Calculating the residue of complicated expression

Click For Summary

Homework Help Overview

The discussion revolves around calculating the residue of a complex function that has multiple poles located at integer multiples of π. Participants are exploring the nature of these poles and the appropriate methods for finding residues associated with them.

Discussion Character

  • Exploratory, Assumption checking, Mathematical reasoning

Approaches and Questions Raised

  • Participants discuss the order of the poles and the necessity of expanding the sine function to simplify the calculation. There are questions about how to express residues as a function of the pole index k and whether to consider specific cases like k=0 or other integers.

Discussion Status

There is an ongoing exploration of the problem, with participants questioning the assumptions about the order of the poles and the implications of using different notations. Some guidance has been provided regarding the formula for calculating residues, but no consensus has been reached on the specific approach to take.

Contextual Notes

Participants note that the function has an infinite number of poles and that the terminology used may lead to confusion. There is an emphasis on understanding the implications of different values of k and the need for clarity in notation.

VVS
Messages
85
Reaction score
0

Homework Statement



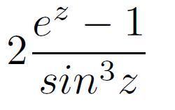
Hi, I want to calculate the residue of this expression:
residual2.jpg


Homework Equations



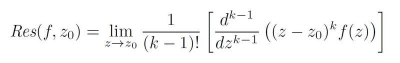
I know that the residue of a function with a pole of k-th order is given by this:
residue_formula.jpg


The Attempt at a Solution



I know that the function has infinite number of poles at k*∏, for k=-∞ to k=+∞
I think one has to expand the sine function or something like that but I don't know how it simplifies things.
 
Physics news on Phys.org
Well the obvious first question is what is the order of the poles so you can use your formula?
 
VVS said:

Homework Statement



Hi, I want to calculate the residue of this expression:
View attachment 59634

Homework Equations



I know that the residue of a function with a pole of k-th order is given by this:
View attachment 59635

The Attempt at a Solution



I know that the function has infinite number of poles at k*∏, for k=-∞ to k=+∞
I think one has to expand the sine function or something like that but I don't know how it simplifies things.

This function does not have just ONE residue, so it is wrong to talk about THE residue. It has residues at lots of different points. What, exactly, do you want?
 
I'd say it is of third order. Do I need to expand sin(z) around pi?
 
Ray Vickson said:
This function does not have just ONE residue, so it is wrong to talk about THE residue. It has residues at lots of different points. What, exactly, do you want?

I know the answer, but I can't work it out myself. We want an expression for the residues as a function of k, since we have poles at multiples k*pi.
 
VVS said:
I know the answer, but I can't work it out myself. We want an expression for the residues as a function of k, since we have poles at multiples k*pi.

Look first at the case k = 0. What do you think you should do? (You really should work this out for yourself; that is the only way to learn!)

Then look at k = ±1, ±2, etc.; these give different results from the k = 0 case. Do you see why?
 
VVS said:

Homework Statement



Hi, I want to calculate the residue of this expression:
View attachment 59634

Homework Equations



I know that the residue of a function with a pole of k-th order is given by this:
View attachment 59635

The Attempt at a Solution



I know that the function has infinite number of poles at k*∏, for k=-∞ to k=+∞
I think one has to expand the sine function or something like that but I don't know how it simplifies things.

You got them k's in there representing two different things, one of the worst things you can do in math. The formula for the residue is in terms of the order of the pole given as k. Me, I'd change the pi thing to [itex]n\pi[/itex]. Ok, got that straight. Now what is the order of the pole? How you know it's third order or k=3? Do that later. Let's assume it is for [itex]n\neq 0[/itex], then by your formula, we could write:

[tex]\text{Res}\left(f(z),n\pi\right)= \lim_{z\to n\pi} \frac{1}{2}\frac{d^2}{dz^2}\left\{(z-n\pi)^2 f(z)\right\},\quad n=\pm 1, \pm 2,\cdots[/tex]

We can't take that limit?
 
Last edited:

Similar threads

Replies
4
Views
2K
  • · Replies 2 ·
Replies
2
Views
2K
  • · Replies 5 ·
Replies
5
Views
2K
  • · Replies 4 ·
Replies
4
Views
3K
Replies
6
Views
2K
Replies
1
Views
2K
Replies
3
Views
4K
  • · Replies 2 ·
Replies
2
Views
2K
Replies
2
Views
1K
  • · Replies 2 ·
Replies
2
Views
2K