Finding the Uncertainties in Frequency with Given Capacitor and Inductor Values

Click For Summary

Homework Help Overview

The discussion revolves around calculating uncertainties in frequency for an LC circuit, given specific values for capacitance and inductance, along with their associated percentage accuracies. The original poster presents the frequency formula and attempts to derive the uncertainty using partial derivatives.

Discussion Character

  • Exploratory, Conceptual clarification, Mathematical reasoning, Assumption checking

Approaches and Questions Raised

  • Participants discuss the application of the frequency formula and the correct method for calculating uncertainties based on given percentage accuracies. There are attempts to clarify the use of partial derivatives and the interpretation of the formula.

Discussion Status

Participants are actively engaging with the problem, questioning the correctness of the original poster's approach and providing insights into the proper handling of partial derivatives. Some guidance has been offered regarding the interpretation of absolute accuracy and how to apply it to the given values.

Contextual Notes

There is an ongoing discussion about the definitions and calculations related to absolute accuracy, as well as the implications of the percentage accuracies provided for the inductor and capacitor. Participants are also clarifying the structure of the frequency formula and its components.

Aristotle
Messages
169
Reaction score
1

Homework Statement


I am given a frequency value of 95 GHz (9.5x10^10 Hz), C= 25 F, L=1.12x10^(-25) H.
The question is to find the uncertainties in frequency by taking account of inductor being 5% accurate & capacitor being 8% accurate.

Homework Equations


I believe this is the correct formula to use--since f= 1/ 2pi * sqrt(LC) (frequency formula) is a division/fraction.

(σf)^2= [ (df / L)^2 * σL^2 + (df / C)^2 * σC^2 ]

The Attempt at a Solution



Well taking the partial derivatives of f respect to L, I get: C sqrt(LC) / 2pi.
For f respect to C I get: L sqrt(LC) / 2pi.
So taking the partial derivatives that I had found, I plugged into the equation above Relevant equations & got:

(σf)^2= [ (C sqrt(LC) / 2pi)^2 * σL^2 + ( L sqrt(LC) / 2pi)^2 * σC^2 ]

I know that the percentage of accuracy should be substituted in σL^2 and σC^2 with respect to the given capacitor and inductor values, however I need a little guidance whether I am on the right track. Thank you!
 
Physics news on Phys.org
Aristotle said:

Homework Statement


I am given a frequency value of 95 GHz (9.5x10^10 Hz), C= 25 F, L=1.12x10^(-25) H.
The question is to find the uncertainties in frequency by taking account of inductor being 5% accurate & capacitor being 8% accurate.

Homework Equations


I believe this is the correct formula to use--since f= 1/ 2pi * sqrt(LC) ...

check the formula, it is not correct! The partial derivatives are also wrong.

You get the absolute accuracy of a quantity X if if you multiply X by the percent accuracy divided by 100.
 
Last edited:
ehild said:
check the formula, it is not correct! The partial derivatives are also wrong.

You get the absolute accuracy of a quantity X if if you multiply X by the percent accuracy divided by 100.

Sorry Ehild, but what would be a correct formula to use? My teacher hasn't really been that thorough with the subject & had us with that equation to work with, so I wasn't really sure.

What exactly is "absolute accuracy" and after that what would I have to do?
 
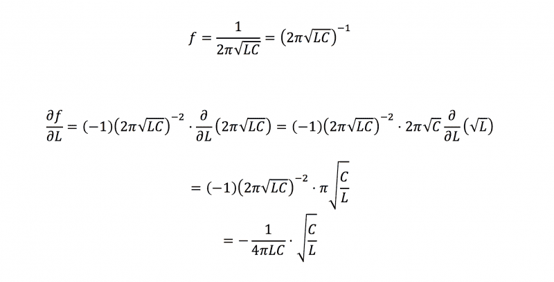
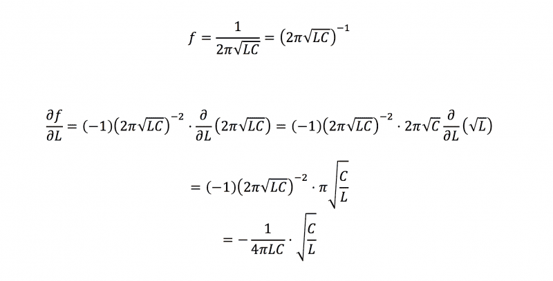
Is this an ##LC## circuit? If so, you may want to be careful about how you are taking your partial derivatives.

For example, here is the partial with respect to ##L##:

Screen Shot 2015-05-03 at 9.31.49 AM.png
 
I mean isn't
Zondrina said:
Is this an ##LC## circuit? If so, you may want to be careful about how you are taking your partial derivatives.

For example, here is the partial with respect to ##L##:

View attachment 83008

Thank you for your response, Zondrina.
Yes it is indeed an LC circuit.

Ah, yeah I see where I went wrong with the derivative...but just a curiosity, would the formula that I used be incorrect?
 
Aristotle said:
I mean isn'tThank you for your response, Zondrina.
Yes it is indeed an LC circuit.

Ah, yeah I see where I went wrong with the derivative...but just a curiosity, would the formula that I used be incorrect?

You have the correct formula I believe, just not written properly.

When you write:

$$f = 1/2pi * sqrt(LC)$$

People interpret it as:

$$f = \frac{1}{2} \pi \sqrt{LC}$$

When you really meant:

$$f = \frac{1}{2 \pi \sqrt{LC}}$$

You could have wrote it as:

$$f = 1/(2pi * sqrt(LC))$$

To signify everything is included in the denominator.

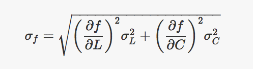
You need to find the partial with respect to ##C## now, as well as the errors ##\sigma_L## and ##\sigma_C##. Then plug and chug into:

$$\sigma_f = \sqrt{ \left(\frac{\partial f}{\partial L} \right)^2 \sigma_L^2 + \left(\frac{\partial f}{\partial C} \right)^2 \sigma_C^2 }$$
 
Zondrina said:
Is this an ##LC## circuit? If so, you may want to be careful about how you are taking your partial derivatives.

For example, here is the partial with respect to ##L##:

View attachment 83008
Are you sure that you can just pull the sqrt C out like that? I mean if we hypothetically multipled C^(1/2) + L^(1/2), we would get LC now, not sqrt LC, right?
Screen shot 2015-05-03 at 7.08.52 AM.png
 
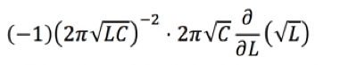
When I did ∂F/∂L, I get:

-[2π (LC)^1/2 ]^(-2) * ∂/∂L[(2π (LC)^(1/2)]
= -[(2π(LC)^1/2 ]^(-2) * (π (LC)^(-1/2) * C ]

**the 2s cancel out on last step.
 
Aristotle said:
Are you sure that you can just pull the sqrt C out like that? I mean if we hypothetically multipled C^(1/2) + L^(1/2), we would get LC now, not sqrt LC, right?View attachment 83010

Recall from math:

$$\sqrt{xy} = \sqrt{x} \sqrt{y}$$

So we can write:

$$\sqrt{LC} = \sqrt{L} \sqrt{C}$$

Now, because the frequency ##f(L, C)## is a function of ##L## and ##C##, when we take the partial derivatives with respect to a variable, we treat all the other variables as constants. That's why I was able to pull out the ##\sqrt{C}## when taking the derivative with respect to ##L##; the variable ##C## is treated as a constant.

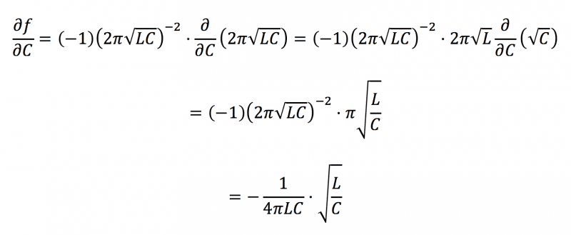
Cleaning up that other partial derivative would give you:

Screen Shot 2015-05-03 at 10.27.20 AM.png


Notice the similarities to the other partial derivative.
 
  • #10
Zondrina said:
xy−−√=xy√​
Ah I understand that its one of those properties to know. However I thought if you multiplied two integers/variables, you add their exponents?
Like √(xy) = √x * √ y = xy <----
 
  • #11
Oh wait no silly me, they're two different variables so you can't add the exponents together.
 
  • #12
Aristotle said:
Ah I understand that its one of those properties to know. However I thought if you multiplied two integers/variables, you add their exponents?
Like √(xy) = √x * √ y = xy <----

You can only add the exponents if the bases are the same.

You can do:

$$\sqrt{x} \sqrt{x} = x^{\frac{1}{2}} x^{\frac{1}{2}} = x^{\frac{1}{2} + \frac{1}{2}} = x^1 = x$$

You can't do:

$$\sqrt{x} \sqrt{y} = x^{\frac{1}{2}} y^{\frac{1}{2}} = xy^{\frac{1}{2} + \frac{1}{2}} = xy^1 = xy$$
 
  • #13
Zondrina said:
You can only add the exponents if the bases are the same.

You can do:

$$\sqrt{x} \sqrt{x} = x^{\frac{1}{2}} x^{\frac{1}{2}} = x^{\frac{1}{2} + \frac{1}{2}} = x^1 = x$$

You can't do:

$$\sqrt{x} \sqrt{y} = x^{\frac{1}{2}} y^{\frac{1}{2}} = xy^{\frac{1}{2} + \frac{1}{2}} = xy^1 = xy$$
Oh yeah, that's right! I really appreciate your help Zondrina! I don't know where my head is today.

Anyways...
Okay so I did get the same answer you got for partial f with respect to L----> -1/(4piLC) * sqrt(C/L)

For partial f with respect to C I got answer of ----> -1/(4piLC) * sqrt(L/C)In terms of this equation, partial derivatives are determined.
Screen shot 2015-05-03 at 7.53.23 AM.png

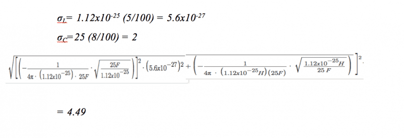
So the absolute errors we know is that inductor is 5 percent and capacitor is 8 percent...& know that C= 25 F and L=L=1.12x10^(-25) H.

Then taking C=25 F...I would take that number and multiply it with 8 percent and divide by 100 correct?
 
  • #14
##\sigma_L## and ##\sigma_C## represent the errors associated with measuring the inductance and capacitance of each component.

For example, we know if we measure the inductance, we may write it as:

$$L = (1.12 \times 10^{-25} \pm \sigma_L) \space H$$

If we measure the capacitance we may write it as:

$$C = (25 \pm \sigma_C) \space F$$

You are told the inductor is ##5 \%## accurate and the capacitor is ##8 \%## accurate. By accurate, they mean how much the inductance/capacitance may vary according to the nominal value.

So if the capacitor is ##8 \%## accurate, then ##\sigma_C = 25 \times 0.08 = 2## means we can write the capacitance as:

$$C = (25 \pm 2) \space F$$
 
  • Like
Likes   Reactions: Aristotle
  • #15
Zondrina said:
##\sigma_L## and ##\sigma_C## represent the errors associated with measuring the inductance and capacitance of each component.

For example, we know if we measure the inductance, we may write it as:

$$L = (1.12 \times 10^{-25} \pm \sigma_L) \space H$$

If we measure the capacitance we may write it as:

$$C = (25 \pm \sigma_C) \space F$$

You are told the inductor is ##5 \%## accurate and the capacitor is ##8 \%## accurate. By accurate, they mean how much the inductance/capacitance may vary according to the nominal value.

So if the capacitor is ##8 \%## accurate, then ##\sigma_C = 25 \times 0.08 = 2## means we can write the capacitance as:

$$C = (25 \pm 2) \space F$$

Ah I see.
I understand that the measurement includes the best value and error and also that the +/- indicates a range of the possible correct value...but silly question...when you take C=(25±2)F and plug it into the absolute error of the equation...how do I go on about inputting that in my calculator? Would I just use the "2" ?
 
  • #16
Aristotle said:
Ah I see.
I understand that the measurement includes the best value and error and also that the +/- indicates a range of the possible correct value...but silly question...when you take C=(25±2)F and plug it into the absolute error of the equation...how do I go on about inputting that in my calculator? Would I just use the "2" ?

I think you are referring to this equation from prior:

$$\sigma_f = \sqrt{ \left(\frac{\partial f}{\partial L} \right)^2 \sigma_L^2 + \left(\frac{\partial f}{\partial C} \right)^2 \sigma_C^2 }$$

Perhaps it would be insightful if I included some extra information:

$$\sigma_f = \sqrt{ \left(\frac{\partial f}{\partial L} (1.12 \times 10^{-25}, 25) \right)^2 \sigma_L^2 + \left(\frac{\partial f}{\partial C} (1.12 \times 10^{-25}, 25) \right)^2 \sigma_C^2 }$$

You need to evaluate the partial derivatives at the point ##(L, C) = (1.12 \times 10^{-25}, 25)##. You also need to plug in ##\sigma_C = 2## and ##\sigma_L = ?##. The answer that comes out is in ##Hz##, so make sure to convert to ##GHz##.
 
  • #17
Zondrina said:
I think you are referring to this equation from prior:

$$\sigma_f = \sqrt{ \left(\frac{\partial f}{\partial L} \right)^2 \sigma_L^2 + \left(\frac{\partial f}{\partial C} \right)^2 \sigma_C^2 }$$

Perhaps it would be insightful if I included some extra information:

$$\sigma_f = \sqrt{ \left(\frac{\partial f}{\partial L} (1.12 \times 10^{-25}, 25) \right)^2 \sigma_L^2 + \left(\frac{\partial f}{\partial C} (1.12 \times 10^{-25}, 25) \right)^2 \sigma_C^2 }$$

You need to evaluate the partial derivatives at the point ##(L, C) = (1.12 \times 10^{-25}, 25)##. You also need to plug in ##\sigma_C = 2## and ##\sigma_L = ?##. The answer that comes out is in ##Hz##, so make sure to convert to ##GHz##.

Here is what I did:

Does this seem correct to you?
Screen shot 2015-05-03 at 9.35.29 AM.png

***EDIT: Excuse my error in typing from the picture I attached. I forgot to multiply (2)^2 at the far end of the square root. And I meant to have the " ]^2 " part at the very end to be INSIDE the square root.

Just to be 100% clear, the σL and σC still contain its units of H and F respectively right?
 
Last edited:
  • #18
Just to be 100% clear, the σL and σC still contain its units of H and F respectively right?

Yes.

I suggest just converting everything to standard S.I. units for calculations, and omitting the units when you do the actual calculation. This makes it a bit easier to look at, and it will give the answer in standard S.I. units.
 
  • #19
Zondrina said:
Yes.

I suggest just converting everything to standard S.I. units for calculations, and omitting the units when you do the actual calculation. This makes it a bit easier to look at, and it will give the answer in standard S.I. units.
Thank you so much for your help Zondrina! This site needs more of you :smile:
 
  • #20
Aristotle said:
I am given a frequency value of 95 GHz (9.5x10^10 Hz), C= 25 F, L=1.12x10^(-25) H.
The question is to find the uncertainties in frequency by taking account of inductor being 5% accurate & capacitor being 8% accurate.
Are your sure you needed to go the partial derivatives route?

Because if you just needed to know the result, you could have calculated the upper and lower extremes of f using the extreme values of the elements, e.g., for the upper

##\dfrac 1{2\pi\sqrt{L*0.95*C*0.92}}\\\\=\ \dfrac 1{2\pi\sqrt{LC}}*\dfrac1{\sqrt{0.95*0.92}}\\\\\\=\ \dfrac 1{2\pi\sqrt{LC}}*1.07\\\\\\##

The other extreme of f is less percent, so I'd keep the error as ± 7%

How does this compare with your calculation using partial derivatives?
 

Similar threads

  • · Replies 21 ·
Replies
21
Views
2K
  • · Replies 3 ·
Replies
3
Views
2K
Replies
6
Views
1K
  • · Replies 8 ·
Replies
8
Views
2K
  • · Replies 3 ·
Replies
3
Views
2K
  • · Replies 1 ·
Replies
1
Views
2K
  • · Replies 6 ·
Replies
6
Views
3K
  • · Replies 2 ·
Replies
2
Views
5K
Replies
5
Views
2K
  • · Replies 2 ·
Replies
2
Views
3K