Deriving the electromagnetic field strength tensor

Click For Summary

Discussion Overview

The discussion revolves around the derivation of the electromagnetic field strength tensor, focusing on the use of identities and notation involved in the process. Participants are seeking clarification on specific steps and identities used in the derivation, as well as alternative approaches to the problem.

Discussion Character

  • Technical explanation
  • Mathematical reasoning
  • Debate/contested

Main Points Raised

  • One participant expresses confusion about transitioning between steps in the derivation and the application of the identity involving the Levi-Civita symbol and Kronecker delta.
  • Another participant provides a relation involving the Kronecker delta and partial derivatives, suggesting a simplification in the notation.
  • A participant questions how a specific term in the derivation equals another term, seeking further clarification on the reasoning behind it.
  • There is a discussion about the implications of summing over indices with Kronecker deltas, with some participants explaining how the indices relate to each other.
  • One participant proposes a simpler form of the electromagnetic field strength tensor and questions the complexity of the original derivation.
  • Another participant notes that the transition from one form to another is based on the definition of the curl operation and the vector potential.

Areas of Agreement / Disagreement

Participants do not reach a consensus on the best approach to derive the electromagnetic field strength tensor, with some preferring a more straightforward method while others engage with the complexities of the original derivation.

Contextual Notes

Some participants highlight potential confusion around the notation and identities used, indicating that assumptions about the relationships between indices may not be fully clear. There are also unresolved steps in the derivation that participants are trying to clarify.

rwooduk
Messages
757
Reaction score
59
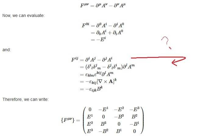
Just one last question today if someone can help. I'm trying to derive the electromagnetic field strength tensor and having a little trouble with (i think) the use of identities, please see below:

YWH2xbX.jpg


I understand the first part to get -Ei, but it's the second line of the next bit I don't understand. I see he wants to get line one to the form he has done so he can use the following identity:

##\varepsilon _{ijk}\varepsilon _{ilm} = \delta _{jl}\delta _{km} - \delta _{jm}\delta _{kl}##

But I'm unsure how he has got there and line 2 to 3 looks a little iffy. I've tried using ##\delta _{ij}\delta _{jk} = \delta _{ik}## but that didn't go very well, and also I've always thought something of the form ##\delta_{i}^{l} ## was the kroneka delta function, so I'm unsure how it would come in here.

If someone can help by putting a couple of inbetween stages in the derivation it would really help my understanding of what is going on and the notation / identities he's used.
 
Physics news on Phys.org
## \delta^{i}{}_l\delta^{j}{}_m \partial^lA^m= \partial^iA^j##

etc.
 
  • Like
Likes   Reactions: rwooduk
Thanks for the reply, I can see that relation by looking at the difference between the lines, but how did he get the ## \partial^iA^j## term to equal that?
thanks again
 
The sum over ##m## when there is a ##\delta_i^m## is non-zero only when ##i = m## and you can replace the ##m## sum by simply replacing the other ##m## by the ##i## and removing the delta.
 
  • Like
Likes   Reactions: rwooduk
Orodruin said:
The sum over ##m## when there is a ##\delta_i^m## is non-zero only when ##i = m## and you can replace the ##m## sum by simply replacing the other ##m## by the ##i## and removing the delta.

ahh ok i see so j must = m and i must = m so it goes to Am. And likewise i must = l and j must = l therefore it goes to delta l. This is probably a stupid question, but wouldn't you then get zero in the bracket? i.e. (1-1)
 
rwooduk said:
This is probably a stupid question, but wouldn't you then get zero in the bracket? i.e. (1-1)
No. In one of the terms the i replaces the l and in the other it replaces the m. This gives different terms.
 
  • Like
Likes   Reactions: rwooduk
Orodruin said:
No. In one of the terms the i replaces the l and in the other it replaces the m. This gives different terms.

hmm, kind of got that, ok thanks, will work on this some more.

Thanks for all the replies.
 
Isn't this way too complicated? I usually write
$$F^{ij}=\partial^{i} A^{j} - \partial^{j} A^i=-(\partial_i A^j-\partial_{j} A^{i})=-\epsilon^{ijk} B^{k},$$
where one has to keep in mind that
$$\partial^i=-\partial_i=\frac{\partial}{\partial x^i}$$
and then use that
$$\vec{B}=\vec{\nabla} \times \vec{A}.$$
 
  • Like
Likes   Reactions: rwooduk
vanhees71 said:
-(\partial_i A^j-\partial_{j} A^{i})=-\epsilon^{ijk} B^{k},$$

do you go from LHS to RHS from memory, or are you saying you used the things you say below it? It's the steps inbetween I'm interested in.

would welcome a simpler 'derivation' of this step though
 
  • #10
This is simply the definition of the curl operation and the vector potential by ##\vec{B}=\vec{\nabla} \times \vec{A}##.
 
  • Like
Likes   Reactions: rwooduk

Similar threads

  • · Replies 2 ·
Replies
2
Views
2K
  • · Replies 43 ·
2
Replies
43
Views
8K
  • · Replies 4 ·
Replies
4
Views
3K
Replies
2
Views
2K
  • · Replies 2 ·
Replies
2
Views
2K
  • · Replies 7 ·
Replies
7
Views
3K
  • · Replies 8 ·
Replies
8
Views
2K
  • · Replies 10 ·
Replies
10
Views
3K
  • · Replies 51 ·
2
Replies
51
Views
10K
  • · Replies 3 ·
Replies
3
Views
2K