Calculating voltage between two points....

Click For Summary
SUMMARY

The discussion focuses on calculating voltage between two points using Kirchhoff's Voltage Law (KVL) and the principles of electric fields from point charges. The user attempted to find voltages V(e<-d) and V(e<-a) but received incorrect results. Key issues identified include misapplication of KVL and incorrect breakdown of voltage components. The correct expression for Vc<-e was also questioned, indicating a need for clarity in voltage calculations.

PREREQUISITES
  • Understanding of Kirchhoff's Voltage Law (KVL)
  • Knowledge of electric fields from point charges
  • Ability to break down voltage into components
  • Familiarity with basic circuit analysis
NEXT STEPS
  • Review Kirchhoff's Voltage Law applications in circuit analysis
  • Study electric field calculations from point charges
  • Learn how to correctly break down voltages in complex circuits
  • Explore common mistakes in voltage calculations and their corrections
USEFUL FOR

Students studying electrical engineering, physics enthusiasts, and anyone seeking to improve their understanding of voltage calculations in circuit analysis.

15ongm
Messages
7
Reaction score
0

Homework Statement


30bmp7q.png

14ig6c0.png

1zcloq1.png


Homework Equations


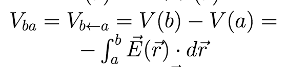
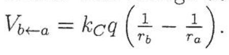
The voltage between any two points due to the field from a point charge q is:
2rcvhok.png

Kirchoff's voltage laws, which states that the total voltage around a closed loop must be zero, i.e.:
KVL.gif

dzfm6s.png


The Attempt at a Solution


To find V(e<-d) I used Kirchoff's Voltage Law:
oaoeg7.png

To find V(e<-a) I used the fact that you can break voltages into parts:
21dhfh5.jpg


But I know my answers are wrong b/c this is what the solutions say:
657ebn.png


My question is, what is wrong with the way I'm calculating V(e<-d) and V(e<-a)?
 
Physics news on Phys.org
How did you get the expression for Vc<-e?
The detour via c is unnecessary.

The expression for Vc<-a is wrong as well, and I guess it is wrong for the same reason.
 

Similar threads

  • · Replies 2 ·
Replies
2
Views
2K
Replies
15
Views
3K
  • · Replies 8 ·
Replies
8
Views
2K
  • · Replies 3 ·
Replies
3
Views
2K
  • · Replies 5 ·
Replies
5
Views
2K
  • · Replies 4 ·
Replies
4
Views
2K
  • · Replies 2 ·
Replies
2
Views
2K
Replies
2
Views
3K
  • · Replies 4 ·
Replies
4
Views
2K
Replies
1
Views
2K