Bicycle Translational Acceleration vs Angular Acceleration

AI Thread Summary
The discussion centers on understanding the relationship between translational and angular acceleration in bicycles, particularly how to calculate the minimum force required at the pedals for the rear wheel to begin accelerating. A key point is that the torque from the chain must exceed the static friction torque for angular acceleration, leading to a calculated requirement of 50 N at the pedals. However, it is noted that even a small force can initiate translational acceleration due to static friction, raising questions about the apparent contradiction between the two forms of acceleration. Participants emphasize the need to consider the pedal gear and chain dynamics in the analysis, as well as the importance of using free body diagrams to clarify the forces and torques involved. The conversation highlights the complexity of these calculations and the necessity for a comprehensive understanding of the mechanics at play.
  • #51
UMath1 said:
So I think my issue is a conceptual one. It was my understanding that as you increase the torque of the chain, you increase the force the wheel applies to the ground thereby increasing the force of static friction. So the issue was that since the force of static friction continues to rise as the more torque is applied, it continues to match the torque of the chain.
Yes, the static friction increases, but not so much as to match the torque from the chain. It lags behind. The difference of the two torques provides the angular acceleration of the wheel.
As Chet remarked, a cyclist with cleats could in theory apply so much torque to the pedals that the rear wheel skids, but my guess is it would require superhuman strength.
 
Physics news on Phys.org
  • #52
Yes I do understand that.

I am still having some issues with the equation though. I can't seem to figure out how to eliminate the chains tension.
Screenshot_2015-08-11-20-33-06.png
 
  • #53
UMath1 said:
Yes I do understand that.

I am still having some issues with the equation though. I can't seem to figure out how to eliminate the chains tension.View attachment 87196
Solve your second equation for (Tu - Tl), and then substitute it into your first equation.

By the way, do you really think that the rotational inertia of the pedal assembly is significant?

Chet
 
  • #54
So I solved for acceleration and this is what I obtained.
Screenshot_2015-08-14-23-04-32.png

I am still not sure I understand the concept though. And the inertia of the pedal assembly is insignificant?
 
  • #55
UMath1 said:
So I solved for acceleration and this is what I obtained.
View attachment 87317
I am still not sure I understand the concept though.
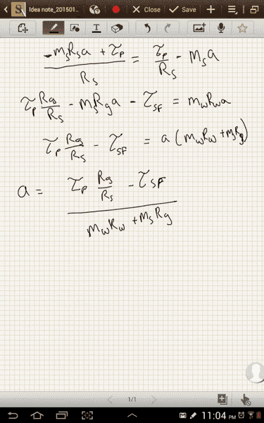
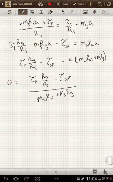
That's because you didn't replace the torque that the ground exerts on the rear wheel τs in your equations with its value expressed in terms of the mass and acceleration of the rider and bike, and of the radius of the rear wheel:$$τ_S=MaR_W$$
where M is the total mass of bike plus rider.
If this is substituted into your equation, you get:
$$τ_p\frac{R_g}{R_s}-MaR_W=a(m_WR_W+m_pR_p)$$
where Rs is the radius of the pedal sprocket, and mp and Rp are the mass and the radius of gyration of the pedal assembly, respectively. So, solving this equation for the acceleration gives:
$$a=\frac{τ_p}{R_W(M+m_W+m_pR_p/R_W)}\frac{R_g}{R_s}$$
I hope this makes more sense to you. It shows how the acceleration of the rider and bike is quantitatively related to the torque the rider puts on the pedal.
And the inertia of the pedal assembly is insignificant?
To get an idea of how significant the inertia of the pedal assembly is, ask yourself how much effort it would take to turn the pedal assembly if the chain were not attached.

Chet
 
  • #56
I still don't understand though. This proves that a minute amount of force from the is sufficient to get the bicycle to accelerate forward.

But what about the requirement for angular accleration. What is the relationship between the force applied on the pedal and the force the chain applies on the rear gear? What is the relationship between the force applied by the chain on the rear gear and force applied by static friction?
 
  • #57
UMath1 said:
I still don't understand though. This proves that a minute amount of force from the is sufficient to get the bicycle to accelerate forward.

But what about the requirement for angular accleration. What is the relationship between the force applied on the pedal and the force the chain applies on the rear gear? What is the relationship between the force applied by the chain on the rear gear and force applied by static friction?
This has already been included in the equations he have already derived. If you want the net force that the chain applies, you already have the relationships you need to determine this.

Chet
 
  • #58
Is there any way to express the force the chain applies only in terms of the pedal force? Using the equations we have, I can only express in terms of acceleration,
moment of inertia, and the pedal force.
 

Attachments

  • Screenshot_2015-08-17-10-23-01.png
    Screenshot_2015-08-17-10-23-01.png
    29.6 KB · Views: 478
  • #59
UMath1 said:
Is there any way to express the force the chain applies only in terms of the pedal force? Using the equations we have, I can only express in terms of acceleration,
moment of inertia, and the pedal force.
To get the acceleration out of there, combine the 2nd equation in post #52 with the third equation in post #55.

Chet
 
  • #60
So I did that and this is what I got.
Screenshot_2015-08-17-18-35-17.png

Can I simplify this more? Is there a way I can find the force of the chain solely in terms of the force of the pedal and their respective radii? And likewise, is there a way to find the force of static fricition solely in terms of the force of the chain on the rear gear and the radii of the wheel and rear gear?
 
  • #61
UMath1 said:
So I did that and this is what I got.
View attachment 87442
Can I simplify this more? Is there a way I can find the force of the chain solely in terms of the force of the pedal and their respective radii? And likewise, is there a way to find the force of static fricition solely in terms of the force of the chain on the rear gear and the radii of the wheel and rear gear?
When you ask about the force of the chain, are you referring to the force in the upper part of the chain, the force in the lower part of the chain, their difference, or their sum?

Chet
 
  • #62
The sum
 
  • #63
I mean the net force of the upper and lower tensions. Tu-Tl
 
  • #64
UMath1 said:
The sum
The vector sum of the tensions in the upper and lower parts of the chain are determined mainly be the preloading of the chain. Prior to riding, the tensions in both sections of the chain are equal, and pulling forward on the rear wheel assembly and backward on the front pedal assembly. When the bike is accelerating, the tension in the upper part of the chain increases, while the tension in the lower part of the chain decreases. However, the lower part of the chain does not go into compression. So, during acceleration, the tensions in the two sections are still pointing in the same direction. In my judgement, the resultant force they impose on the rear wheel does not change significantly, nor does the resultant force they impose on the front pedal assembly. However, the moments that they impose on the rear wheel assembly and on the front pedal assembly change substantially. This is because of the difference in tension that develops between the upper portion of the chain and the lower portion.

Chet
 
  • #65
Right. So, is there a way to calculate the difference in the two force based soley on the applied force on the pedal and the radii of the pedal and pedal sprocket? Similarly is a way to calculate the forcd of static friction soley based on this difference of the two tensions and the radii of the rear gear and rear wheel?

I am trying to find proof for why, as haruspex said, the torque of static friction lags behind the torque the chain puts on the wheel.

Earlier my calculation for the force of static friction was: (Tu-Tl)Rg/Rw. But this cannot be the case, because it were you'd have break the maximum force of static friction to get the bike to accelerate.
 
  • #66
Chestermiller said:
The vector sum of the tensions in the upper and lower parts of the chain are determined mainly be the preloading of the chain. Prior to riding, the tensions in both sections of the chain are equal, and pulling forward on the rear wheel assembly and backward on the front pedal assembly. When the bike is accelerating, the tension in the upper part of the chain increases, while the tension in the lower part of the chain decreases.
This is not correct for real bicycles and real chains. For a typical multi-speed bicycle using derailleur gears the bottom portion of the chain is kept at a low and more-or-less fixed tension with a spring-loaded tensioner. You can see several relevant pictures here. https://en.wikipedia.org/wiki/Derailleur_gears

For a three-speed bicycle or a single-speed bicycle pedaled in the forward direction, the situation is similar. The lower chain is essentially slack. The only tension is that resulting from its sag under gravity.

[If the frame were perfectly rigid and the chain were perfectly unstretchable and there were no slack then the situation would be statically indeterminate with no way to determine tension in both chain segments and compression in the frame, even given perfect information about the bicycle. The slack in the bottom chain avoids this difficulty]

What changes when you pedal harder is the tension in the top chain and the compression in the parallel frame member. But the point of application of the force from the frame is exactly at the two axes of rotation -- the hub of the rear wheel and the hub of the crank. So frame compression is irrelevant when computing torques.
 
  • Like
Likes Chestermiller
  • #67
UMath1 said:
Right. So, is there a way to calculate the difference in the two force based soley on the applied force on the pedal and the radii of the pedal and pedal sprocket?
You already have that if you are willing to make the reasonable assumption that the rotational inertia of the pedal assembly is negligible.
Similarly is a way to calculate the forcd of static friction soley based on this difference of the two tensions and the radii of the rear gear and rear wheel?
You already have to equations necessary to determine that.
I am trying to find proof for why, as haruspex said, the torque of static friction lags behind the torque the chain puts on the wheel.
The lag is probably not very important, but probably depends on how long it takes the tire and chain to deform. But why don't you just ask him?
Earlier my calculation for the force of static friction was: (Tu-Tl)Rg/Rw. But this cannot be the case, because it were you'd have break the maximum force of static friction to get the bike to accelerate.
On what basis do you say this? Did you divide the force of static friction that you calculate by the normal force (which is on the order of the weight of the rider plus bike) and compare the quotient to the coefficient of static friction?

Chet
 
  • #68
No, I thought the force the bike wheel applies on the ground could be obtained by a torque balance and hence the equation: (Tu-Tl)Rg/Rw. Then by Newtons 3rd Law the force static friction applies should be the same.
 
  • #69
UMath1 said:
No, I thought the force the bike wheel applies on the ground could be obtained by a torque balance and hence the equation: (Tu-Tl)Rg/Rw. Then by Newtons 3rd Law the force static friction applies should be the same.

Right. The force of static friction on the bike's rear wheel is given by this formula. Draw a free body diagram for the bicycle as a whole. You have the value for the force from static friction acting at the rear wheel. What other external forces is the bicycle subject to?
 
  • #70
Rolling resistance
 
  • #71
UMath1 said:
Rolling resistance
Any other forces?
 
  • #72
static friction of front wheel

I am considering the bike and the rider one system
 
  • #73
UMath1 said:
static friction of front wheel

I am considering the bike and the rider one system
Any other forces?
 
  • #74
Air resistance
 
  • #75
UMath1 said:
Air resistance
Any other forces?
 
  • #76
I can't think of any
 
  • #77
UMath1 said:
I can't think of any
Gravity? The normal force of the pavement on the front tire? The normal force of the pavement on the rear tire?
 
  • #78
Right. Yes, gravity and normal force, but they cancel out, right?
 
  • #79
UMath1 said:
Right. Yes, gravity and normal force, but they cancel out, right?
For some possible calculations, the force from gravity and the normal force on the two tires will cancel out, yes. But if we are trying to be careful, we should list them first and argue that they cancel for the particular calculation we are trying to perform afterward. For instance, we could do a torque balance on the bicycle as a whole to see how large static friction could be before the bicycle pulls a "wheelie". Gravity and the normal forces would be crucial for that.

But back to the problem at hand. You were saying that the bicycle as a whole cannot accelerate unless

UMath1 said:
Earlier my calculation for the force of static friction was: (Tu-Tl)Rg/Rw. But this cannot be the case, because it were you'd have break the maximum force of static friction to get the bike to accelerate.

We have this free body diagram. It has forces from static friction at the rear wheel, static friction at the front wheel, rolling resistance, air resistance, gravity and the normal force on the two tires.

We can neglect gravity and the normal force on the two tires since they are vertical and we are considering horizontal movement. We can neglect air resistance because it is approximately zero for a near-motionless bicycle in still air. We can neglect rolling resistance as long as the bearings are well oiled and the tires are properly inflated.

Do you agree that we can neglect the force of static friction between pavement and front wheel? Or should we calculate that?
 
  • #80
I think it could be neglected for the sake of simplicity. Even if it were a unicycle, you still wouldn't have to break the maximum force of static friction.
 
  • #81
UMath1 said:
I think it could be neglected for the sake of simplicity. Even if it were a unicycle, you still wouldn't have to break the maximum force of static friction.
So you now agree that the force of static friction does not need to exceed the maximum force from static friction in order for the bicycle to accelerate?
 
  • #82
I agree because otherwise you'd run into the original issue of sliding before rolling. However I don't understand why. If the equation is not (Tu-Tl)Rg/Rw, what is it?

I originally thought the equation was (Tu-Tl)Rg/Rw because it would show that a bigger gear would give more traction.
 
Last edited:
  • #83
UMath1 said:
I agree because otherwise you'd run into the original issue of sliding before rolling. However I don't understand why. If the equation is not (Tu-Tl)Rg/Rw, what is it?
You still have not told us what makes you think that ##(T_u - T_l)\frac{R_g}{R_w}## has to be incorrect.
 
  • #84
It has to be incorrect because that would mean that static friction keeps growing as the torque from the chain grows. It would keep growing until it reaches the maximum value. But I have been told repeatedly that reaching the maximum value is unnecessary and that would be "burning rubber".

Also, it brings forth another problem, the equation cannot possibly be applicable after the maximum friction is reached because the friction cannot increase beyond that ppint.
 
  • #85
UMath1 said:
It has to be incorrect because that would mean that static friction keeps growing as the torque from the chain grows. It would keep growing until it reaches the maximum value. But I have been told repeatedly that reaching the maximum value is unnecessary and that would be "burning rubber".
And what makes you think that the torque from the chain grows and grows without bound?
 
  • #86
It has to in order give a torque greater than the torque of static friction according to the equation.
 
  • #87
I must be missing something. You apply a torque to the pedal, and it causes a corresponding torque to be applied by the ground to the rear wheel (to accelerate the bike). You hold the torque on the pedal constant while the bike is accelerating, and the corresponding torque applied by the ground to the rear wheel stays constant. So, what's the problem?

Chet
 
  • #88
In order for the wheel to rotationally accelerate the torque of the chain MUST be greater than the torque of static friction. Based on that equation the only way that can happen is if maximum static friction value is attained. Otherwise, static frictions torque would continue to match the torque of the chain, meaning no angular acceleration.
 
  • #89
UMath1 said:
In order for the wheel to rotationally accelerate the torque of the chain MUST be greater than the torque of static friction.
If you recall, we assumed that the wheel has negligible moment of inertia in order to simplify the calculations. Accordingly, it takes negligible net torque for it to accelerate.

If you want to re-do the calculations with a non-negligible moment of inertia in the rear wheel then we can do so.
 
  • #90
UMath1 said:
In order for the wheel to rotationally accelerate the torque of the chain MUST be greater than the torque of static friction. Based on that equation the only way that can happen is if maximum static friction value is attained. Otherwise, static frictions torque would continue to match the torque of the chain, meaning no angular acceleration.
If the rotational inertia of the rear wheel is neglected, that equation tells you that the chain torque is equal to the static friction torque. If the rotational inertial of the rear wheel is not neglected, then the chain torque has to be a little higher than the static friction torque, but part of the chain torque is consumed in accelerating the rear wheel, so the static friction torque is the same.

Chet
 
  • #91
Even if it takes a neglible net torque, it still requires one torque to be greater than the other. With the equation (Tu-Tl)Rg/Rw, the torques will be equal until the maximum static friction is reached
 
  • #92
jbriggs444 said:
If you recall, we assumed that the wheel has negligible moment of inertia in order to simplify the calculations. Accordingly, it takes negligible net torque for it to accelerate.

If you want to re-do the calculations with a non-negligible moment of inertia in the rear wheel then we can do so.
We've already done that in previous posts.

Chet
 
  • #93
UMath1 said:
Even if it takes a neglible net torque, it still requires one torque to be greater than the other. With the equation (Tu-Tl)Rg/Rw, the torques will be equal until the maximum static friction is reached
Huh?
 
  • #94
UMath1 said:
Even if it takes a neglible net torque, it still requires one torque to be greater than the other. With the equation (Tu-Tl)Rg/Rw, the torques will be equal until the maximum static friction is reached
I want to echo Chet's puzzlement. The torques will be negligibly different until maximum static friction is reached. [At which time the angular acceleration of the wheel becomes significant in spite of the wheel's neglibible moment of inertia]
 
  • #95
The equation is based on neglecting moment of inertia and taking the torques to be equal, but they are not. They are negligibly different as you say...but they are still different.

So what equation indicates that the torque of the chain is little higher than the torque of static friction.
 
  • #96
UMath1 said:
The equation is based on neglecting moment of inertia and taking the torques to be equal, but they are not. They are negligibly different as you say...but they are still different.

So what equation indicates that the torque of the chain is little higher than the torque of static friction.
Your own first equation in post #52.

Chget
 
  • #97
Right but that doesn't express static friction solely in terms of the force of the chain and the two radii. It only arbitrarily shows that there is net torque but it doesn't show how a bigger gear would cause more static friction.
 
  • #98
UMath1 said:
Right but that doesn't express static friction solely in terms of the force of the chain and the two radii. It only arbitrarily shows that there is net torque but it doesn't show how a bigger gear would cause more static friction.
It leads to a set of simultaneous equations involving the mass of rider and bicycle and the moment of inertia of the front and rear wheels which can be solved to obtain a formula for the force of static friction in terms of the force of the chain, the two radii, the mass of the rider and bicycle and the moment of inertia of the front and rear wheels.
 
  • #99
How can I eliminate acceleration?

Screenshot_2015-08-18-17-01-48.png
 
  • #100
UMath1 said:
How can I eliminate acceleration?
Can you write an equation for the angular velocity of the wheel in terms of the linear velocity of the bicycle?
 
Back
Top