A question on proper time in special relativity

Click For Summary

Discussion Overview

The discussion revolves around the concept of proper time in special relativity, particularly focusing on its calculation along timelike worldlines between events. Participants explore the implications of proper time in different frames and the relationship between spatial and temporal coordinates in spacetime diagrams.

Discussion Character

  • Conceptual clarification
  • Debate/contested
  • Mathematical reasoning

Main Points Raised

  • Some participants assert that proper time is calculated along the timelike worldline between two events, implying that in a specific frame, the spatial separation can be zero.
  • Others challenge the notion that spatial coordinates must be set to zero, clarifying that it is possible to have a frame where the events are at the same location, but this does not mean they must lie on the time axis.
  • One participant expresses confusion about the meaning of setting primed spatial coordinates to zero when calculating proper time.
  • Another participant explains that the proper time is defined as the coordinate time in the frame where the object is at rest, emphasizing the invariance of the spacetime interval across frames.
  • There is a discussion about whether it is always possible to arrange the prime frame such that two timelike separated events lie on a line parallel to the primed time axis, with some affirming this is true for timelike events but not for spacelike or null events.
  • Participants discuss the nature of lightcones, noting that there are future and past lightcones associated with events, and clarify the implications of timelike and spacelike separations regarding causal connections.

Areas of Agreement / Disagreement

Participants express both agreement and disagreement on various points, particularly regarding the interpretation of proper time, the conditions under which events can be considered causally connected, and the nature of lightcones. The discussion remains unresolved on several conceptual nuances.

Contextual Notes

Some statements made by participants highlight the complexity of defining proper time and the conditions under which different frames can be analyzed. There are unresolved aspects concerning the mathematical representation of worldlines and the implications of frame changes.

user1139
Messages
71
Reaction score
8
Homework Statement:: This isn't a homework but more of a conceptual question.
Relevant Equations:: Proper time, ##\tau##

Simply put, the proper time between two events as observed in an unprimed frame is calculated along the timelike worldline between the two events. This implies that the spatial primed spatial coordinates are zero which further implies that only the spatial primed time coordinates remain.

With the above, here are my questions:

On the spacetime diagram, does it mean that the two events will then always lie on the primed time axis? What if in the unprimed frame, the two events are situated such that the same two events do not lie on the primed time axis only? How should the proper time be calculated then?
 
Physics news on Phys.org
Thomas1 said:
Simply put, the proper time between two events as observed in an unprimed frame is calculated along the timelike worldline between the two events.
Corrected that for you. Proper time is analogous to the length of a worldline, and the length is the length whatever frame you use.
Thomas1 said:
This implies that the spatial primed spatial coordinates are zero which further implies that only the spatial primed time coordinates remain.
This doesn't make sense, even dropping the two extraneous "spatials". It is true that for any two timelike separated events there exists a frame in which their spatial separation is zero and the coordinate time between them is equal to the proper time between them. This doesn't mean that only the time coordinates remain.
Thomas1 said:
On the spacetime diagram, does it mean that the two events will then always lie on the primed time axis? What if in the unprimed frame, the two events are situated such that the same two events do not lie on the primed time axis only?
If the two events are timelike separated there exists a frame in which they are in the same place, but this doesn't mean that they must lie on the time axis, if that's what you are asking. And they are in different places in every frame except one, anyway.
Thomas1 said:
How should the proper time be calculated then?
Do you know the formula for calculating the proper time between two events?
 
Yes, I know the formula for calculating proper time but I am confused as to what it means to set the primed spatial coordinates to zero when finding the proper time.

The attached photo is what I am referring to when I mention primed and unprimed coordinates.

Capture.PNG
 
They aren't setting the coordinates to zero. They're observing that if the events are at the same place then the difference between their spatial coordinates is zero. ##x'## can be whatever it wants, as long as it's the same for both so that ##\mathrm{d}x'=0##.
 
  • Like
Likes   Reactions: Dale
Oh so does that mean that on the spacetime diagram the two events will be on the same line that is parallel to the primed time coordinates but it need not be the case that ##x'=0##?
 
  • Like
Likes   Reactions: Dale
Yes.

Lorentz transforms are closely analogous to rotations. If you rotate a line so that it lies parallel to the ##y## axis then ##\Delta y## between the ends of the line is equal to its length, whether it's on the axis or not. The same applies to worldlines between events - if you Lorentz transform them so that they lie parallel to the ##t'## axis then ##\Delta t'## between the ends of the worldline is equal to its proper time, whether it's on the axis or not.
 
I see. Does the spacetime diagram scenario we talked about also imply that it is always possible to set up the prime frame such that the two events lie on a line parallel to ##t'##? And if so then the usual primed axes we see need not always be the case?

By usual primed axes I mean the following:

256px-MinkScale.svg.png
 
Thomas1 said:
Yes, I know the formula for calculating proper time but I am confused as to what it means to set the primed spatial coordinates to zero when finding the proper time.

The attached photo is what I am referring to when I mention primed and unprimed coordinates.

View attachment 284706
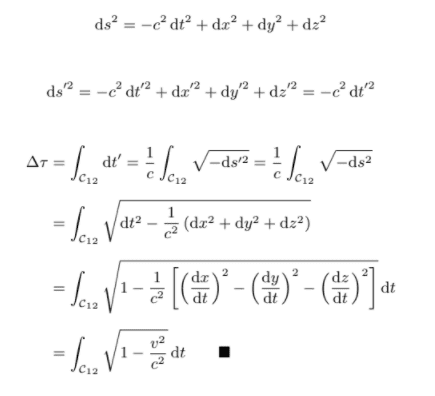
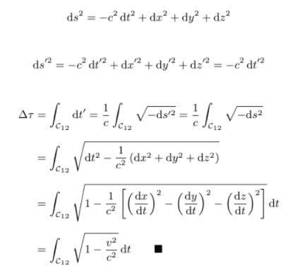
That's defining proper time as coordinate time in the primed frame where the object is at rest. And, owing to the invariance of the spacetime interval, proper time is seen to be the length of the spacetime interval in any, arbitrary frame. That's the first line.

The rest is some mathematics to show that it is the integral of ##\frac 1 \gamma## (in any frame).

Note that everything here holds where ##v## is a function of ##t##. And we have:
$$\Delta \tau = \int_c \frac 1 {\gamma(t)} dt$$
So, in your unprimed ##t-x## spacetime diagram, the object can have any timelike motion.
 
Thomas1 said:
I see. Does the spacetime diagram scenario we talked about also imply that it is always possible to set up the prime frame such that the two events lie on a line parallel to ##t'##?
If the two events are timelike separated, yes. If they are null or spacelike separated, no.
Thomas1 said:
And if so then the usual primed axes we see need not always be the case?
The green axes aren't necessarily at that angle, if that's what you mean. The ##ct'## axis will always be timelike, which means that on a Minkowski diagram it will always lie less than (never equal to) ##\pm 45^\circ## from the ##ct## axis. The angle it makes with the time axis will always be the same as the angle the ##x'## axis makes with the ##x## axis.
 
  • #10
Is it then correct to say that:

a) Two timelike separated events are found within the lightcone and the worldline connecting the two events is a timelike worldline. The timelike worldline is where all of the spacetime points on it can be arranged to represent a sequence of events all taking place at the same place but at different times. This will then imply that timelike separated events are causally connected.

b) For two spacelike separated events, they are found outside the lightcone and the worldline connecting the two events is a spacelike worldline. The spacelike worldline is where all of the spacetime points on it can be arranged to represent a sequence of events all taking place at the same time but at different places. This will then imply that spacelike separated events are not causally connected.
 
  • Like
Likes   Reactions: Dale
  • #11
Thomas1 said:
Two timelike separated events are found within the lightcone
Not quite. There is no "the" lightcone. There are two lightcones associated with every event in spacetime - a future lightcone and a past lightcone. For two timelike separated events the second is in the future lightcone of the first and the first is in the past lightcone of the second.
Thomas1 said:
The timelike worldline is where all of the spacetime points on it can be arranged to represent a sequence of events all taking place at the same place but at different times.
Not exactly. The timelike worldline is the set of events on a straight line between the two events (warning: you can have curved worldlines, but for the time being we're only talking about straight lines). You can find a frame where all events on a straight worldline are all in the same place, yes, but I wouldn't phrase it the way you have. Your way kind of implies that you can move events, but a frame change isn't moving events (that isn't possible) but rather changing the axes.
Thomas1 said:
This will then imply that timelike separated events are causally connected.
They can be causally connected, to be pedantic. The fact that I wrote this means that you can read it at an event timelike separated from the one I'm at. But you could have chosen not to read, in which case I haven't affected you although in principle I could have done.
Thomas1 said:
For two spacelike separated events, they are found outside the lightcone and the worldline connecting the two events is a spacelike worldline. The spacelike worldline is where all of the spacetime points on it can be arranged to represent a sequence of events all taking place at the same time but at different places.
Ditto previous comments about lightcones and frame changes.
Thomas1 said:
This will then imply that spacelike separated events are not causally connected.
Correct.

Note that there are also lightlike (a.k.a. null) separated events, which lie on, not in or outside, the future/past lightcone of the other.
 
  • Like
Likes   Reactions: Dale
  • #12
After reading your comments, I tried to apply them to understanding an inertial observer and an observer with proper acceleration in Minkowski spacetime in order to study the Unruh Effect. However the more I try, the more confused I get.

I’m confused about the following:

1) How do I go about understanding the world lines and light cones of events for these two observer?

2) Why is it that the proper time of the accelerated observer can be related to the inertial observer?
 
  • #13
Thomas1 said:
After reading your comments, I tried to apply them to understanding an inertial observer and an observer with proper acceleration in Minkowski spacetime in order to study the Unruh Effect. However the more I try, the more confused I get.

I’m confused about the following:

1) How do I go about understanding the world lines and light cones of events for these two observer?

2) Why is it that the proper time of the accelerated observer can be related to the inertial observer?
You should post this as a homework problem, perhaps. In any case, you need to post more precisely what it is that you cannot calculate.
 
  • #14
I’m trying to understand the concept of world lines, timelike separated events and light cones as applied to an inertial and an accelerated observer in Minkowski spacetime.

This is because I don’t understand how is it possible that the proper time of the accelerated observer can be related to the coordinate time of an inertial observer when the two observers are spacelike separated.
 
  • #15
Thomas1 said:
I’m trying to understand the concept of world lines, timelike separated events and light cones as applied to an inertial and an accelerated observer in Minkowski spacetime.
Right, but that's like saying "I'm trying to learn differential calculus". That's not a specific problem. Short of posting a recommended text-book on SR, what can I post here to help you with something as broad as that?

Thomas1 said:
This is because I don’t understand how is it possible that the proper time of the accelerated observer can be related to the coordinate time of an inertial observer when the two observers are spacelike separated.
This makes no sense. Observers are not spacelike separated; events may be spacelike separated.

In Minkowski space, the entire universe is described in the coordinates of any inertial reference frame. In other words, inertial reference frames are global.

You clearly have some fundamental misunderstandings of these concepts. You need to go back, revise the concepts and try to iron out the misconceptions.
 
  • #16
Thomas1 said:
This is because I don’t understand how is it possible that the proper time of the accelerated observer can be related to the coordinate time of an inertial observer when the two observers are spacelike separated.
You are mixing up frames and observers. Easy enough, since they are often conflated, but they are not the same thing.

An observer is at a place in space and follows some worldline through spacetime. They do not have a coordinate time, only their own proper time, the interval along their own worldline.

A frame is an infinite family of observers, one at every place in space, all following parallel worldlines, all carrying a three number spatial coordinate, and all agreeing a mechanism for when they should zero their watches. Then the proper time since zero of one of this family is this frame's coordinate time at their location.

This family of observers is usually only notional, but it answers your problem: there's always a member of the family at any event whose watch and location you can read. In practice, you don't have infinitely many observers. You have a few who are equipped with binoculars and radar and what have you and calculate the coordinates of an event after the fact based on their observations.

This last point crosses over with PeroK's point. Since observers are worldlines, they cannot be spacelike or timelike separated in flat spacetime. Events on their worldline can be spacelike separated, but an event on your worldline now is inside the past lightcone of an event in my future - which is a high falutin' way of saying I can't see what you are doing now, but I will be able to see it a short time later (assuming there is nothing blocking line of sight etcetera etcetera).
 
Last edited:
  • Like
Likes   Reactions: cianfa72, Pyter and PeroK
  • #17
Thomas1 said:
I’m trying to understand the concept of world lines, timelike separated events and light cones as applied to an inertial and an accelerated observer in Minkowski spacetime.
A worldline is simply a curve in spacetime. For example, an observer’s worldline is the curve representing all of the events at which the observer was (or is or will be) located.

Before going into timelike and light cones, it is probably better to get a solid understanding of the spacetime interval itself.

The spacetime interval is given by ##ds^2=-c^2 d\tau^2=-c^2 dt^2+dx^2+dy^2+dz^2##. Hopefully it is at least plausible that this represents a sort of “distance” in spacetime. When ##ds^2>0## the interval is called “spacelike”, and when ##d\tau^2>0## the interval is called “timelike”, and if ##ds^2=d\tau^2=0## the interval is called “lightlike” or “null”.

For every event on every worldline we can construct a tangent vector. This is exactly analogous to the tangent vector for an ordinary curve in space. If that tangent vector is timelike at every event on a worldline then the worldline is timelike. An accelerated observer therefore has a timeline worldline.
 
  • #18
As an aside, I've always found the notations ds² and dτ² mighty confusing: you see them squared and you assume they're always >= 0, while they can actually be negative. It would be clearer to write them as <ds, ds> or something along these lines.
 
  • #19
Pyter said:
As an aside, I've always found the notations ds² and dτ² mighty confusing: you see them squared and you assume they're always >= 0, while they can actually be negative. It would be clearer to write them as <ds, ds> or something along these lines.
The ds can become imaginary and you can call it only "proper time" dτ, as long it is real and not 0. I don't see a problem with it. Under this condition:

dτ² = -ds² for (-+++) convention
dτ² = +ds² for (+---) convention
 
Last edited:
  • #20
I'd define "proper time" exclusively as a quantity parametrizing a time-like world line, which physically can describe the world line of a massive particle. Then all these confusions in this thread do not occur. It's called "proper time", because it's the time an (ideal) clock fastened to the particle shows. For a time-like world line by definition
$$\mathrm{d} \tau=\frac{1}{c} \sqrt{\eta_{\mu \nu} \mathrm{d} x^{\mu} \mathrm{d} x^{\nu}},$$
using the west-coast-metric convention, i.e., (+---). By definition ##\mathrm{d} \tau## is thus a real and positive quantity.
 
  • Like
Likes   Reactions: SiennaTheGr8
  • #21
Sagittarius A-Star said:
The ds can become imaginary
Never heard of that. AFAIK the only advocate of imaginary numbers in SR was Poincaré, but they decided to drop them later on.
 
  • #22
It's much ado about nothing because ##ds^2## is merely notation. In co-ordinate basis ##g = g_{\mu \nu} dx^{\mu} \otimes dx^{\nu}## which is commonly abbreviated to ##ds^2 = g_{\mu \nu} dx^{\mu} dx^{\nu}##, i.e. omitting "##\otimes##" and using the notation ##ds^2## instead of ##g## to, as Wald puts it, convey the "intuitive flavour" of an infinitesimal squared distance being determined by the coordinate separations.

In other words it's not the square of a number, just another symbol for ##g## [i.e. ##ds^2(u,v) = g(u,v)##].
 
  • Like
Likes   Reactions: cianfa72, PeroK and Dale
  • #23
As ergospherical says, ##ds^2## shouldn't be taken too literally as "a thing squared" (Carroll agrees with Wald, if memory serves). Generally if you need to take the square root (to integrate and get proper time or spatial distance for example), take ##\sqrt{|ds^2|}##.
 
  • Like
Likes   Reactions: ergospherical
  • #24
vanhees71 said:
I'd define "proper time" exclusively as a quantity parametrizing a time-like world line
I would also. I don’t know if there is an authoritative source for that approach, but that has always been my understanding and approach.
 
  • #25
Ibix said:
##ds^2## shouldn't be taken too literally as "a thing squared" ##.
I know, but every time I have to remember that even though it's the same symbol at the denominator of a second derivative, for instance, in the SR context has another meaning.
 
  • #26
Dale said:
I would also. I don’t know if there is an authoritative source for that approach, but that has always been my understanding and approach.
We don't need any authority in physics. It simply only makes sense for time-like curves! I don't know any textbook or paper, where it's used with other meaning.
 
  • Like
Likes   Reactions: robphy and Dale
  • #27
vanhees71 said:
Dale said:
vanhees71 said:
I'd define "proper time" exclusively as a quantity parametrizing a time-like world line

I would also. I don’t know if there is an authoritative source for that approach, but that has always been my understanding and approach.

We don't need any authority in physics. It simply only makes sense for time-like curves! I don't know any textbook or paper, where it's used with other meaning.

The authority might be one who came up with the term "proper time" (translated from the original)

Minkowski(1908) said:
Let us now imagine a worldpoint [itex]P(x, y, z, t)[/itex] through which the worldline of a substantial point is passing, then the magnitude of the timelike vector dx, dy, dz, dt along the line will be
[tex]d\tau = \frac{1}{c}\sqrt{ c^2\ dt^2 − dx^2 − dy^2 − dz^2}.[/tex]
The integral[itex]\int d\tau = \tau[/itex] of this magnitude, taken along the worldline from any fixed starting point [itex]P_0[/itex] to the variable end point P, we call the proper time of the substantial point at P.

https://www.minkowskiinstitute.org/mip/MinkowskiFreemiumMIP2012.pdf#page=57
(on text page 47, pdf-page 57 from this translation)
 
  • Like
  • Informative
Likes   Reactions: vanhees71, dextercioby and Dale
  • #28
robphy said:
The authority might be one who came up with the term "proper time" (translated from the original)
https://www.minkowskiinstitute.org/mip/MinkowskiFreemiumMIP2012.pdf#page=57
(on text page 47, pdf-page 57 from this translation)
H. Minkowski also proposed to shift the "i" issue from the spacetime interval to the unit system by defining the ratio between the unit of distance and the unit of time to be imaginary:
$$3 \cdot 10^5 \ km = \sqrt{-1} \ seconds$$
Source: same link, page 50, PDF page 60:
https://www.minkowskiinstitute.org/mip/MinkowskiFreemiumMIP2012.pdf#page=60

But this proposal is not accepted today. Maybe, because it would only shift the "i" issue from the spacetime interval (were it does not harm) to everywere else in physics.
 
  • #29
Sagittarius A-Star said:
H. Minkowski also proposed to shift the "i" issue from the spacetime interval to the unit system by defining the ratio between the unit of distance and the unit of time to be imaginary:
$$3 \cdot 10^5 \ km = \sqrt{-1} \ seconds$$
Source: same link, page 50, PDF page 60:
https://www.minkowskiinstitute.org/mip/MinkowskiFreemiumMIP2012.pdf#page=60

But this proposal is not accepted today. Maybe, because it would only shift the "i" issue from the spacetime interval (were it does not harm) to everywere else in physics.

True, but like lots of things in physics, some ideas persist and some don't.
The shift to "i" is a convention.

Ok, Here's something a little more recent

Penrose(1972-Techniques of Differential Topology in Relativity-p53) said:
7.1 Let [itex]\gamma[/itex] be a causal trip. Define the length (i.e., "proper time")
of [itex]\gamma[/itex] to be:
[tex]\ell(\gamma)=\sum_{i=1}^k \{ \Phi(p_{i-1},p_i) \}^{1/2}[/tex]
where successive segments of [itex]\gamma[/itex] are [itex]p_0p_1[/itex], [itex]p_1p_2[/itex], [itex]\cdots[/itex][itex]p_{k-1}p_k[/itex] (each segment [itex]p_{i-1}p_i[/itex]
for definiteness, lying within a simple region [itex]N_i[/itex]) and where [itex]\Phi[/itex] is the world function
defined in 2.13. (We have [itex]\Phi(p_{i-1},p_i)\geq 0[/itex] since [itex]p_{i-1},p_i[/itex] is causal.) This definition
simply assigns the obvious meaning of length, according to the space-time metric,
to any causal trip. Clearly [itex]\ell(\gamma) > 0[/itex] unless [itex]\gamma[/itex] consists entirely of null segments.

2.13. Definition. Let N be a simple region and define
the world-function [itex]\Phi: N\times N \rightarrow R[/itex] by [itex]\Phi(x,y)=g(\exp_x^{-1}(y),\exp_x^{-1}(y))[/itex]; in other words,
[itex]\Phi(x,y)[/itex] is the squared length of the geodesic [itex]xy[/itex]. Clearly [itex]\Phi(x,y)=\Phi(y,x)[/itex] and is
positive, negative or zero according as [itex]xy[/itex] is timelike, spacelike or null.

Maybe I can find one from 2021.
 
  • #30
Sagittarius A-Star said:
H. Minkowski also proposed to shift the "i" issue from the spacetime interval to the unit system by defining the ratio between the unit of distance and the unit of time to be imaginary:
$$3 \cdot 10^5 \ km = \sqrt{-1} \ seconds$$
Source: same link, page 50, PDF page 60:
https://www.minkowskiinstitute.org/mip/MinkowskiFreemiumMIP2012.pdf#page=60

But this proposal is not accepted today. Maybe, because it would only shift the "i" issue from the spacetime interval (were it does not harm) to everywere else in physics.

If general relativity had not been discovered, then the +--- or -+++ may not have happened. In the late 20th century and even 21st century, there are still books on classical electrodynamics or quantum electrodynamics opting for the ##x_4 = ict##, and I wonder why the publishers still accept them.
 

Similar threads

  • · Replies 9 ·
Replies
9
Views
3K
  • · Replies 31 ·
2
Replies
31
Views
3K
  • · Replies 17 ·
Replies
17
Views
3K
  • · Replies 47 ·
2
Replies
47
Views
3K
  • · Replies 9 ·
Replies
9
Views
988
  • · Replies 32 ·
2
Replies
32
Views
3K
  • · Replies 6 ·
Replies
6
Views
942
  • · Replies 12 ·
Replies
12
Views
1K
  • · Replies 54 ·
2
Replies
54
Views
4K
  • · Replies 4 ·
Replies
4
Views
8K