A problem in Inverse Circular Functions in Trigonometry

Click For Summary

Homework Help Overview

The discussion revolves around solving the equation involving inverse circular functions: $$ \sin ^{-1} {x} +\sin ^{-1} {(1-x)} =\cos ^{-1} {x} $$, with potential solutions noted as ##0## or ##\frac{1}{2}##. The subject area is trigonometry, specifically focusing on inverse functions.

Discussion Character

  • Mixed

Approaches and Questions Raised

  • Participants express difficulty in simplifying a complex expression under a square root. There are suggestions to take the cosine of both sides and to use trigonometric identities to simplify the problem. Some participants emphasize the importance of typing out the problem for clarity.

Discussion Status

The discussion is ongoing, with various participants offering guidance on how to approach the problem. There is acknowledgment of the need for clearer communication, particularly regarding the presentation of the problem. Some participants are exploring different interpretations of the equation and its components.

Contextual Notes

There are mentions of the policy regarding the presentation of homework problems, emphasizing the need for clarity and legibility in submissions. Participants also note the emotional context affecting communication, with one expressing frustration over a recent interaction with a teacher.

Wrichik Basu
Science Advisor
Insights Author
Gold Member
Messages
2,188
Reaction score
2,694

Homework Statement

:[/B]

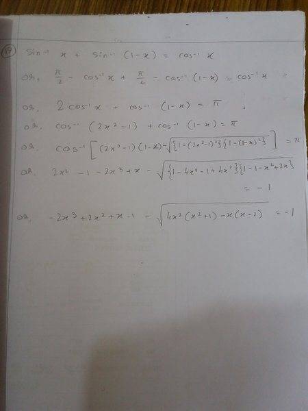
Solve for ##x ##: $$ \sin ^{-1} {x} +\sin ^{-1} {(1-x)} =\cos ^{-1} {x} $$
Answer given: ##0## or ##\frac {1}{2}##.

Homework Equations

:[/B]

All relevant formulae on inverse circular functions may be used.

The Attempt at a Solution

:[/B]

Please see the pic below.

1495443066023-772311818.jpg


I can't solve with the huge expression under root. How do I simplify that?
 
Physics news on Phys.org
Wrichik Basu said:

Homework Statement

:[/B]

Solve for ##x ##: $$ \sin ^{-1} {x} +\sin ^{-1} {(1-x)} =\cos ^{-1} {x} $$
Answer given: ##0## or ##\frac {1}{2}##.

Homework Equations

:[/B]

All relevant formulae on inverse circular functions may be used.

The Attempt at a Solution

:[/B]

Please see the pic below.

View attachment 204003

I can't solve with the huge expression under root. How do I simplify that?
It is impossible to read your picture. If you want help from others, take the effort to type in your work.
Anyway, take the cosine of both sides, and replace cos(θ) with ##\sqrt{1-\sin^2(θ)}##
 
Wrichik Basu said:
I can't solve with the huge expression under root. How do I simplify that?
First you want it typed so others can read it.
Then you want it correct.
Under square root in last line you should have $$\left [ 4x^2(1-x^2)\right] * \left[ -x(x-2)\right] $$and then you want to solve.
 
From the fourth line, you get cos-1(2x2-1) = π - cos-1(1-x)
Take the cosine of both sides. Use the addition formula for cosine: cos(a-b)= cos(a)cos(b)+sin(a)sin(b). You get a simple quadratic equation for x, without complicated square roots.
 
BvU said:
First you want it typed so others can read it.
Then you want it correct.
Under square root in last line you should have $$\left [ 4x^2(1-x^2)\right] * \left[ -x(x-2)\right] $$and then you want to solve.
I never said I wanted it to be typed. I did not have the copy at hand to change the image. I can't always sit with the copy, waiting to see if others can read from the image. I can read from the image very well. Perhaps you can't understand my handwriting. That's a different issue. I'll change the pic once I reach home.
 
ehild said:
From the fourth line, you get cos-1(2x2-1) = π - cos-1(1-x)
Take the cosine of both sides. Use the addition formula for cosine: cos(a-b)= cos(a)cos(b)+sin(a)sin(b). You get a simple quadratic equation for x, without complicated square roots.
I'll try that, but wait a bit. I'll try once I reach home.
 
Wrichik Basu said:
I never said I wanted it to be typed. I did not have the copy at hand to change the image. I can't always sit with the copy, waiting to see if others can read from the image. I can read from the image very well. Perhaps you can't understand my handwriting. That's a different issue. I'll change the pic once I reach home.
It is the policy here, that we type in the problems and solutions. It is very impolite to force the helpers to read blurry pictures of gray writing on gray background. (Quite many helpers are old people. I am 75)
Read https://www.physicsforums.com/threads/guidelines-for-students-and-helpers.686783/ "Executive Summary"
 
Last edited:
Wrichik Basu said:
I never said I wanted it to be typed. I did not have the copy at hand to change the image. I can't always sit with the copy, waiting to see if others can read from the image. I can read from the image very well. Perhaps you can't understand my handwriting. That's a different issue. I'll change the pic once I reach home.

Many helpers say to themselves "If this person cannot be bothered to type out the work (diagrams excepted) I cannot be bothered to help". Like it or not, that is reality.
 
ehild said:
It is the policy here, that we type in the problems and solutions. It is very impolite to force the helpers to read blurry pictures of gray writing on gray background. (Quite many helpers are old people. I am 75)
Read https://www.physicsforums.com/threads/guidelines-for-students-and-helpers.686783/ "Executive Summary"

Ray Vickson said:
Many helpers say to themselves "If this person cannot be bothered to type out the work (diagrams excepted) I cannot be bothered to help". Like it or not, that is reality.
Give me some time, I'll type it out, and pardon me for my behaviour. I was actually very angry with one of my teachers who scolded me even though I did nothing wrong, but only pointed out his error. I had lost my mind. Sorry, please give me some time.
 
  • Like
Likes   Reactions: SammyS
  • #10
Well, I'm only 68, so I'll have a go at reading the image.
You were doing fine until the last line. You've done something weird in expanding the terms inside the square root. You should e.g. end up with being able to remove a factor x (x=0 being a solution).
 

Similar threads

  • · Replies 6 ·
Replies
6
Views
2K
  • · Replies 7 ·
Replies
7
Views
3K
  • · Replies 15 ·
Replies
15
Views
3K
  • · Replies 6 ·
Replies
6
Views
2K
  • · Replies 7 ·
Replies
7
Views
2K
Replies
15
Views
2K
  • · Replies 3 ·
Replies
3
Views
2K
  • · Replies 6 ·
Replies
6
Views
3K
Replies
3
Views
2K
  • · Replies 3 ·
Replies
3
Views
2K