Can we choose different functional forms for Lorentz transformation?

  • Context: Undergrad 
  • Thread starter Thread starter zenterix
  • Start date Start date
  • Tags Tags
    Special relativity
Click For Summary

Discussion Overview

The discussion centers around the possibility of choosing different functional forms for the Lorentz transformations in the context of special relativity. Participants explore the implications of modifying the standard equations derived from Susskind's work, considering both theoretical and mathematical aspects of these transformations.

Discussion Character

  • Exploratory
  • Technical explanation
  • Debate/contested
  • Mathematical reasoning

Main Points Raised

  • One participant presents modified Lorentz transformation equations and questions whether they still qualify as Lorentz transformations.
  • Another participant argues that only the standard form respects the principle of relativity, while alternative forms may not satisfy all necessary conditions.
  • Concerns are raised about the consistency of the proposed transformations, particularly regarding their behavior at specific velocities.
  • Several participants emphasize that while coordinate transformations can be made, they must preserve the metric, which only the standard Lorentz transformations do.
  • It is noted that the proposed transformations lead to different forms for the inverse transformation, raising questions about their validity as Lorentz transformations.
  • Some participants suggest that the modifications introduce unnecessary complexity without providing clear benefits.

Areas of Agreement / Disagreement

Participants express disagreement regarding the validity of the modified transformations. While some acknowledge that the proposed equations are mathematically valid, others argue they do not meet the criteria for Lorentz transformations due to issues with metric preservation and consistency across different velocities.

Contextual Notes

Participants highlight that the discussion involves assumptions about the nature of transformations and the preservation of the Minkowski metric, which are not fully resolved. The implications of choosing different functions in the transformations remain uncertain.

Who May Find This Useful

This discussion may be of interest to those studying special relativity, particularly in understanding the nuances of Lorentz transformations and the implications of modifying established equations.

zenterix
Messages
774
Reaction score
84
TL;DR
When deriving the Lorentz transformation, it seems we can pick specific functions to be used in the equations. If we choose functions that lead to a slightly different transformation, what do we make of this transformation?
Susskind's book "Special Relativity and Classical Field Theory" derived the Lorentz transformations

$$x'=(x-vt)\frac{1}{\sqrt{1-v^2}}$$

$$t'=(t-vx)\frac{1}{\sqrt{1-v^2}}$$

$$x=(x'+vt')\frac{1}{\sqrt{1-v^2}}$$

$$t=(t+vx')\frac{1}{\sqrt{1-v^2}}$$

While redoing the calculations, I reached a point where it seems to me I could choose the transformation to be

$$x'=x-vt$$

$$t'=t-vx$$

$$x=(x'+vt')\frac{1}{1-v^2}$$

$$(t'+vx')\frac{1}{1-v^2}$$

Are these latter four equations also Lorentz transformations?

I'm going to post here my exact calculations to reach these equations.

I started with a stationary frame A (coordinates x and t) and a moving frame B (coordinates x' and t', with three railcars)

1698330118361.png


From this scenario we conjecture a transformation of the form

1698330180803.png


But then what if we think about frame B being stationary and the three railcars being in frame A (which is now moving relative to frame B). We have

1698330235595.png


Here are the calculations to find points a and b
1698330358818.png

So we conjecture that the transformation from coordinates in frame A to frame B are

$$x=(x'+vt)f_2(v^2)$$

$$t=(t'+vx')g_2(v^2)$$

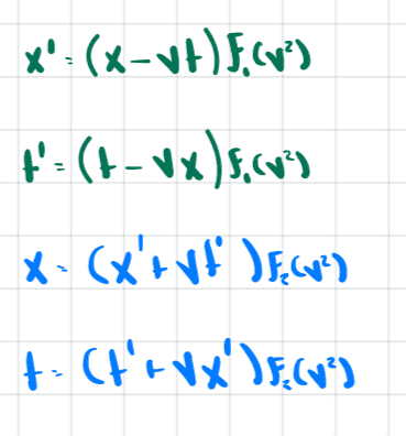
At this point, taking into consideration the four equations that we have conjectured, we have

1698330514219.png


But we can show that ##f_1=g_1## and ##f_2=g_2## by considering the fact that a light ray has equations

$$x=t$$

$$x'=t'$$

Thus,
1698330592947.png


Hence our equations become

1698331169887.png

And now if we solve for ##f_1## or ##f_2## we obtain

1698330737769.png


One option is to say ##f_1=f_2## and then we obtain the usual Lorentz transformation.

But can we not choose other functions?

For example suppose ##f_1=1## and ##f_2=\frac{1}{1-v^2}##. Then we get

1698330908985.png
 

Attachments

  • 1698330721563.png
    1698330721563.png
    9.4 KB · Views: 140
Physics news on Phys.org
zenterix said:
TL;DR Summary: When deriving the Lorentz transformation, it seems we can pick specific functions to be used in the equations. If we choose functions that lead to a slightly different transformation, what do we make of this transformation?

But can we not choose other functions?
Only the usual function respects the principle of relativity. The others respect the 2nd postulate, but not the 1st.
 
  • Like
Likes   Reactions: zenterix and Vanadium 50
Your equations are inconsistent. If you let ##v = \pm \frac c 2##, or any other speed, you get different transformations for the same relative velocity.

You can't just stop at ##f_1f_2 = \frac 1 {1-v^2}##. As my first comment shows, there are further necessary conditions.
 
  • Like
Likes   Reactions: zenterix
Put slightly differently: You can make whatever coordinate transformations you want, but you cannot do so expecting the metric to stay the same. Much like you cannot expect the metric to stay the same using polar coordinates on ##\mathbb R^2##.

Only the Lorentz transformations keep the metric invariant.
 
  • Like
Likes   Reactions: PeroK, Dale and zenterix
Orodruin said:
Put slightly differently: You can make whatever coordinate transformations you want, but you cannot do so expecting the metric to stay the same. Much like you cannot expect the metric to stay the same using polar coordinates on ##\mathbb R^2##.

Only the Lorentz transformations keep the metric invariant.
That is a good way to put it

So for this particular case, if we start in an inertial frame with the metric $$ds^2=-dt^2 + dx^2$$ then the transformations $$x'=x-vt$$$$t'=t-vx$$ give $$ds^2 = -\frac{1}{1-v^2} dt'^2 + \frac{1}{1-v^2} dx'^2$$ which is a perfectly valid metric, but just not the inertial frame metric. A clock at rest in these coordinates must be scaled to read coordinate time.
 
  • Like
Likes   Reactions: zenterix
Dale said:
That is a good way to put it

So for this particular case, if we start in an inertial frame with the metric $$ds^2=-dt^2 + dx^2$$ then the transformations $$x'=x-vt$$$$t'=t-vx$$ give $$ds^2 = -\frac{1}{1-v^2} dt'^2 + \frac{1}{1-v^2} dx'^2$$ which is a perfectly valid metric, but just not the inertial frame metric. A clock at rest in these coordinates must be scaled to read coordinate time.
One can also note that, since the metric is simply scaled by a factor ##\gamma^2##:
  • The coordinate speed of light is still 1 because ##dx’ = \pm dt’## leads to ##ds^2 = 0##
  • The coordinate system is still affine and orthogonal. Just not orthonormal.
 
  • Like
Likes   Reactions: Dale and zenterix
Dale said:
That is a good way to put it

So for this particular case, if we start in an inertial frame with the metric $$ds^2=-dt^2 + dx^2$$ then the transformations $$x'=x-vt$$$$t'=t-vx$$ give $$ds^2 = -\frac{1}{1-v^2} dt'^2 + \frac{1}{1-v^2} dx'^2$$ which is a perfectly valid metric, but just not the inertial frame metric. A clock at rest in these coordinates must be scaled to read coordinate time.
The Lorentz Transformation is not a single, specific coordinate transformation. That could be anything. It's supposed to be a transformation that has the same form for any ##v##. That transformation fails as a generic transformation, as the inverse transformation (which is still a boost) explicitly has a different form.
 
  • Like
Likes   Reactions: zenterix
PeroK said:
The Lorentz Transformation is not a single, specific coordinate transformation. That could be anything. It's supposed to be a transformation that has the same form for any ##v##. That transformation fails as a generic transformation, as the inverse transformation (which is still a boost) explicitly has a different form.
This is a bit ambiguous without specifying what you mean by ”having the same form”. Surely you are not saying that the inverse is the same as the transformation itself.

I can also easily construct a parametrization such that chamging the sign of the parameter does not give the inverse.

The bottom line is that the Lorentz transformations are defined as the group of linear coordinate transformations that preserve the Minkowski metric. As they form a group, the inverse of any Lorentz transformation must also be a Lorentz transformation.
 
  • Like
Likes   Reactions: zenterix
Orodruin said:
The bottom line is that the Lorentz transformations are defined as the group of linear coordinate transformations that preserve the Minkowski metric.
That's not what the OP is trying to do. He has:
$$x' = x - vt, \ x =\frac 1 {1 -v^2}(x +vt)$$That gives two different transformations for ##v = \frac 1 2##, depending on whether we treat it as the transformation, or the inverse transformation of ##v = -\frac 1 2##.

In the derivation from first principles, the inverse is a key condition of determining the functions ##f_1, f_2##. See the original post.

The point about the metric, although valid, is probably beyond the scope of the Susskknd material he's covered so far.
 
  • Like
Likes   Reactions: zenterix
  • #10
PeroK said:
That's not what the OP is trying to do. He has:
$$x' = x - vt, \ x =\frac 1 {1 -v^2}(x +vt)$$That gives two different transformations for ##v = \frac 1 2##, depending on whether we treat it as the transformation, or the inverse transformation of ##v = -\frac 1 2##.
Again, there is nothing stating that you cannot find a parametrization where changing the parameter sign does not give the inverse. It just so happens to be the case for the standard form of the Lorentz transformations because of how v is defined as a relative velocity between frames.

PeroK said:
In the derivation from first principles, the inverse is a key condition of determining the functions ##f_1, f_2##. See the original post.
It is not a necessary condition. You can easily derive the form of the Lorentz transformations (defined as the set of transformations that preserve the metric) without ever mentioning v or -v.

In fact, this is the route I take in my classes.

PeroK said:
The point about the metric, although valid, is probably beyond the scope of the Susskknd material he's covered so far.
Probably so, but that part was more about the general discussion and placing the context rather than necessarily for the OP.
 
  • Like
Likes   Reactions: zenterix
  • #11
zenterix said:
While redoing the calculations, I reached a point where it seems to me I could choose the transformation to be

$$x'=x-vt$$

$$t'=t-vx$$

$$x=(x'+vt')\frac{1}{1-v^2}$$

$$(t'+vx')\frac{1}{1-v^2}$$

Are these latter four equations also Lorentz transformations?
What you've got here is a boost and a scaling; that's why your inverse transforms are also a boost and a scaling with the inverse scale factor. As others have already noted it's not wrong, but it adds additional unnecessary complexity (you need different units in every frame) and conceals the principle of relativity under it.
 
  • Like
Likes   Reactions: zenterix and PeterDonis

Similar threads

  • · Replies 25 ·
Replies
25
Views
2K
  • · Replies 22 ·
Replies
22
Views
3K
Replies
3
Views
2K
  • · Replies 33 ·
2
Replies
33
Views
3K
  • · Replies 24 ·
Replies
24
Views
3K
  • · Replies 15 ·
Replies
15
Views
3K
  • · Replies 3 ·
Replies
3
Views
2K
  • · Replies 14 ·
Replies
14
Views
2K
  • · Replies 1 ·
Replies
1
Views
2K
  • · Replies 54 ·
2
Replies
54
Views
4K