A block is released from rest, determine its velocity

Click For Summary

Homework Help Overview

The problem involves a block released from rest, with a focus on determining its velocity upon hitting the floor using the work-energy method. The context includes a spring that is initially undeformed when the block is released.

Discussion Character

  • Exploratory, Conceptual clarification, Mathematical reasoning

Approaches and Questions Raised

  • Participants discuss the validity of assumptions made during integration, particularly regarding constant acceleration. Questions arise about the integration of equations and the implications of constants of integration in the context of the work-energy principle.

Discussion Status

Some participants have provided guidance on the integration process and the derivation of the work-energy principle, while others are exploring different interpretations and clarifications regarding the assumptions and methods used in the problem.

Contextual Notes

There is a mention of confusion regarding the application of calculus in the context of the problem, indicating a potential gap in understanding that may affect the discussion.

Alexanddros81
Messages
177
Reaction score
4

Homework Statement


14.10 Solve Prob. 12.47 by the work-energy method

12.47 When the 1.8-kg block is in the position shown, the attached spring is
undeformed. If the block is released from rest in this position, determine its velocity
when it hits the floor

Fig P12_47.jpg


Homework Equations

The Attempt at a Solution


Here is my solution to both 12.47 and 14.10.
I get in 14.10 the correct answer but I am confused with 12.47. Is it correct?
Pytels_Dynamics109.jpg
Pytels_Dynamics108.jpg
 

Attachments

  • Pytels_Dynamics108.jpg
    Pytels_Dynamics108.jpg
    19.3 KB · Views: 665
  • Pytels_Dynamics109.jpg
    Pytels_Dynamics109.jpg
    19.7 KB · Views: 580
  • Fig P12_47.jpg
    Fig P12_47.jpg
    4 KB · Views: 674
Physics news on Phys.org
When you wrote
upload_2017-12-18_13-7-12.png

you assumed ##\int a dx = a \Delta x##. Is this true if the acceleration is not constant?

What is the main topic of chapter 12?
 

Attachments

  • upload_2017-12-18_13-7-12.png
    upload_2017-12-18_13-7-12.png
    3.5 KB · Views: 518
Pytels_Dynamics111.jpg


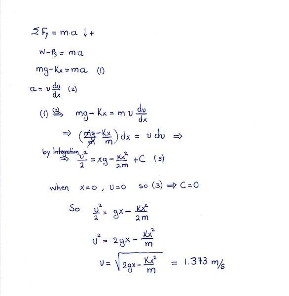
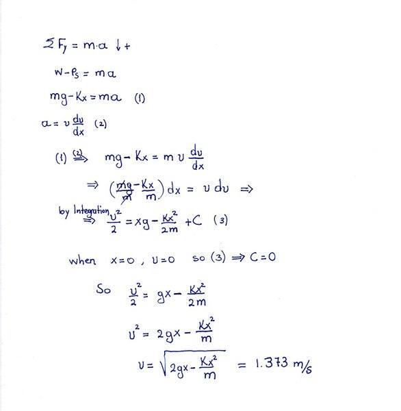
Hi! After reading a sample problem of the book I came up with the above solution.
I have a question though: If I integrate both sides of the equation just above equation (3)
shouldn't I be getting on both sides a constant C that cancels out?
 

Attachments

  • Pytels_Dynamics111.jpg
    Pytels_Dynamics111.jpg
    18.4 KB · Views: 994
Alexanddros81 said:
View attachment 217021
I have a question though: If I integrate both sides of the equation just above equation (3)
shouldn't I be getting on both sides a constant C that cancels out?
Each side of the equation would have its own constant of integration. You can combine the two constants into one constant. Then, this constant is determined by the initial conditions as you have done.

Your work here is essentially the derivation of the work-energy principle for this particular problem.
 
  • Like
Likes   Reactions: Alexanddros81
Ok thanks for that.
I need to revise my calculus.

Alexandros
 

Similar threads

Replies
24
Views
4K
Replies
29
Views
3K
Replies
9
Views
2K
Replies
1
Views
1K
  • · Replies 33 ·
2
Replies
33
Views
2K
Replies
17
Views
2K
Replies
61
Views
4K
  • · Replies 15 ·
Replies
15
Views
4K
  • · Replies 1 ·
Replies
1
Views
4K
  • · Replies 14 ·
Replies
14
Views
2K