Angular momentum commutation relation, extra terms?

Click For Summary

Homework Help Overview

The discussion revolves around the commutation relation between the x and y components of angular momentum, defined as L = r × P. Participants are exploring the complexity of the terms that arise when calculating this relation.

Discussion Character

  • Conceptual clarification, Mathematical reasoning, Assumption checking

Approaches and Questions Raised

  • The original poster attempts to compute the angular momentum components and apply them to the commutation relation, noting complications with extra terms. They question why there are five terms instead of four when multiplying out the brackets.
  • Another participant suggests that one of the terms can be rewritten using the product rule for differentiation, which introduces additional terms.

Discussion Status

The discussion is ongoing, with participants providing insights into the derivation process. Some guidance has been offered regarding the rewriting of terms, but there is no explicit consensus on the resolution of the original poster's question about the extra terms.

Contextual Notes

Participants are working within the constraints of the problem as posed, with no external equations provided. The original poster references a source for their derivation, indicating a reliance on existing literature for clarification.

rwooduk
Messages
757
Reaction score
59

Homework Statement


What is the commutation relation between the x and y components of angular momentum L = r X P

Homework Equations


None.

The Attempt at a Solution


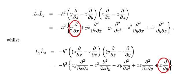
I do r X p and get the angular momentum componants:[tex]L_{x} = (-i \hbar) (y \frac{d}{dz} - z \frac{d}{dy})[/tex]
[tex]L_{y} = (-i \hbar) (z \frac{d}{dx} - x \frac{d}{dz})[/tex]
[tex]L_{z} = (-i \hbar) (x \frac{d}{dy} - y \frac{d}{dx})[/tex]

then when I attempt to put into the commutation relation [Lx,Ly] it comes out very complicated.

My question:

I found a derivation BUT it has extra terms in it (circled in red)

9EVMLQo.jpg


Why are there 5 terms when there should only be 4 when multiplying out 2 brackets? It's important because those 2 extra terms enable the correct solution. Or have I missed something?

Thankyou for any help in advance.

Source of derivation: http://www2.ph.ed.ac.uk/~ldeldebb/docs/QM/lect8.pdf
 
Physics news on Phys.org
rwooduk said:

Homework Statement


What is the commutation relation between the x and y components of angular momentum L = r X P

Homework Equations


None.

The Attempt at a Solution


I do r X p and get the angular momentum componants:[tex]L_{x} = (-i \hbar) (y \frac{d}{dz} - z \frac{d}{dy})[/tex]
[tex]L_{y} = (-i \hbar) (z \frac{d}{dx} - x \frac{d}{dz})[/tex]
[tex]L_{z} = (-i \hbar) (x \frac{d}{dy} - y \frac{d}{dx})[/tex]

then when I attempt to put into the commutation relation [Lx,Ly] it comes out very complicated.

My question:

I found a derivation BUT it has extra terms in it (circled in red)

9EVMLQo.jpg


Why are there 5 terms when there should only be 4 when multiplying out 2 brackets? It's important because those 2 extra terms enable the correct solution. Or have I missed something?

Thankyou for any help in advance.

Source of derivation: http://www2.ph.ed.ac.uk/~ldeldebb/docs/QM/lect8.pdf

There are four terms when you multiply the brackets. However, one of them can be rewritten with two terms, namely
$$
y\partial_z z \partial_x = y \partial_x + yz \partial_z \partial_x.
$$
This is just the product rule for differentiation.
 
Orodruin said:
There are four terms when you multiply the brackets. However, one of them can be rewritten with two terms, namely
$$
y\partial_z z \partial_x = y \partial_x + yz \partial_z \partial_x.
$$
This is just the product rule for differentiation.

thats great, many thanks for your help!
 
Just to complete this thread, this derivation is MUCH easier using commutators! Here's an excellent web page detailing the process:

http://physicspages.com/2011/07/19/angular-momentum-commutators/
 

Similar threads

  • · Replies 5 ·
Replies
5
Views
3K
  • · Replies 2 ·
Replies
2
Views
2K
Replies
3
Views
2K
  • · Replies 6 ·
Replies
6
Views
2K
  • · Replies 2 ·
Replies
2
Views
2K
  • · Replies 4 ·
Replies
4
Views
2K
  • · Replies 4 ·
Replies
4
Views
1K
  • · Replies 5 ·
Replies
5
Views
2K
  • · Replies 17 ·
Replies
17
Views
2K
Replies
12
Views
3K