Fluid Mechanics Viscous Dissipation

Click For Summary

Discussion Overview

The discussion revolves around the expression for viscous dissipation in the context of a Burger's vortex velocity field, specifically focusing on the velocity component in the V theta direction. Participants are exploring the correct formulation of the viscous dissipation equation, referencing various forms and interpretations related to the Navier-Stokes equations.

Discussion Character

  • Technical explanation, Debate/contested

Main Points Raised

  • One participant seeks clarification on the correct equation for viscous dissipation, mentioning confusion over terms like τ:S and τ:delV.
  • Another participant requests more specificity regarding the form being used, indicating the need for clarity in the discussion.
  • A participant specifies that they are working in cylindrical coordinates and expresses confusion about the correct equation for viscous dissipation, citing their professor's statement that it is 2μS:S, while also noting differing information encountered online.
  • A later reply confirms that if S is the rate of deformation tensor, then the relationship τ = 2μS holds, and suggests that all the relations mentioned should yield the same results.

Areas of Agreement / Disagreement

Participants express differing views on the correct formulation of viscous dissipation, with no consensus reached on which equation is definitive. Confusion remains regarding the various forms and interpretations of the equations involved.

Contextual Notes

Limitations include potential missing assumptions about the definitions of terms and the specific forms of the equations being referenced. The discussion does not resolve the mathematical steps or the applicability of different formulations.

Jade Sola
Messages
2
Reaction score
0
I am trying to find an expression for viscous dissipation for burger's vortex Velocity field which only has velocity component in the V theta direction. I'm confused as to which equation for viscosity dissipation is correct. I am seeing a lot of different things tau:S, tau:delV..which one is correct?

Thanks!
 
Engineering news on Phys.org
Um.. I think you need to be a bit more specific. What form are you working with?
 
a_potato said:
Um.. I think you need to be a bit more specific. What form are you working with?
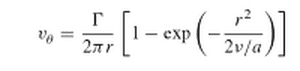
cylindrical coordintates...so this is what the velocity field is
upload_2014-11-26_18-20-1.png

what I am confused about is what exactly is the equation for viscous dissipation ... My professor said in class that it is 2muS:S (from Navierstokes eq.3) but I am seeing differen things online and I also heard from another classmate of mine that it has something to do with Sxtau components. I am just confused ...sorry if I am confusing the matter here.
 
Jade Sola said:
cylindrical coordintates...so this is what the velocity field is
View attachment 75868
what I am confused about is what exactly is the equation for viscous dissipation ... My professor said in class that it is 2muS:S (from Navierstokes eq.3) but I am seeing differen things online and I also heard from another classmate of mine that it has something to do with Sxtau components. I am just confused ...sorry if I am confusing the matter here.
If S is the rate of deformation tensor (which it certainly appears to be), then:
S = (∇V+∇VT)/2
and
τ = 2μS
So, the rate of viscous dissipation is τ:∇V = τ:S = 2μS:S. All the relations you wrote are the same, and should give the same results.

Chet
 

Similar threads

  • · Replies 19 ·
Replies
19
Views
2K
  • · Replies 30 ·
2
Replies
30
Views
6K
Replies
9
Views
4K
Replies
0
Views
3K
Replies
31
Views
4K
  • · Replies 11 ·
Replies
11
Views
3K
  • · Replies 4 ·
Replies
4
Views
2K
  • · Replies 21 ·
Replies
21
Views
3K
  • · Replies 2 ·
Replies
2
Views
4K
  • · Replies 6 ·
Replies
6
Views
4K