Finding asymptotes of parametric equations

Click For Summary
SUMMARY

The discussion focuses on finding asymptotes of parametric equations, specifically addressing the behavior of the equations as x approaches 0 and infinity. The first problem's solution is confirmed to be correct, with the y-intercept identified as y = π/4 when x = 0. The second problem reveals that there are no asymptotes, as both x and y approach infinity in opposite directions. The method for finding intercepts involves setting x or y to 0 and solving for the parameter t, then substituting back into the equations.

PREREQUISITES
  • Understanding of parametric equations
  • Knowledge of asymptotic behavior in calculus
  • Ability to solve for parameters in equations
  • Familiarity with intercepts in coordinate geometry
NEXT STEPS
  • Study the concept of asymptotes in parametric equations
  • Learn how to analyze the behavior of functions as they approach limits
  • Practice finding intercepts in parametric equations
  • Explore advanced topics in calculus related to asymptotic analysis
USEFUL FOR

Students and educators in mathematics, particularly those studying calculus and parametric equations, as well as anyone looking to deepen their understanding of asymptotic behavior and intercepts in mathematical functions.

fluppocinonys
Messages
19
Reaction score
1
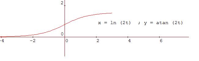
Find the asymptotes of the parametric equations
29blged.gif


The graph looks like this:
qmOcE.jpg





My attempt:
4clfb.gif

Is my presentation correct? Do I also need to consider as x approaches 0 ?



The reasons I ask is because I couldn't find the asymptotes of
G0dMb.gif

if I use the above presentation...
Please guide me...
Thanks.
 

Attachments

  • 29blged.gif
    29blged.gif
    1.1 KB · Views: 636
Physics news on Phys.org
The first problem looks fine, although you could have done it without solving for t in the first equation. Just look at what happens to x and y as x gets large or approaches zero. If x = 0, y = pi/4. All this is, is the y-intercept.

For the second problem, there aren't any asymptotes. As x --> infinity, x --> -infinity and y --> +infinity. As x --> -infinity, x --> -infinity and y --> -infinity. For intercepts, set x = 0 and solve for t, then substitute it into the other equation. That will give you the y-intercept(s). Set y = 0 and solve for t, then substitute it into the other equation, to get the x-intercepts(s).
 

Similar threads

  • · Replies 7 ·
Replies
7
Views
2K
  • · Replies 5 ·
Replies
5
Views
2K
  • · Replies 3 ·
Replies
3
Views
3K
  • · Replies 3 ·
Replies
3
Views
4K
  • · Replies 4 ·
Replies
4
Views
3K
  • · Replies 2 ·
Replies
2
Views
2K
  • · Replies 11 ·
Replies
11
Views
3K
  • · Replies 11 ·
Replies
11
Views
3K
  • · Replies 10 ·
Replies
10
Views
2K
  • · Replies 6 ·
Replies
6
Views
2K