocity is small, so that non-linear velocity terms vanish. This simplifies the above to

$$\rho\frac{\partial \vec u}{\partial t} = -\nabla P + \mu\nabla^2\vec u + \rho \vec g.$$

Next assume pressure scales according to Young/Laplace equation ##P\sim\sigma/R^2## where ##R## is a characteristic radius and assume gravity scales as ##g##. Assume ##g<<\sigma/(R^2\rho)## (small Bond number). Then NS further reduces to

$$\frac{\partial \vec u}{\partial t} = -\frac{1}{\rho}\nabla P + \nu\nabla^2\vec u.$$

My next approach would be to assume that flow in the ##z## direction dominates over radial and angular velocities, so the vector equation reduces at first order to

$$\frac{\partial w}{\partial t} = -\frac{1}{\rho}\partial_zP + \nu\nabla^2 w.$$

If we assume quasi-steady flow, then the above reduces to

$$\partial_zP = \mu\nabla^2 w.$$

The Laplacian can be divided into three scaled parts: ##1/R^2,1/(R\theta)^2,1/L^2##. I would assume a lubrication approximation: ##L>R\implies 1/L^2\ll 1/R^2##. I'm unsure how to work with ##\theta## other than saying ##\theta\sim\alpha##. Then the Laplacian terms to leading order scale as ##1/R^2,1/(R\alpha)^2##. Which one is dominant would require some physical reasoning. Assuming ##\nabla^2\sim 1/R^2## implies

$$\frac{\sigma}{R^2L} \sim \mu\frac{w}{R^2}\implies\\
w\sim \frac{\sigma}{L\mu} .$$

How does this look so far?
 
  • #104
joshmccraney said:
Okay, first I'll start by scaling characteristic lengths, velocities, and time. Assuming the wedge length is ##L## we know ##z\sim L##. Conservation of mass in integral form reduces to ##\partial_t A = -\partial_z(Aw)##, where ##A## is the cross section of the wedge. I can show details but I think this is relatively direct. This implies ##t\sim L/w##. I think we can get scaling for ##w## by working with NS.

NS in general vector form is

$$\rho\frac{D \vec u}{Dt} = -\nabla P + \mu\nabla^2\vec u + \rho \vec g.$$

First assume velocity is small, so that non-linear velocity terms vanish. This simplifies the above to

$$\rho\frac{\partial \vec u}{\partial t} = -\nabla P + \mu\nabla^2\vec u + \rho \vec g.$$

Next assume pressure scales according to Young/Laplace equation ##P\sim\sigma/R^2## where ##R## is a characteristic radius and assume gravity scales as ##g##. Assume ##g<<\sigma/(R^2\rho)## (small Bond number). Then NS further reduces to

$$\frac{\partial \vec u}{\partial t} = -\frac{1}{\rho}\nabla P + \nu\nabla^2\vec u.$$

My next approach would be to assume that flow in the ##z## direction dominates over radial and angular velocities, so the vector equation reduces at first order to

$$\frac{\partial w}{\partial t} = -\frac{1}{\rho}\partial_zP + \nu\nabla^2 w.$$

If we assume quasi-steady flow, then the above reduces to

$$\partial_zP = \mu\nabla^2 w.$$

The Laplacian can be divided into three scaled parts: ##1/R^2,1/(R\theta)^2,1/L^2##. I would assume a lubrication approximation: ##L>R\implies 1/L^2\ll 1/R^2##. I'm unsure how to work with ##\theta## other than saying ##\theta\sim\alpha##. Then the Laplacian terms to leading order scale as ##1/R^2,1/(R\alpha)^2##. Which one is dominant would require some physical reasoning. Assuming ##\nabla^2\sim 1/R^2## implies

$$\frac{\sigma}{R^2L} \sim \mu\frac{w}{R^2}\implies\\
w\sim \frac{\sigma}{L\mu} .$$

How does this look so far?
Yikes. I'm not so sure I'm comfortable with all the approximations you made. Here are my comments

1. I realize the flow is in a wedge, but I really don't get what you did with the continuity equation.
2. Since the angle of the wedge is fixed, wouldn't it make more sense to use cylindrical coordinates?
3. Since the volume of liquid is constant, wouldn't it make more sense that the characteristic length would be the radius of a sphere formed by the fluid.
4. I don't understand your simplifications of the equation of motion. You seem to have gone to creeping flow in the z direction (presumably the vertical direction). And you seem to be neglecting the components in the other directions.
5. Before we get to the reduction of the equations to dimensionless form, I would first like to agree on the dimensional equations (including boundary conditions). I will then show you the powerful cookbook methodology I learned at Michigan for reducing the equations to dimensionless form.
 
  • #105
Chestermiller said:
Yikes. I'm not so sure I'm comfortable with all the approximations you made. Here are my comments

1. I realize the flow is in a wedge, but I really don't get what you did with the continuity equation.
2. Since the angle of the wedge is fixed, wouldn't it make more sense to use cylindrical coordinates?
3. Since the volume of liquid is constant, wouldn't it make more sense that the characteristic length would be the radius of a sphere formed by the fluid.
4. I don't understand your simplifications of the equation of motion. You seem to have gone to creeping flow in the z direction (presumably the vertical direction). And you seem to be neglecting the components in the other directions.
5. Before we get to the reduction of the equations to dimensionless form, I would first like to agree on the dimensional equations (including boundary conditions). I will then show you the powerful cookbook methodology I learned at Michigan for reducing the equations to dimensionless form.
1. I didn't use continuity in differential form (at least not ##\nabla \cdot \vec u = 0##). I used a control volume approach. Should I not have?
2. I was using cylindrical coordinates (notice my arguments for the Laplacian). But I ended up using just the ##z## direction.
3. Is the volume constant? I suppose we could consider a spreading droplet of water. I was imagining a set up where we could drain fluid at some downstream point, but perhaps we can talk more on this later?
4. Yea, I definitely was assuming creeping flow, and neglected flow in ##r## and ##\theta##.
5. I'd like to learn this! Ok, so what's next? Shall I give it another go or would you like to take over?
 
  • #106
joshmccraney said:
1. I didn't use continuity in differential form (at least not ##\nabla \cdot \vec u = 0##). I used a control volume approach. Should I not have?
2. I was using cylindrical coordinates (notice my arguments for the Laplacian). But I ended up using just the ##z## direction.
3. Is the volume constant? I suppose we could consider a spreading droplet of water. I was imagining a set up where we could drain fluid at some downstream point, but perhaps we can talk more on this later?
4. Yea, I definitely was assuming creeping flow, and neglected flow in ##r## and ##\theta##.
5. I'd like to learn this! Ok, so what's next? Shall I give it another go or would you like to take over?
So you are saying you have a trough with a very viscous fluid flowing down the trough? And no new fluid is being introduced on the high end?
 
  • #107
Chestermiller said:
So you are saying you have a trough with a very viscous fluid flowing down the trough? And no new fluid is being introduced on the high end?
I was assuming the flow was very viscous. Did I enforce that no new fluid is being introduced? If so, this was not my intent (although we could do that too).

So in your analysis, how would you do things?
 
  • #108
joshmccraney said:
I was assuming the flow was very viscous. Did I enforce that no new fluid is being introduced? If so, this was not my intent (although we could do that too).

So in your analysis, how would you do things?
Have you solved this without surface tension yet? If not, what do you think that solution looks like?
 
  • #109
Chestermiller said:
Have you solved this without surface tension yet? If not, what do you think that solution looks like?
By "this" are you referring to the post in 103? If so, well the governing equation looks identical to that of Poiseuille flow, but obviously with a different geometry and BC, and the pressure I don't think would be constant here, though without surface tension then yes.

The way I understand the problem, flow is either driven by capillary forces or gravity (or perhaps both). The significance of each would depend on scaling. What do you think?
 
  • #110
joshmccraney said:
By "this" are you referring to the post in 103? If so, well the governing equation looks identical to that of Poiseuille flow, but obviously with a different geometry and BC, and the pressure I don't think would be constant here, though without surface tension then yes.

The way I understand the problem, flow is either driven by capillary forces or gravity (or perhaps both). The significance of each would depend on scaling. What do you think?
By "this," I meant the overall problem. I have trouble seeing how capillary forces are going to be important unless the wedge angle is very small (and the height of water in the trough is small) or, at the very leading edge of the fluid as it advances in the trough. I'm going to try to set up this problem without surface tension an see where it takes me. I'll assume that the height of fluid in the trough is changing very gradually with axial position along the trough. Is that the kind of approximation you have been using?
 
  • #111
Chestermiller said:
By "this," I meant the overall problem. I have trouble seeing how capillary forces are going to be important unless the wedge angle is very small (and the height of water in the trough is small) or, at the very leading edge of the fluid as it advances in the trough. I'm going to try to set up this problem without surface tension an see where it takes me. I'll assume that the height of fluid in the trough is changing very gradually with axial position along the trough. Is that the kind of approximation you have been using?
I think this thread was started considering capillary-driven flows, where gravity is ignored. There's no induced pressure gradient from external forces and no gravity, so isn't a capillary pressure force the only mechanism for driving flow?

This being said, I like the idea of including inertia! Since gravity is absent, surface tension (and capillarity) is relevant, right? I definitely used length much larger than height. If it's okay with you, can we proceed with surface tension?
 
  • #112
joshmccraney said:
I think this thread was started considering capillary-driven flows, where gravity is ignored. There's no induced pressure gradient from external forces and no gravity, so isn't a capillary pressure force the only mechanism for driving flow?

This being said, I like the idea of including inertia! Since gravity is absent, surface tension (and capillarity) is relevant, right? I definitely used length much larger than height. If it's okay with you, can we proceed with surface tension?
Sorry Josh. I'm totally confused by this. Apparently, I just don't understand the essence of the problem.
 
  • #113
Chestermiller said:
Sorry Josh. I'm totally confused by this. Apparently, I just don't understand the essence of the problem.
We can continue with your interpretation since I enjoy learning from you.

What I was imagining is a low-gravity situation, where the pressure gradient drives flow in a wedge but the pressure gradient is interpreted in the Young-Laplace equation since surface tension is relevant.
 
  • #114
Were you still interested in doing this Chet?
 
  • #115
joshmccraney said:
Were you still interested in doing this Chet?
My energy for doing this has waned. But, here is the game plan I would use.

Assume that the liquid is very viscous and flowing very slowly. Assume that the surface of the liquid is horizontal in the direction perpendicular to the trough axis, so the surface elevation h is a function only of z. Use this to determine the local pressure gradient in the z direction. The shear stress on the fluid flowing down the trough is zero at the free surface, and the cross section of fluid at each axial location is basically half a rhombus. So the local pressure gradient would be the same as if you had a full rhombic closed channel with twice the volumetric flow rate. So, look up the relationship for fully developed laminar flow in a duct of rhombic cross section. Do a differential mass balance on the section of trough between z and z plus delta z to determine the rate of change of the liquid surface height with time as a function of z.
 

Similar threads

  • · Replies 4 ·
Replies
4
Views
3K
  • · Replies 6 ·
Replies
6
Views
2K
  • · Replies 8 ·
Replies
8
Views
2K
Replies
4
Views
2K
  • · Replies 14 ·
Replies
14
Views
3K
  • · Replies 20 ·
Replies
20
Views
3K
  • · Replies 3 ·
Replies
3
Views
2K
  • · Replies 5 ·
Replies
5
Views
2K
  • · Replies 9 ·
Replies
9
Views
4K
  • · Replies 3 ·
Replies
3
Views
2K