Finding the constants in an Electric Field Equation

Click For Summary

Homework Help Overview

The problem involves finding the relationship between constants A and B in the equation of an instantaneous electric field in a homogenous, isotropic, linear, and source-free medium.

Discussion Character

  • Exploratory, Conceptual clarification, Mathematical reasoning, Assumption checking

Approaches and Questions Raised

  • Participants discuss the properties of the divergence and curl of the electric field, questioning the meaning of "instantaneous" electric field and exploring how Maxwell's equations apply to the problem.

Discussion Status

Some participants have offered guidance on using Maxwell's equations to constrain the functions A and B, while others are exploring interpretations of the results derived from the divergence condition.

Contextual Notes

There is an emphasis on the assumptions of the medium being source-free, homogeneous, isotropic, and linear, which are under discussion as they relate to the problem.

CanIExplore
Messages
97
Reaction score
0

Homework Statement


The problem calls for finding the relationship between the constants A and B in the following equation of an instantaneous electric field:

E=[A(x+y)[itex]\widehat{a}_{x}[/itex]+B(x-y)[itex]\widehat{a}_{y}[/itex]]cos(wt)

The details of the medium in which the field exists are that it is homogenous, isotropic, linear, and is source-free.

20130927_151144_zps7427c05e.jpg


Homework Equations





The Attempt at a Solution



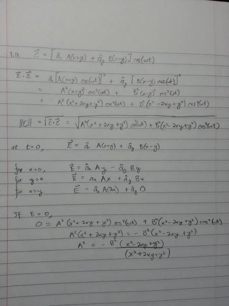
I really have no idea how to go about solving this problem. Initially I was thinking I was just playing around with the vector equation by seeing what it looks like when I plug in different values of x and y and when t=0 or 1. Here is what that looked like:

20130927_154159_zps9ef8919b.jpg


Can someone please help point me in the right direction?
 
Physics news on Phys.org
Have you studied the properties of the "divergence" of the electric field?
 
The only question is, what an "instantaneous" electric field might be. I think it's just an electric field, right?

Then just use the Maxwell and constitutive equations for the given situation to constrain the functions [itex]A[/itex] and [itex]B[/itex] as much as you can.
 
TSny said:
Have you studied the properties of the "divergence" of the electric field?

And how about the curl, since the field is apparently time-invariant.
 
Using Maxwell's equation

[itex]\nabla \cdot E[/itex]=[itex]\frac{q_{ev}}{ε_{0}}[/itex]

where [itex]q_{ev}[/itex] is the electric charge density and noting that [itex]q_{ev}[/itex]=0 for a source free medium, I get:

[itex]\nabla \cdot E[/itex]={[itex]\frac{\partial}{\partial_{x}}[/itex][itex]\widehat{a}_{x}[/itex][itex]\cdot[/itex][[itex]\widehat{a}_{x}[/itex]A(x+y)]+[itex]\frac{\partial}{\partial_{y}}[/itex][itex]\widehat{a}_{y}[/itex][itex]\cdot[/itex][[itex]\widehat{a}_{y}[/itex]B(x-y)]}cos(ωt)=0

={[itex]\frac{\partial}{\partial_{x}}[/itex]Ax+[itex]\frac{\partial}{\partial_{x}}[/itex]Ay+[itex]\frac{\partial}{\partial_{y}}[/itex]Bx-[itex]\frac{\partial}{\partial_{y}}[/itex]By}cos(ωt)=0

(A-B)cos(ωt)=0

Which is true when ωt=[itex]\frac{\pi}{2}[/itex], or when A=B.

I am not really sure how to interpret this result.
 
Last edited:
Sorry I had some mistakes in there, I was making a few changes!
 
You might want to start with what you know about ##\vec{\nabla} \cdot \vec{D}## and then, as vanhees71 suggested, use the consitutive relations to relate ##\vec{D}## to ##\vec{E}##.

Using all four of the assumptions: (1) source free (2) homogeneous (3) isotropic (4) linear medium, you can deduce what ##\vec{\nabla} \cdot \vec{E}## must equal.
 

Similar threads

  • · Replies 6 ·
Replies
6
Views
3K
Replies
12
Views
3K
  • · Replies 17 ·
Replies
17
Views
3K
  • · Replies 1 ·
Replies
1
Views
1K
Replies
19
Views
3K
  • · Replies 13 ·
Replies
13
Views
6K
Replies
2
Views
3K
Replies
5
Views
3K
  • · Replies 3 ·
Replies
3
Views
2K
Replies
5
Views
2K