Electrical Engineering - Control Systems - 2cnd Order System

Click For Summary
SUMMARY

The discussion focuses on plotting Bode plots for second-order control systems, specifically in the context of overdamped systems where the damping coefficient ζ is greater than 1. Participants clarify that in such cases, the roots of the characteristic equation lie on the real negative axis, simplifying the Bode plot process compared to underdamped systems. The angle Θ can be derived from the arccosine function, but for ζ > 1, it results in an imaginary angle, prompting inquiries about physical interpretations and representations of these trigonometric functions beyond their real domains.

PREREQUISITES
  • Understanding of second-order control systems
  • Familiarity with transfer functions
  • Knowledge of Bode plot construction
  • Basic concepts of damping ratios and their implications
NEXT STEPS
  • Research how to derive Bode plots for overdamped systems
  • Study the implications of imaginary angles in control theory
  • Learn about the physical interpretations of trigonometric functions in engineering
  • Explore the characteristics of the characteristic equation in control systems
USEFUL FOR

Electrical engineers, control system designers, and students studying control theory who seek to deepen their understanding of Bode plots and damping effects in second-order systems.

GreenPrint
Messages
1,186
Reaction score
0

Homework Statement



Given a electrical circuit as one below

SPnOUPs.png


One can find the transfer function

9PPdYxi.png


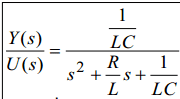
For second order systems this can be written as

OWMjA6f.png


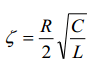
I know that the damping coefficient can be found using the following formula

xBvs1cn.png


In the over damped case ζ>1 can easily occur depending on the values of the components above.

My question is how would you plot a bode plot when ζ>1? I know that when 0<=ζ<=1 Θ can be found using, Θ=arccos(ζ). In the over damped case you would get the arccosine of a value greater than one. In which case Θ is imaginary so how would you go about plotting it such a angle? I know how to solve such a equation such as arccosine(2), but am unsure of the physical conclusions from such a equation. I'm just intrigued by learning physical representations of the trigonometric functions that fall out side of their real domains. I would like to learn more on this subject.

Thanks for any help.
 
Physics news on Phys.org
You replace ##s## by ##jω## and this gives an expression with a complex number in the denominator. Determine the magnitude of the expression, and its angle.
 
GreenPrint said:

Homework Statement



Given a electrical circuit as one below

SPnOUPs.png


One can find the transfer function

9PPdYxi.png


For second order systems this can be written as

OWMjA6f.png


I know that the damping coefficient can be found using the following formula

xBvs1cn.png


In the over damped case ζ>1 can easily occur depending on the values of the components above.

My question is how would you plot a bode plot when ζ>1? I know that when 0<=ζ<=1 Θ can be found using, Θ=arccos(ζ). In the over damped case you would get the arccosine of a value greater than one. In which case Θ is imaginary so how would you go about plotting it such a angle? I know how to solve such a equation such as arccosine(2), but am unsure of the physical conclusions from such a equation. I'm just intrigued by learning physical representations of the trigonometric functions that fall out side of their real domains. I would like to learn more on this subject.

Thanks for any help.

When the system is overdamp[ed the roots of the characteristic equation both lie on the real negative axis. So that's actually much easier to Bode-plot than for an underdamped system.

What are the Bode plots of ab/(s+a)(s+b)?
 

Similar threads

  • · Replies 0 ·
Replies
0
Views
2K
  • · Replies 3 ·
Replies
3
Views
2K
  • · Replies 1 ·
Replies
1
Views
2K
  • · Replies 1 ·
Replies
1
Views
3K
  • · Replies 3 ·
Replies
3
Views
3K
Replies
4
Views
2K
Replies
1
Views
3K
Replies
2
Views
2K
Replies
4
Views
2K
Replies
15
Views
3K