Average Speed for Maxwell's Distribution of Molecular Speed

Click For Summary
SUMMARY

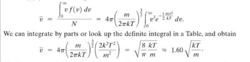
The discussion focuses on calculating the average speed of molecules using the Maxwell-Boltzmann distribution, specifically referencing the integration by parts method as outlined in Giancoli's 4th edition, page 481. The integration involves the equation ∫_0^{∞}v^3e^{-av^2}dv, which simplifies to 1/(2a^2) resulting in 2k^2T^2/m^2. The integration by parts technique is crucial for solving this integral, where u = x^2 and dv = x e^{-x^2}dx are identified for the process.

PREREQUISITES
  • Understanding of the Maxwell-Boltzmann distribution
  • Familiarity with integration techniques, specifically integration by parts
  • Knowledge of thermodynamic concepts such as temperature (T) and Boltzmann's constant (k)
  • Basic calculus skills, particularly with improper integrals
NEXT STEPS
  • Study the derivation of the Maxwell-Boltzmann distribution in statistical mechanics
  • Practice integration by parts with various functions to strengthen calculus skills
  • Explore applications of the Maxwell-Boltzmann equation in real-world scenarios
  • Learn about the implications of molecular speed distributions in kinetic theory
USEFUL FOR

Students and professionals in physics, particularly those studying thermodynamics and statistical mechanics, as well as anyone interested in the mathematical techniques used in physical chemistry.

RaulTheUCSCSlug
Gold Member
Messages
179
Reaction score
28
e43e83c27b3d1737313dcfcb758091ab.png


Using the Maxwell-Boltzmann equation above, there is an example in my book (Giancoli 4th edition p. 481) where they use this to find the average velocity. I understand that it would just be the sum of all the speeds of the molecules divided by the number of molecules. But then I'm having trouble on how they did the integration by parts? Could someone walk me through the process?

upload_2015-10-8_13-17-27.png
 
Physics news on Phys.org
Let [itex]a=\frac{m}{2kT}[/itex]
[itex]\int_0^{\infty}v^3e^{-av^2}dv=\frac{1}{a}\int_0^{\infty}ve^{-av^2}dv=\frac{1}{2a^2}=\frac{2k^2T^2}{m^2}[/itex]

The first equality is integration by parts.
 
  • Like
Likes   Reactions: RaulTheUCSCSlug
Do you know how to do integration by parts? [itex]\int u dv = uv - \int v du[/itex] . Try [itex]u = x^2; dv = x e^{-x^2}dx[/itex]
 

Similar threads

  • · Replies 3 ·
Replies
3
Views
4K
  • · Replies 17 ·
Replies
17
Views
3K
  • · Replies 4 ·
Replies
4
Views
3K
  • · Replies 38 ·
2
Replies
38
Views
6K
  • · Replies 4 ·
Replies
4
Views
5K
  • · Replies 2 ·
Replies
2
Views
2K
  • · Replies 4 ·
Replies
4
Views
4K
  • · Replies 2 ·
Replies
2
Views
2K
  • · Replies 11 ·
Replies
11
Views
4K
  • · Replies 6 ·
Replies
6
Views
5K