Axial loading of a composite beam

Click For Summary

Discussion Overview

The discussion revolves around the axial loading of a composite beam, focusing on the calculations and assumptions involved in determining the compressive forces and stresses in the materials involved. Participants explore the implications of yield stress and the behavior of the materials under axial loads, with a mix of theoretical and practical considerations.

Discussion Character

  • Homework-related
  • Technical explanation
  • Debate/contested
  • Mathematical reasoning

Main Points Raised

  • One participant seeks confirmation on their solution approach and asks for clarification on potential errors.
  • Another participant suggests that the compressive force should be calculated based on the total compression needed to fit the bar into the available space, referencing a specific value of 13.04 mm.
  • Concerns are raised about the yield stress of brass being lower than the calculated compressive stress, prompting questions about the implications for the solution.
  • There is a discussion about the arithmetic involved in the calculations, with one participant indicating that another's solution may have incorrectly included forces.
  • Participants confirm their calculations for the compressive forces on the brass and steel rods, leading to further inquiries about the resulting stresses in each material.
  • Clarifications are made regarding the forces acting on the composite beam, including the distinction between applied forces and reaction forces.
  • One participant expresses confusion about a chart presented, questioning the representation of forces and their directions.
  • There is a discussion about the bi-directional nature of tension and compression forces and their implications for the equilibrium of the sections of the beam.

Areas of Agreement / Disagreement

Participants do not reach a consensus on the correct approach to the problem, with multiple viewpoints on the calculations and implications of yield stress. Disagreements persist regarding the treatment of forces and the interpretation of results.

Contextual Notes

Participants express uncertainty about the assumptions made in their calculations, particularly regarding the yield stress of materials and the application of forces in free body diagrams. The discussion reflects a reliance on specific values and conditions that may not be universally applicable.

Who May Find This Useful

Students and practitioners interested in mechanics of materials, particularly those dealing with axial loading and composite structures, may find the discussion relevant.

ski0331
Messages
10
Reaction score
0

Homework Statement


PAokWiX

PAokWiX.jpg

Homework Equations


In my attempt at a solution

The Attempt at a Solution


eCRKbcI
eCRKbcI.jpg
 

Attachments

  • PAokWiX.jpg
    PAokWiX.jpg
    36.6 KB · Views: 1,949
  • eCRKbcI.jpg
    eCRKbcI.jpg
    44.7 KB · Views: 1,094
Physics news on Phys.org
Basically I'm asking if I did this correctly and have the correct answer and if I don't, what I did wrong and where I went wrong in my thinking.
 
I confirm the result in the first part, but I don't follow what you did in the 2nd part. It seems to me for the 2nd part, all you need to do is add a compressive force to the entire rod that compresses it 13.04 mm: $$\frac{FL_1}{A_1E_1}+\frac{FL_2}{A_2E_2}=-0.01304$$
 
Where did you get the 13.04 mm? And I thought I did add them together f=-ax and f2=-ax+4000N
 
ski0331 said:
Where did you get the 13.04 mm? And I thought I did add them together f=-ax and f2=-ax+4000N
I'm just doing it as 2 superimposed problems. In the first part, you showed that the growth of the bar would be 14.04 mm if the bar were totally unconstrained. Since the original gap was 1 mm, that would mean that you would have to compress the bar 13.04 mm to get it to fit into the available space.

Assuming purely elastic behavior, this gives a compressive stress of 106 MPa in the Brass and a compressive stress of 131 MPa in the steel. But the yield stress of the Brass is only 78 MPa. How do you think that would affect the answer?
 
Last edited:
Chestermiller said:
I'm just doing it as 2 superimposed problems. In the first part, you showed that the growth of the bar would be 14.04 mm if the bar were totally unconstrained. Since the original gap was 1 mm, that would mean that you would have to compress the bar 13.04 mm to get it to fit into the available space.

Assuming purely elastic behavior, this gives a compressive stress of 106 MPa in the Brass and a compressive stress of 131 MPa in the steel. But the yield stress of the Brass is only 78 MPa. How do you think that would affect the answer?
I'm not sure. would it? I've struggled with this subject (axial loads). But a guess would be that it would bend the brass?
 
ski0331 said:
I'm not sure. would it? I've struggled with this subject (axial loads). But a guess would be that it would bend the brass?
When you complete the solution of the purely elastic problem and have confirmed my answer, we can talk about what to do because the compressive yield stress of the brass is reached.

Your solution for the elastic problem is incorrect because you included the 4000 with the steel rather than with the brass.
 
Chestermiller said:
When you complete the solution of the purely elastic problem and have confirmed my answer, we can talk about what to do because the compressive yield stress of the brass is reached.

Your solution for the elastic problem is incorrect because you included the 4000 with the steel rather than with the brass.
ahhh ok I see where I did that! That makes sense, but I make my first cut to determine what Ax is for my free body diagram before the 4Kn. Like I said axial loads have been giving me fits to solve.
 
ski0331 said:
ahhh ok I see where I did that! That makes sense, but I make my first cut to determine what Ax is for my free body diagram before the 4Kn. Like I said axial loads have been giving me fits to solve.
OK. Let's see what you get now. It seemed to me you were doing pretty well up to this point.
 
  • #10
Chestermiller said:
OK. Let's see what you get now. It seemed to me you were doing pretty well up to this point.
7E12OPt.png
 

Attachments

  • 7E12OPt.png
    7E12OPt.png
    5.9 KB · Views: 977
  • #11
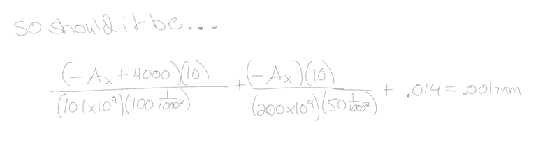
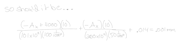
ski0331 said:
No. You need to be careful with your arithmetic: $$-\frac{(A_x+4000)(10)}{(101\times 10^9)(100\times 10^{-6})}-\frac{(A_x)(10)}{(200\times 10^9)(50\times 10^{-6})}+0.018=0.001$$ where ##A_x## is a positive compressive force. What do you get for ##A_x##? What do you get for F from my equation in post #3?
 
  • #12
Chestermiller said:
No. You need to be careful with your arithmetic: $$-\frac{(A_x+4000)(10)}{(101\times 10^9)(100\times 10^{-6})}-\frac{(A_x)(10)}{(200\times 10^9)(50\times 10^{-6})}+0.018=0.001$$ where ##A_x## is a positive compressive force. What do you get for ##A_x##? What do you get for F from my equation in post #3?
A(x) I got is equal to 6552.24, F=-6552.44
 
  • #13
ski0331 said:
A(x) I got is equal to 6552.24, F=-6552.44
I confirm. I treated F as tension and got a negative number, while you treated it as compression and got a positive number. So this is the compressive force on the steel rod, and the compressive force on the brass rod is 6552+4000=10552 N. What do these solutions to the elastic problem (neglecting the yield stress) give you for the stresses in the brass and the steel?
 
  • #14
Chestermiller said:
I confirm. I treated F as tension and got a negative number, while you treated it as compression and got a positive number. So this is the compressive force on the steel rod, and the compressive force on the brass rod is 6552+4000=10552 N. What do these solutions to the elastic problem (neglecting the yield stress) give you for the stresses in the brass and the steel?
uvwIKkq.png
 

Attachments

  • uvwIKkq.png
    uvwIKkq.png
    8.5 KB · Views: 1,079
  • #16
  • #17
ski0331 said:
ok you lost me on this chart. why are there 4p? 2 ax?
The forces on the left are the reaction forces from the constraint. The 2 P forces on the right are the applied forces. The Ax on the right is the compressive force applied on the brass section by the steel section.

You are aware that tension and compression are bi-directional, arising from the application of the Cauchy stress relationship to determine the forces acting on a surface? You remember from freshman physics the tension in a rope pointing to the right (for the force the material on the right applies to the material on the left), and to the left (for the force the material on the left applies to the material on the right), correct?
 
  • #18
Chestermiller said:
The forces on the left are the reaction forces from the constraint. The 2 P forces on the right are the applied forces. The Ax on the right is the compressive force applied on the brass section by the steel section.

You are aware that tension and compression are bi-directional, arising from the application of the Cauchy stress relationship to determine the forces acting on a surface? You remember from freshman physics the tension in a rope pointing to the right (for the force the material on the right applies to the material on the left), and to the left (for the force the material on the left applies to the material on the right), correct?
yes but Ax is the reaction forces of the wall. In my FBD Ax pushes back on 2p and the Normal force.
 
  • #19
ski0331 said:
yes but Ax is the reaction forces of the wall. In my FBD Ax pushes back on 2p and the Normal force.
Taking each section as a free body, the forces on the two ends of each section must be equal in magnitude and opposite in direction. Otherwise, the sections could not each be in force equilibrium.
 
  • #20
An overall force balance on the composite beam tells you that the reaction force on the left boundary has to be ##A_x+2P##.
 

Similar threads

  • · Replies 4 ·
Replies
4
Views
3K
  • · Replies 8 ·
Replies
8
Views
2K
  • · Replies 5 ·
Replies
5
Views
2K
Replies
3
Views
2K
  • · Replies 2 ·
Replies
2
Views
3K
Replies
3
Views
2K
  • · Replies 7 ·
Replies
7
Views
2K
  • · Replies 3 ·
Replies
3
Views
3K
  • · Replies 3 ·
Replies
3
Views
2K
  • · Replies 2 ·
Replies
2
Views
3K