Cubic positive solution exists analysis

Click For Summary

Homework Help Overview

The discussion revolves around the equation ##\Lambda^3+\Lambda^2+A=0##, specifically analyzing the conditions under which a real positive solution for ##\Lambda## exists when ##A<0##. Participants explore the implications of the equation and the nature of its roots.

Discussion Character

  • Exploratory, Assumption checking, Conceptual clarification

Approaches and Questions Raised

  • Participants attempt to manipulate the equation by substituting ##-A=\hat{A}## and analyzing the implications for ##\Lambda##. Questions arise regarding the conditions under which ##\Lambda## can be positive, particularly in relation to the derived inequalities and the behavior of the function.

Discussion Status

There is an ongoing exploration of different perspectives on the problem. Some participants suggest using calculus to analyze the function's behavior, while others propose simpler algebraic approaches. The discussion reflects a mix of interpretations and attempts to clarify the conditions for the existence of a positive root.

Contextual Notes

Participants note the importance of the Intermediate Value Theorem in the context of the discussion, as well as the potential confusion arising from notation and assumptions about the nature of the roots based on the value of ##A##.

binbagsss
Messages
1,291
Reaction score
12

Homework Statement



Question:

For ##\Lambda^3+\Lambda^2+A=0## , show that for ##A<0## there is some real positive ##\Lambda## which solves this

Homework Equations

The Attempt at a Solution


[/B]

Attempt:

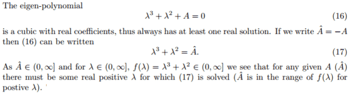
Write ##-A=\hat{A} ##, then ##\hat{A} \in (0,\infty)##
and ##\Lambda^3+\Lambda^2=\hat{A}=\Lambda^2(\Lambda+1)##

Since ##\Lambda \in (-\infty, \infty) ## then ##\Lambda^2 \in (0,\infty)##, and so since ##\hat{A} \in (0,\infty)## then ##(\Lambda-1) \in (0,\infty) \implies \Lambda \in (-1,\infty)##

So this shift by ##-1## means that ##\Lambda## is not guaranteed to be positive?

Solution attached:

assign1sol.png

I understand the solution after the 'claim' ##\Lambda \in (0,\infty)##.

However I don't understand where this comes from, this is part of what we are trying to show and we only have ##\Lambda## is real?

Many thanks in advance.
 
Physics news on Phys.org
binbagsss said:

Homework Statement



Question:

For ##\Lambda^3+\Lambda^2+A=0## , show that for ##A<0## there is some real positive ##\Lambda## which solves this

Homework Equations

The Attempt at a Solution


[/B]

Attempt:

Write ##-A=\hat{A} ##, then ##\hat{A} \in (0,\infty)##
and ##\Lambda^3+\Lambda^2=\hat{A}=\Lambda^2(\Lambda+1)##

Since ##\Lambda \in (-\infty, \infty) ## then ##\Lambda^2 \in (0,\infty)##, and so since ##\hat{A} \in (0,\infty)## then ##(\Lambda-1) \in (0,\infty) \implies \Lambda \in (-1,\infty)##

So this shift by ##-1## means that ##\Lambda## is not guaranteed to be positive?

Solution attached:

View attachment 205800
I understand the solution after the 'claim' ##\Lambda \in (0,\infty)##.

However I don't understand where this comes from, this is part of what we are trying to show and we only have ##\Lambda## is real?
Your post would be easier to read if you followed the lead of the material you posted, and used lower-case lambda (##\lambda##) instead of upper-case lambda (##\Lambda##). At first I misread ##\Lambda## as A. In TeX, the lower-case Greek letters have spellings that start with lower-case letters; i.e., \lambda versus \Lambda, and \theta versus \Theta.

Consider ##f(\lambda) = \lambda^3 + \lambda^2 + A##, with A < 0.
##f'(\lambda) = 3\lambda^2 + 2\lambda##
On what intervals is f' positive? zero? negative? On these same intervals the original function will be increasing, horizontal, or decreasing, respectively. This should give you a good idea of where any zeroes of the graph of f are.

BTW, two of the intervals in the posted image use nonstandard notation-- ##(0, \infty]##. I've always seen these written as ##(0, \infty)## when an interval extends infinitely far in either direction.
 
I don't think it even requires calculus. Write it as ##f(x) = x^3+x^2 -a## where ##a>0##. Then ##f(0) = -a<0## and ##f(x) > 0## for ##x>a##.
 
Last edited:
  • Like
Likes   Reactions: Greg Bernhardt
It doesn't requiere a lot of analysis, but you need to use intermediate value theorem (Bolzano's).
 
Actually, this is true for any A, since Complex roots come in pairs, i.e., if z is a root, so is its conjugate z^ , so , by parity alone, there will be a Real root no matter the value of A.
 
WWGD said:
Actually, this is true for any A, since Complex roots come in pairs, i.e., if z is a root, so is its conjugate z^ , so , by parity alone, there will be a Real root no matter the value of A.
Yes, but will it be positive?
 
LCKurtz said:
Yes, but will it be positive?
Positive... you got me for not reading carefully; top-down processing, my bad. Good point. Maybe I should just delete my post?
 
Nah. I wouldn't worry about it. It happens a lot to all of us.
 
  • Like
Likes   Reactions: WWGD
Also, some of the algebraics proofs of fundamental theorem of algebra uses the intermediate value theorem in one step (at least the ones that I know with Galois Theory). Then there's are complex analysis proofs that also uses analysis. I think that the less analysis one is the one that only uses the fundamental group of the circle, but intermediate value theorem is more a topological theorem than an analysis one. So I think that using fundamental theorem of algebra to avoid using bolzano's theorem is like a snake bitting it's own tail.
 
  • #10
Depending on the level of course in which the intermediate value theorem is used, it may very well be that the IVT is taken as "obvious" or an unproved given statement. A high school algebra student may "know" a "continuous" graph can't go from positive to negative without hitting the ##x## axis.
 
  • #11
Yes, you simply justify the afirmation talking about the graphic. But I was saying that it makes sense to put analysis in the tittle, due to that theorem. Of course, it's not mandatory.
 

Similar threads

Replies
6
Views
3K
  • · Replies 6 ·
Replies
6
Views
1K
  • · Replies 4 ·
Replies
4
Views
3K
  • · Replies 2 ·
Replies
2
Views
1K
Replies
8
Views
2K
Replies
2
Views
2K
Replies
2
Views
2K
Replies
2
Views
2K
Replies
6
Views
2K
  • · Replies 1 ·
Replies
1
Views
3K