Fluid Statics: Find vertical and horizontal forces in tank

Click For Summary
SUMMARY

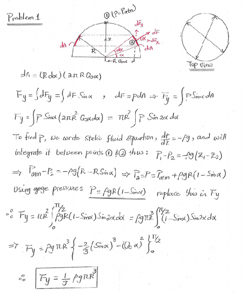
The discussion focuses on calculating the horizontal and vertical forces acting on screws in a tank filled with water, specifically addressing a semi-spherical tank configuration. The horizontal force (FH) on the screws is determined to be zero due to the cancellation of forces from opposite sides of the cylindrical section. The vertical force (FV) is calculated using the formula FV = (1/3) ρgπR³, where ρ is the water density, g is the acceleration due to gravity, and R is the radius of the tank. The integration limits for FV are clarified as being from 0 to π/2, reflecting the geometry of the tank.

PREREQUISITES
  • Understanding of fluid statics principles, including pressure calculations.
  • Familiarity with integration techniques in calculus.
  • Knowledge of free body diagrams and their application in physics.
  • Basic concepts of hydrostatic pressure and its effects on structures.
NEXT STEPS
  • Study the derivation of hydrostatic pressure formulas in fluid mechanics.
  • Learn about free body diagram construction for complex shapes in fluid statics.
  • Explore the implications of Pascal's principle in fluid systems.
  • Investigate the effects of varying tank geometries on force calculations.
USEFUL FOR

Students and professionals in engineering, particularly those specializing in fluid mechanics, structural analysis, and anyone involved in designing tanks or containers for liquids.

zealeth
Messages
25
Reaction score
0

Homework Statement



The tank shown in the figure is filled with water and fastened to the ground. There is a small opening on top of the semi-spherical part of the tank.
a) What is the magnitude of the horizontal force on the screws? Explain using a free body diagram.
b) Consider the proper area element (dA) and determine the vertical force in the screws. Assume the weight of the container can be neglected.

NWTyzCi.png


Homework Equations



p = ρ*g*h
FH = pc dA = ∫Ap dA
FV = ρg∀ or FV = dFy
(∀ = Volume)

The Attempt at a Solution


Note that you are only given what is seen in the image, and the tank is completely filled.

a) FH = pc * A = ∫p dA, p = ρgr, A = 1/2 π r2, dA = 2πr dr
0R 2ρgr2 dr = (ρgπR2)/4
I then incorrectly defined h in my free body diagram and used that to calculate FH for the lower part of the tank, which is apparently not needed.
The solution provided for this problem is that all FH will cancel out, so FH = 0 (this is the entirety of the solution provided, no other information was given). Why is this?

b) FV = ρg∀, ∀=(4/3)πR3 * (1/2) = 2/3πR3, FV = (2/3) ρgπR3. I came up with this solution after once again incorrectly defining h for the height of the cylinder part of the tank, but why is h not needed here? Why is there no vertical force in the screws from the cylinder?
The solution provided is seen below, with the correct answer being FV = (1/3) ρgπR3 (warning: large image). Why is the integration from 0 to π/2, and not 2*∫0π/2?
LoW2ntl.png

Any help is very much appreciated.
 
Last edited:
Physics news on Phys.org
the cylinder is hollow and filled with water which applies a perpendicular horizontal force on it only . there is no vertical force due to the cylindrical water . net Horizontal force due to cylindrical part is zero as every small force dF applied on one side (say towards the right of the figure) is canceled out by the diametrically opposite side's dF of the same magnitude(that is the force towards the left ) .
hence force on screws will be determined by the spherical part only as it is given in the solution .

proton007007
 
  • Like
Likes   Reactions: zealeth

Similar threads

  • · Replies 9 ·
Replies
9
Views
3K
  • · Replies 1 ·
Replies
1
Views
1K
Replies
31
Views
4K
  • · Replies 3 ·
Replies
3
Views
5K
  • · Replies 1 ·
Replies
1
Views
3K
  • · Replies 11 ·
Replies
11
Views
4K
  • · Replies 8 ·
Replies
8
Views
2K
  • · Replies 5 ·
Replies
5
Views
3K
Replies
5
Views
2K
  • · Replies 9 ·
Replies
9
Views
3K