Can position and velocity vary independently in Hamilton's Principle?

Click For Summary
SUMMARY

The discussion centers on the independence of position and velocity in the context of Hamilton's Principle and the calculus of variations. The participants explore the mechanics of varying both position (q) and velocity (q-dot) independently, leading to the derivation of the Euler-Lagrange equation. However, a critical observation is made regarding the shared eta function in their variations, suggesting that true independence may not be achieved. Ultimately, the conclusion emphasizes the need for clarity in the mathematical treatment of these variables.

PREREQUISITES
  • Understanding of Hamilton's Principle
  • Familiarity with the calculus of variations
  • Knowledge of the Euler-Lagrange equation
  • Basic concepts of independent variables in mathematical analysis
NEXT STEPS
  • Study the derivation of the Euler-Lagrange equation in detail
  • Explore the implications of varying independent variables in calculus of variations
  • Investigate the role of eta functions in variational calculus
  • Examine examples of Hamiltonian mechanics to see practical applications
USEFUL FOR

This discussion is beneficial for physicists, mathematicians, and students studying classical mechanics, particularly those interested in variational principles and their applications in theoretical physics.

Trying2Learn
Messages
375
Reaction score
57
TL;DR
Where, in the mathematical work out, do we use the fact that position and velocity are varying independently?
To carry out the machinery of Hamilton's Principle though the calculus of variations, we desire to vary the position and velocity, independently.

We proceed by varying at action, and set the variation to zero (I will assume ONE generalized variable: q1)

1691333336661.png

In the above, I can see how we vary both q and q-dot independently: it is (if I am not mistaken) in the "machinery" of taking both partials of q and 1-dot). So far, I am fine with that: it initially appears as if position and velocity were independent.

Then we use integration by parts and obtain

1691333462304.png

And we extract the Euler Lagrange equation.

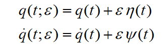
However, if I were to look more closely, I see that this work began with:

1691334513406.png


And if this is the case, I do NOT see how q and q-dot are varying independently, because both have the same eta function in their "heritage."
I can see the "intent" that they vary independently (through the "blind"-machinery of taking the partial with respect to q and q-dot, but ultimately, they are not independent, unless the two red functions were different

1691334976287.png


Could someone advise me?
 

Attachments

  • 1691334913093.png
    1691334913093.png
    4.7 KB · Views: 149
Physics news on Phys.org
Trying2Learn said:
TL;DR Summary: Where, in the mathematical work out, do we use the fact that position and velocity are varying independently?

Principle though the calculus of variations, we desire to vary the position and velocity, independently.
we do not vary them independently
 
  • Like
Likes   Reactions: topsquark, Trying2Learn and vanhees71
wrobel said:
we do not vary them independently
Oh... in your simple response, I reread things and now see I misunderstood what I had read.

thank you
 
  • Like
Likes   Reactions: vanhees71

Similar threads

  • · Replies 3 ·
Replies
3
Views
1K
  • · Replies 21 ·
Replies
21
Views
2K
  • · Replies 1 ·
Replies
1
Views
1K
  • · Replies 1 ·
Replies
1
Views
1K
Replies
1
Views
2K
  • · Replies 5 ·
Replies
5
Views
2K
  • · Replies 2 ·
Replies
2
Views
2K
  • · Replies 7 ·
Replies
7
Views
2K
  • · Replies 1 ·
Replies
1
Views
2K
  • · Replies 3 ·
Replies
3
Views
2K