Having trouble with Einstein's Derivation of E=mc^2

  • Thread starter Thread starter jwdink
  • Start date Start date
  • Tags Tags
    Derivation E=mc^2
Click For Summary

Homework Help Overview

The discussion revolves around Einstein's derivation of the equation E=mc², specifically focusing on the implications of the Doppler effect and the relationship between kinetic energy and internal energy as a body moves. The original poster is exploring philosophical questions related to this derivation while attempting to understand the assumptions made about energy conservation and the behavior of light in different reference frames.

Discussion Character

  • Exploratory, Conceptual clarification, Assumption checking

Approaches and Questions Raised

  • The original poster questions how internal energy remains unchanged when a body is in motion, suggesting that this assumption may conflict with the classical understanding of kinetic energy. They also explore the implications of the Doppler shift at varying velocities and its relation to energy and intensity of light.

Discussion Status

Participants are engaging with the original poster's questions, offering perspectives on the relationship between energy, momentum, and reference frames. Some suggest considering Newton's laws and the Lorentz transformation, while others clarify terminology regarding intensity and frequency in the context of the Doppler effect. There is an ongoing exploration of the implications of Einstein's original work and how it relates to the poster's understanding.

Contextual Notes

The original poster is specifically focused on Einstein's 1905 essay and is avoiding other derivations of E=mc² to maintain consistency in their analysis. There is an acknowledgment of the complexity of the concepts involved, particularly regarding the definitions and relationships between energy, mass, and motion.

jwdink
Messages
32
Reaction score
0
Also posted this in the SR and GR forum, but wasn't sure which was more appropriate.

Hi, I'm a non-physics student trying to use primarily Einstein's original 1905 essay to write a paper on the philosophical questions that E=mc^2 brings up. However, I've hit a snag which I can't seem to get past.

Homework Statement



Einstein essentially uses what he's proven about the Doppler shift to show that a moving body emits a more intense light flash than does a stationary one. Since the internal energy of the body remains the same, he asserts that the increased energy of light must have come from the kinetic energy of the body-- and since KE=1/2mv^2, and v didn't change, therefore m changed.

That is,

1) E(bef)=IE1 E(aft)=IE2

2) E'(bef)=IE1+KE1 E'(aft)=IE2+KE2

Subtracting 1) from 2) yields:

E'(bef-aft)-E(bef-aft)=ΔKE

My question: how can we be sure that the internal energy of the body does not change when the body moves? I suppose we could say that, "by definition, 'internal energy' means 'that energy which does not change in motion.'" But then we'd be questioning the equation for KE energy above-- we'd be saying that kinetic energy is 1/2mv^2 PLUS some other energy which doesn't necessarily relate to the mass, but increases with increased velocity. We could, I suppose, assert that the equation above is an approximation for very low velocities, but this runs us into trouble. Why? Well, because the Doppler shift only occurs at very high velocities! So while KE=1/mv^2 could be said to be an approximation of kinetic energy for low velocities, so could A'/A=1 be an approximation for the doppler shift of intensity at low velocity. If we want to say that KE only deviates from the classical equation by a negligible amount, we have to say that the light's energy only deviates a negligible amount as well.

Homework Equations



Attached.

The Attempt at a Solution



Attached.

Thanks!
 

Attachments

Last edited:
Physics news on Phys.org
You have an interesting perspective on relativity.

Einstein's 1905 paper on inertia follows from his previous 1905 paper on special relativity. So he uses the Lorentz transformation for energy as measured in two different frames of reference and compares them.

It may be helpful if you approach the problem from the point of view of Newton's laws of motion and the conservation of momentum. E=mc^2 follows directly from the fact that light carries momentum p = E/c = [itex]h\nu/c[/itex]. See: https://www.physicsforums.com/showpost.php?p=470117&postcount=11

AM
 
Einstein's 1905 paper on inertia follows from his previous 1905 paper on special relativity. So he uses the Lorentz transformation for energy as measured in two different frames of reference and compares them.

I should have said "original essays". I'm aware of his previous essay-- indeed, I wrote half my paper on it. That's why I don't want to use a different derivation of e=mc^2: all my work explaining the Maxwell equations, his reformulation of the Maxwell equations, how this leads to doppler shift, why this means that light will look more intense, etc. is for THIS original derivation.
 
jwdink said:
...his reformulation of the Maxwell equations, how this leads to doppler shift, why this means that light will look more intense, etc. is for THIS original derivation.

jwdink - (Paper said:
Imagine that we are moving towards the source of light with velocity -v. Though we will not experience any increase in the measured velocity of light, our measurements of its intensity will be affected, and this equation reflects how: as our velocity relative to the body increases, the body will appear to emit increasingly intense light. Keep in mind that, because of the principle of relativity (the validity of all reference frames), this situation can be viewed in another way: as the emitter moves more and more quickly, its light seems more intense.

You are using "intensity" here when you probably should be using "frequency". Intensity of light is usually used to denote the number of photons/unit time. As the moving observer approaches the stationary source, the frequency of the light is doppler shifted upward, not the intensity (at least as the term "intensity" is normally used in relation to light).

I will have a closer look at your paper. I am not sure I understand your problem yet.

AM
 
You are using "intensity" here when you probably should be using "frequency". Intensity of light is usually used to denote the number of photons/unit time. As the moving observer approaches the stationary source, the frequency of the light is doppler shifted upward, not the intensity (at least as the term "intensity" is normally used in relation to light).

If you look at the original Einstein paper "On the Electrodynamics of Moving Bodies," both the frequency AND the intensity get shifted upwards in the doppler shift. I think it has something to do with length contraction, ultimately. Or something. See http://www.fourmilab.ch/etexts/einstein/specrel/www/#SECTION22

"It follows from these results that to an observer approaching a source of light with the velocity c, this source of light must appear of infinite intensity."

I should mention that I think I figured out the problem. See the other thread I made on this topic: https://www.physicsforums.com/showthread.php?p=2508638#post2508638

EDIT: In which case, the draft you're reading has an old formulation, which I've redone in a much more satisfactory manner. See next post.

I'd love any extra input you can give, though.
 
Here's the reformulation:

We may now fully appreciate the subtle utility of Einstein’s coordinate systems. Originally, he formulated their usage rather modestly, with an object in the resting system K, and the κ system whizzing by and trying to measure this object. But the principle of relativity states that the motion of my reference frame relative to a “stationary” body can just as well be regarded as motion of that body relative to my “stationary” reference frame. Through the coordinate systems, I can (in a sense) put a body in motion without touching it. Let’s visualize the above situation under this (equally valid) interpretation. We first imagine that a stationary body flashes light from both ends. The symmetry of emission means that the body doesn’t budge, and the conservation of energy means that it loses a quantity of energy equal to the energy of the two light beams. Now, imagine that a moving body flashes light from both ends. The symmetry of emission means that the body doesn’t change its velocity, and the conservation of energy means that it loses a quantity of energy equal to the energy of the two light beams. Now, there are only two differences between these situations: the motion of the body, and the intensity of light emitted. So where did the greater energy of the light beams in the second situation come from? From the body’s motion, obviously— or rather, from the energy it has by virtue of being in motion. For low velocities, we can be confident that this is approximately kinetic energy, equal to 1/2mv2.

[The energy the body has due to its motion must be the source of the light’s augmented intensity.]

[We now use Taylor’s Theorem to split the equation into a series of power functions, then ignore all powers of the fourth and higher order, since (for example) v4/c4 will be miniscule compared to v2/c2. This produces a much more lucid equation.]
 [Substitution.]
 [Crossing out of like terms.]
 [Result.]
So while we know that the light of a moving body gets its augmented intensity from the body’s kinetic energy, this kinetic energy does not consist of a greater velocity. In other words, we only have three components left: energy divided by the speed of light, the mass, and some notion that there has been a change (initial vs. after). For the equation to hold, the body must loss mass in proportion to the energy of the light emitted.

Interpretation: What Did We Just Do?
Just as before with “real time,” our friend the skeptical reader might still think his metaphysical notions are safe. Before, he confessed that his only evidence of “time” was the time measured by clocks— but suspected that this was just a pale shadow of what he really meant. Here again: though the “crossing out” of terms above leads us mechanically to the conclusion, one might remain initially undecided on the conclusion’s radicality. The “kinetic energy” aspect of the argument is probably the most dubious, and there are three tempting objections. The first is to question whether the body’s velocity really didn’t change—imagining that the more intense light was “pushed” a little harder, and therefore pushed back, slowing the body down. But the doppler effect is a different kind of “push” than we’re used to. Remember, light’s velocity never changes— this is not what we’re accustomed to encountering with projectiles shot from moving sources. In those other situations, the exchange is easy: a stationary cannon shoots its cannon ball, a moving cannon shoots its cannon faster, and we exchange the latter source’s greater kinetic energy for an increased kinetic energy in its projectile. More velocity, more kinetic energy. Our two-headed flashlight is unique, however. It doesn’t work by any obvious push— its exchanges aren’t in that ponderable sort of currency. Kinetic energy converts to electromagnetic radiation energy, and we are forced to wonder what we even meant by the ponderable “push” of kinetic energy.
This leads to a second objection: why are we so convinced that our formula for kinetic energy is correct? Not only might it warp at high velocities (and therefore its important that we keep our v in this thought experiment low), but (for a given velocity) it also might depend on more than just the body’s mass. What if we were to postulate that bodies have internal energy which increases when the body moves? We can even formulate this like good relativists: what if our measurements of a body’s internal energy are not invariant, but change depending on reference frame? We could thus explain the augmented intensity of a light beam, not by a decrease in mass, but by the augmented energy measured in the moving system. The light’s increased intensity did come from somewhere— it came from the body’s greater internal energy.

To respond to this objection, we need to imagine a new situation. This time, we have a stationary body, with two flashlights on either side of it, shining their light on it. One of the flashlights is moving towards it, the other is moving away. The same equations above tells us how intense these light flashes will be compared to an observer stationary relative to the flashlights. From them, we learn that the flashlight moving towards the object is shining more intense light than the one moving away from it, and that the combined intensity of these beams is greater than if they were stationary. Sticking with our above interpretation, however, now yields intractable problems: we were trying to say that a moving body has greater internal energy, and therefore emits more intense light— but this is patently false, since one of the moving flashlights gives off less energy.7 Further, say we change our reference frame to that of the flashlights— for reasons of symmetry, we should infer an increase in the amount of energy the object receives from the light,8 even though, from this perspective, the emitters weren’t moving, so they couldn’t have more “internal energy” to give to that light. Our above ad-hoc hypothesis is untenable: kinetic energy is only coherent as an energy originating from mass and velocity.
 
jwdink said:

Homework Statement



Einstein essentially uses what he's proven about the Doppler shift to show that a moving body emits a more intense light flash than does a stationary one. Since the internal energy of the body remains the same, he asserts that the increased energy of light must have come from the kinetic energy of the body-- and since KE=1/2mv^2, and v didn't change, therefore m changed.

I don't think Einstein was saying this. Besides, whether the moving body emits a more 'intense' flash depends on whether the source is moving toward or away from the observer. If it is moving away, the light is red-shifted, meaning that to the moving observer the light has less energy/unit time. The point that Einstein makes is simply that there is a difference in the kinetic energy of the emitting system as measured by the moving observer. Since speed has not changed, the only explanation is that the mass of the emitting system has decreased by an amount [itex]\Delta m = L/c^2[/itex]. This has nothing really to do with doppler shift.

Einstein notes that the difference in energy of the system (from before emission compared to after emission) in the stationary frame is L whereas in the moving frame it is [itex]\gamma L[/itex]. However, he notes, the difference in the energy of the system (before emission) as measured in the two frames is just the kinetic energy of the system as measured in the moving frame (kinetic energy being 0 in the stationary frame). Similarly, after emission, the difference in energy of the system is the kinetic energy of the system measured in the moving frame. The difference in energy ([itex]\gamma L - L[/itex]) is the difference in the before and after kinetic energies of the system as measured in the moving system. Since v has not changed, this difference represents a difference in the system's mass.

My question: how can we be sure that the internal energy of the body does not change when the body moves? I suppose we could say that, "by definition, 'internal energy' means 'that energy which does not change in motion.'" But then we'd be questioning the equation for KE energy above-- we'd be saying that kinetic energy is 1/2mv^2 PLUS some other energy which doesn't necessarily relate to the mass, but increases with increased velocity. We could, I suppose, assert that the equation above is an approximation for very low velocities, but this runs us into trouble. Why? Well, because the Doppler shift only occurs at very high velocities! So while KE=1/mv^2 could be said to be an approximation of kinetic energy for low velocities, so could A'/A=1 be an approximation for the doppler shift of intensity at low velocity. If we want to say that KE only deviates from the classical equation by a negligible amount, we have to say that the light's energy only deviates a negligible amount as well.
Einstein assumes conservation of energy. He makes no statement about the measure of the internal energy of the system is or what it consists of. He just says that the difference between the system's energy as measured in the stationary and moving frames is the kinetic energy of the system in the moving frame. The doppler shift has nothing to do with kinetic energy of the system.

AM
 
How are you talking about "doppler shift"? I was using it to refer to an altered frequency OR altered intensity, since they both happen. I'm confused about your contention.

Okay, say before emission the difference (in the body's energy) between the stationary and moving system is equal to KE(bef), while after emission the difference between systems equals KE(aft). This is Einstein's original argument. He then says that 1/2mv^2 is an approximation of KE. Since the velocity didn't change (the body emitted light from both ends) then the only thing that could've changed is the mass. That's his argument.

My contention can be looked at in two ways:

1) KE might not equal to 1/2mv^2, that is, a moving body might have internal sources of energy which increase at high velocities, and therefore could explain the extra energy of the light, as measured by one of the observers. Conservation of energy means that the extra light energy had to come from somewhere-- but under this explanation, it doesn't have to come from the mass, it comes from the extra energy the body possesses.
2) You could object that KE is defined as 1/2mv^2, but then I could just ask: how do you know that the difference between the energy content of a stationary body and that of a moving body is exactly the classical KE? (Exactly 1/2mv^2?) What if this is just a classical approximation? But if its an approximation, then the extra energy of emitted light could have come from the "negligible" variables that the classical approximation leaves out (such as some augmented internal energy, see first phrasing).

He makes no statement about the measure of the internal energy of the system is or what it consists of. He just says that the difference between the system's energy as measured in the stationary and moving frames is the kinetic energy of the system in the moving frame.

By saying that the difference between the moving and the stationary system body energy is equal to classical kinetic energy, he is tacitly making an assumption about the internal energy of the system: namely, that it stayed the same, so that the light's augmented intensity could not have come from it, but instead must have came from kinetic energy by way of the mass. But to assume that "the difference between the system's energy as measured in the stationary and moving frames is the kinetic energy of the system in the moving frame", AND to assume that KE=1/2mv^2-- these assumptions are necessary for his argument to work, but not necessarily justified.

EDIT:
In fact:

This is what I said:
Since the internal energy of the body remains the same, he asserts that the increased energy of light must have come from the kinetic energy of the body-- and since KE=1/2mv^2, and v didn't change, therefore m changed.

This is what you said:
The difference in energy (LaTeX Code: \\gamma L - L ) is the difference in the before and after kinetic energies of the system as measured in the moving system. Since v has not changed, this difference represents a difference in the system's mass.

Which is pretty much the same thing. What are you objecting to?
 
Last edited:
jwdink said:
How are you talking about "doppler shift"? I was using it to refer to an altered frequency OR altered intensity, since they both happen. I'm confused about your contention.
All I am pointing out is that Einstein does not mention it. You seem to be attributing a significance to the doppler shift that Einstein was not.

Okay, say before emission the difference (in the body's energy) between the stationary and moving system is equal to KE(bef), while after emission the difference between systems equals KE(aft). This is Einstein's original argument. He then says that 1/2mv^2 is an approximation of KE.
At the end of his paper, Einstein says that the difference in the kinetic energy of the system, as measured by the moving observer, is [itex]L(\gamma -1)[/itex]. He then says that this change in kinetic energy ([itex]\frac{1}{2}L\frac{v^2}{c^2})[/itex] can only be accounted for by a loss of mass, [itex]\Delta m = L/c^2[/itex]


1) KE might not equal to 1/2mv^2, that is, a moving body might have internal sources of energy which increase at high velocities, and therefore could explain the extra energy of the light, as measured by one of the observers.

Internal energy sources are immaterial. The system obviously has the energy required to emit the light. Einstein does not say what this energy is. He doesn't care what it is. All his is interested in is the change in that total energy. What he says about it is that the total energy content changes only by the amount of energy that is released as light. He notes that kinetic energy is the difference in total energy as measured in the moving frame and the total energy as measured in the rest frame. (By definition that is kinetic energy). In the moving observer's frame of reference the system has kinetic energy equal to H-E which is the difference between the total energy as measured in the moving frame (H) and the total energy as measured in the rest frame (E).

Conservation of energy means that the extra light energy had to come from somewhere--
I don't see where Einstein talks about this "extra" light energy. What "extra" light energy are you referring to?

All Einstein points out is that the moving observer measures a difference in total energy that is different (by [itex]\Delta m = L/c^2[/itex]) than the energy measured by the stationary observer. The moving observer interprets this as a decrease in kinetic energy resulting from a loss of mass (since v is unchanged). The stationary observer does not measure a similar change in kinetic energy because it has 0 kinetic energy both before and after emitting the light.
but under this explanation, it doesn't have to come from the mass, it comes from the extra energy the body possesses.
No. Einstein assumes it comes from the energy the body possesses. He does not assume it comes from its mass. But he shows that, regardless of the source of energy, the moving observer will measure the system as having a change in mass (by measuring a change in kinetic energy of .5Lv^2/c^2 while v remains unchanged) as a result of emitting the light energy.


2) You could object that KE is defined as 1/2mv^2, but then I could just ask: how do you know that the difference between the energy content of a stationary body and that of a moving body is exactly the classical KE? (Exactly 1/2mv^2?) What if this is just a classical approximation?
It is.

By saying that the difference between the moving and the stationary system body energy is equal to classical kinetic energy, he is tacitly making an assumption about the internal energy of the system: namely, that it stayed the same, so that the light's augmented intensity could not have come from it, but instead must have came from kinetic energy by way of the mass.
What Einstein is saying is that the total energy of the system (including its internal and kinetic energies) changes only by the energy of the light that is emitted. To the stationary system, this is L. To the moving system, it is [itex]\gamma L[/itex]. He is also saying that the difference in total system energy between the moving and stationary observers is by definition the kinetic energy of the system as measured by the moving observer. He simply notes that there is a difference in the kinetic energy of the system as measured by the moving observer (ie. a difference in the kinetic energy before and the kinetic energy after the system emits the light).


AM
 
  • #10
He is also saying that the difference in total system energy between the moving and stationary observers is by definition the kinetic energy of the system as measured by the moving observer. He simply notes that there is a difference in the kinetic energy of the system as measured by the moving observer (ie. a difference in the kinetic energy before and the kinetic energy after the system emits the light).

...which would, in itself, tell him NOTHING unless he thought that kinetic energy depends ONLY on mass and velocity. In that case, he could say that, since the velocity stayed the same, the decrease had to be a decrease in mass. But neither he, nor you, have shown why one ought to believe that kinetic energy ONLY depends on mass and velocity.

All I am pointing out is that Einstein does not mention it. You seem to be attributing a significance to the doppler shift that Einstein was not.

What? Then where does he get this equation?:

eq2.gif


This is from the previous paper on Electrodynamics, where he talks about how the Doppler shift will affect frequency AND intensity of light:

We still have to find the amplitude of the waves, as it appears in the moving system. If we call the amplitude of the electric or magnetic force A or A' respectively, accordingly as it is measured in the stationary system or in the moving system, we obtain

img116.gif

I think you have an understanding of the paper that's not commensurable with mine. Perhaps you'd better understand my position if you read this:

http://www.mathpages.com/home/kmath600/kmath600.htm

Which interprets the paper in the same way as I do.
 
Last edited:
  • #11
jwdink said:
...which would, in itself, tell him NOTHING unless he thought that kinetic energy depends ONLY on mass and velocity. In that case, he could say that, since the velocity stayed the same, the decrease had to be a decrease in mass. But neither he, nor you, have shown why one ought to believe that kinetic energy ONLY depends on mass and velocity.
As a result of how it is defined, kinetic energy derives only from mass and speed.

Kinetic energy is defined as the amount of work that a body moving at speed v can perform by virtue of its motion. Such a body can apply a force = ma = mdv/dt over a distance s (or from speed = v to speed = 0) where:

[tex]W = \int_0^S \vec{F}\cdot d\vec{s} = \int_0^S -Fds = -\int_0^S F\frac{ds}{dt}dt = -\int_0^S m\frac{dv}{dt}\frac{ds}{dt}dt = -\int_0^S mdv(\frac{ds}{dt}) = -\int_v^0 mdv(v) = \frac{1}{2}mv^2[/tex]


What? Then where does he get this equation?:
This is the Lorentz transformation for radiant energy. Since it includes light emitted in both directions, the doppler shifts are in both directions. It is greater by the factor [itex]\gamma[/itex] regardless of the direction in which the light moves. Indeed, it could be emitted vertically so that there is no doppler shift at all ([itex]cos\phi = 0[/itex]). The energy of the vertically emitted radiation would still be greater when measured by the moving observer by the factor [itex]\gamma[/itex]. For that reason, I don't see how doppler shift enters into the analysis here. The end result is that, with no doppler shift, the total radiation energy as measured in the moving observer's frame is greater (by the factor [itex]\gamma[/itex]) than the radiation energy as measured in the moving observer's frame.

AM
 
  • #12
jwdink said:
.
I think you have an understanding of the paper that's not commensurable with mine. Perhaps you'd better understand my position if you read this:

http://www.mathpages.com/home/kmath600/kmath600.htm

Which interprets the paper in the same way as I do.
This paper provides an interesting perspective. For the reasons I have given above, I do not agree that E=mc^2 depends on the doppler shift. I don't think this paper suggests it does. Doppler shift is a directional phenomenon. What Einstein is relying on is the upward shift in frequency (energy) of light due to the relative motion regardless of the direction of the radiation. This is a shift (by the factor [itex]\gamma[/itex] that is independent of direction so it is not a doppler shift.

Ultimately, E=mc^2 is the result of the fact that electromagnetic radiation can cause matter to experience a force. This can be deduced without resort to relativity or to Lorentz transformations. It can be deduced from the simple assumption that momentum must be conserved AND from the fact that light takes a finite amount of time to move through space so the radiation reaction force of the emitter and that of the receiving mass do not occur at the same time. This necessarily results in a shift of the centre of mass between the emitting and receiving bodies. In order to conserve momentum, there has to be a transfer of mass between the emitting and receiving bodies (see the link in my first post in this thread).

AM
 
Last edited:
  • #13
As a result of how it is defined, kinetic energy derives only from mass and speed.

But then we're back to the other way of formulating my objection:

"2) You could object that KE is defined as 1/2mv^2, but then I could just ask: how do you know that the difference between the energy content of a stationary body and that of a moving body is exactly the classical KE? (Exactly 1/2mv^2?)"

Which still stands. If KE=1/2mv^2, then I don't see why it's the case that "the difference in total system energy between the moving and stationary observers is by definition the kinetic energy [1/2mv^2] of the system as measured by the moving observer." Why does the difference in total energy between two bodies depend ONLY on our Newtonian approximations of how much work the moving body could do (KE)?

Say γ is the difference in what a moving and stationary observer measure as a body's energy content. It is certainly conceivable that γ could depend on more than just the mass of the body. Say we have an object with mass M=10 grams, and an observer moving with v=10m/s measures its energy content: he will say it can potentially do a certain amount of work, so its KE=500gm/s (sorry if those units are wrong). Now, imagine another body, with the same ostensible properties, but it also has some weird type of internal energy which increases with v. If IE is its internal energy when observed by a stationary observer, and IE' is its internal energy when observerd by a moving observer, then it's perfectly plausible that its energy content can be given the equation IE/IE'=1/(1+v/c). Then γ ("the difference in total system energy between the moving and stationary observers") would not by definition be 1/2mv^2, but instead would be IE'-IE+1/2mv^2. The amount of useful work it could do might still be 500, but the difference in observation between our two observers (γ) would be 500+(IE'-IE)

My contention is essentially that of the linked mathpages guy:

Since the internal energy of the object doesn’t depend on the speed of the object, it is the same regardless of which system of reference we use. Letting H1 and H2 denote the internal energy of the object before and after the light emissions, and letting E denote the combined energy of those emissions, the total energy of the system in terms of the resting coordinates is

image003.gif


In terms of the moving coordinates we still require conservation of energy, so we can equate the total energy before and after the emissions, which gives (up to second order)

image004.gif


...
One might also challenge the premise that the internal energy of a body is independent of its state of motion. If, instead, we were to postulate that mass (for example) is independent of the state of motion, then the same argument would force us to conclude that the internal energy of a body varies with motion. However, the invariance of internal energy with motion is not really a postulate, it is a definition. We are certainly free to say the total energy of an object consists of two parts, one of which varies with motion and the other of which does not. This then returns us to consideration of the part that does vary with motion, and the assumption that it has the form mv2/2 in the limit as v goes to zero.

Except I think his response is insufficient.
 
Last edited by a moderator:
  • #14
jwdink said:
But then we're back to the other way of formulating my objection:

"2) You could object that KE is defined as 1/2mv^2, but then I could just ask: how do you know that the difference between the energy content of a stationary body and that of a moving body is exactly the classical KE? (Exactly 1/2mv^2?)"

Which still stands. If KE=1/2mv^2, then I don't see why it's the case that "the difference in total system energy between the moving and stationary observers is by definition the kinetic energy [1/2mv^2] of the system as measured by the moving observer." Why does the difference in total energy between two bodies depend ONLY on our Newtonian approximations of how much work the moving body could do (KE)?
It doesn't depend on Newtonian approximations. The difference in total energy must be kinetic if the principle of relativity applies.

There are no changes to the inertial frames of reference here (the stationary system emitting the light and the observer moving at velocity v). The only change in energy is the change caused by the emission of radiation energy. There can be no other change in the total energy of the emitting system in either frame of reference. Otherwise the laws of physics would depend on a body's motion, which is prohibited by the relativity principle.

Say γ is the difference in what a moving and stationary observer measure as a body's energy content. It is certainly conceivable that γ could depend on more than just the mass of the body. Say we have an object with mass M=10 grams, and an observer moving with v=10m/s measures its energy content: he will say it can potentially do a certain amount of work, so its KE=500gm/s (sorry if those units are wrong). Now, imagine another body, with the same ostensible properties, but it also has some weird type of internal energy which increases with v.
I have to stop you here. The principle of relativity, (which Einstein is using here since his E=mc^2 paper is an addendum to his earlier relativity paper) says that all inertial frames of reference are equivalent. There is no such thing as absolute motion. So, by that very principle, there cannot be any change to the laws of physics within each system that results from uniform relative motion. The difference in energy measurements between the two systems is, therefore, kinetic energy (a difference resulting from the relative motion of the two frames of reference) and cannot be internal energy.

. If IE is its internal energy when observed by a stationary observer, and IE' is its internal energy when observerd by a moving observer, then it's perfectly plausible that its energy content can be given the equation IE/IE'=1/(1+v/c). Then γ ("the difference in total system energy between the moving and stationary observers") would not by definition be 1/2mv^2, but instead would be IE'-IE+1/2mv^2. The amount of useful work it could do might still be 500, but the difference in observation between our two observers (γ) would be 500+(IE'-IE)
Such a result would violate the principle of relativity. - see comment above. This touches an interesting and difficult area - the application of relativity to thermodynamics.

AM
 
  • #15
I have to stop you here. The principle of relativity, (which Einstein is using here since his E=mc^2 paper is an addendum to his earlier relativity paper) says that all inertial frames of reference are equivalent. There is no such thing as absolute motion. So, by that very principle, there cannot be any change to the laws of physics within each system that results from uniform relative motion. The difference in energy measurements between the two systems is, therefore, kinetic energy (a difference resulting from the relative motion of the two frames of reference) and cannot be internal energy.

Okay, now we're getting somewhere. (Pretty sure I'll soon figure out how and why I was horribly wrong, or I'll soon convince you.)

My hypothesis doesn't state that the internal energy of the body increases due to absolute motion, it states that a moving observer's measurements of the body's internal energy are greater than a stationary observer's measurements of the body's internal energy. Sorry for not being clearer about that. If there's nothing egregiously misguided about that assertion, then re-read what I said and see if that's a plausible contention.

There can be no other change in the total energy of the emitting system in either frame of reference.

...that wasn't my argument. My argument was that one of the frames of reference sees more emitted energy [than the other one], but this could be plausibly explained by saying that that frame of reference ALSO sees more internal energy (instead of that frame of reference extrapolating that the extra emitted energy came from the mass).
 
Last edited:
  • #16
Forgot to respond to this:

For the reasons I have given above, I do not agree that E=mc^2 depends on the doppler shift. I don't think this paper suggests it does. Doppler shift is a directional phenomenon. What Einstein is relying on is the upward shift in frequency (energy) of light due to the relative motion regardless of the direction of the radiation. This is a shift (by the factor [tex]\gamma[/tex] that is independent of direction so it is not a doppler shift.

Well, Einstein adds a contrivance to take the directionality out, namely, his light source emits in opposite directions. But then he just plugs in the the equation for doppler intensity shift from the electrodynamics paper. This all seems odd if he's just working with the Lorentz transformation for radiant energy. I agree that either works, I just think that historically, this is how it was come up with. I could be wrong-- do you know the original paper in which he derived the Lorentz transformations for radiant energy?
 
  • #17
jwdink said:
Okay, now we're getting somewhere. (Pretty sure I'll soon figure out how and why I was horribly wrong, or I'll soon convince you.)

My hypothesis doesn't state that the internal energy of the body increases due to absolute motion, it states that a moving observer's measurements of the body's internal energy are greater than a stationary observer's measurements of the body's internal energy. Sorry for not being clearer about that. If there's nothing egregiously misguided about that assertion, then re-read what I said and see if that's a plausible contention.

Previously you stated: "Now, imagine another body, with the same ostensible properties, but it also has some weird type of internal energy which increases with v." Now you are asserting that it doesn't really increase. It is just that the observer moving at constant relative speed v measures it to be greater than does the stationary observer.

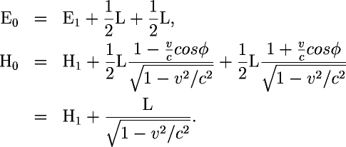
All I can say is that Einstein allowed for that. He simply said let the total energy (internal + kinetic) of the system as measured by the moving observer be H0 before emission and H1 after (E0 and E1 as measured in the stationary system frame). He then said that the difference between the two frames is kinetic energy: K0 = H0-E0 (before emission) and K1=H1-E1 (after emission). The difference in kinetic energy due to emission of light is:

[tex]\Delta K = K1-K0 = (H1-E1) - (H0-E0) = (H1-H0) - (E1-E0) = L(\gamma -1)[/tex]

Einstein never says what H1 and H0 are. All he says is the difference in the before and after total energy of the system as measured in the moving frame was H1-H0. He says that this must equal the energy of the radiation as measured in the moving frame (which we can determine from the Lorentz transformation): [itex]H1-H0 = \gamma L[/itex].

So if the internal energy of the system as measured by the moving observer was something 'weird' it doesn't matter. The only assumption is that the whatever it is, it changes only by the energy that was released.

...that wasn't my argument. My argument was that one of the frames of reference sees more emitted energy [than the other one], but this could be plausibly explained by saying that that frame of reference ALSO sees more internal energy (instead of that frame of reference extrapolating that the extra emitted energy came from the mass).
Again, Einstein allowed for that. He was not concerned with how much more energy the moving observer sees. He was only concerned with the change in that energy. He applied conservation of energy and said that the difference was equal to the energy of the radiation emitted by the system. Since v doesn't change, the measurement of H1 differs from H0 only by the measured energy of the released radiation - and we know what that is.

AM
 
  • #18
Previously you stated: 1) "Now, imagine another body, with the same ostensible properties, but it also has some weird type of internal energy which increases with v." ... 2) It is just that the observer moving at constant relative speed v measures it to be greater than does the stationary observer.

Not sure what you mean here; according to relativity, 1 and 2 are equivalent statements. My measurements in a stationary coordinate system of a moving body (with velocity v) are symmetrical with my measurements in a moving system (with velocity -v) of a stationary body. If an observer moving at v measures a stationary body to have more energy than it did while stationary, then a stationary observer will measure that moving body as having more energy than it did when it was stationary. In other words, it looks like it has more energy while its moving: it has some weird type of internal energy which increases with v.

He then said that the difference between the two frames is kinetic energy: K0 = H0-E0 (before emission) and K1=H1-E1 (after emission).

But THAT is what I'm objecting to! If you assume their energy difference (before and after) is equal to 1/2mv2, then you are assuming H0 and H1 won't have some augmented internal energy. So, by stating that K0 = H0-E0 and K1=H1-E1, Einstein is tacitly asserting something about the internal energy (namely, that different observers don't measure it differently), even if he's not explicitly making any statements about it. So Einstein implicitly does NOT allow for the situation I described above, conceivable as it is.
 
Last edited:
  • #19
jwdink said:
Not sure what you mean here; according to relativity, 1 and 2 are equivalent statements. My measurements in a stationary coordinate system of a moving body (with velocity v) are symmetrical with my measurements in a moving system (with velocity -v) of a stationary body. If an observer moving at v measures a stationary body to have more energy than it did while stationary, then a stationary observer will measure that moving body as having more energy than it did when it was stationary. In other words, it looks like it has more energy while its moving: it has some weird type of internal energy which increases with v.
I don't want to belabour the point. You had stated that the stationary emitting system had some kind of "weird" internal energy that increased with v. I inferred from that that it was an energy which most other systems did not have. In any event, it does not matter. Einstein allowed for it.
But THAT is what I'm objecting to! If you assume their energy difference (before and after) is equal to 1/2mv2, then you are assuming H0 and H1 won't have some augmented internal energy.
No. This is where I think you are going astray. H0 and H1 can have any kind of augmented internal energy. If it depends on v, then there is no change in that augmented energy since v does not change. All Einstein said was that the difference between H0 and H1 is the energy of the radiation that is emitted, as measured by the moving observer. Why would the actual value of H0 and H1 matter so long as we know what the difference is?

So, by stating that K0 = H0-E0 and K1=H1-E1, Einstein is tacitly asserting something about the internal energy (namely, that different observers don't measure it differently), even if he's not explicitly making any statements about it. So Einstein implicitly does NOT allow for the situation I described above, conceivable as it is.
Actually, he is allowing for the situation you described above, as I explained in my previous post.

Let's say that H0 = IE + f(v) where IE is the internal energy measured in the rest frame of the emitter and f(v) is some arbitrary function of velocity. Then

[tex]H_0 = IE + f(v)[/tex]
[tex]H_1 = IE + f(v) - \gamma L[/tex]

[tex]H_0-H_1 = \gamma L[/tex]

AM
 
Last edited:
  • #20
No. This is where I think you are going astray. H0 and H1 can have any kind of augmented internal energy. If it depends on v, then there is no change in that augmented energy since v does not change. All Einstein said was that the difference between H0 and H1 is the energy of the radiation that is emitted, as measured by the moving observer. Why would the actual value of H0 and H1 matter so long as we know what the difference is?

It seems like you are suggesting I'm objecting to gamma. But I'm not. H0-H1=energy emitted, and that's perfectly fine.

That gives him these steps, and ONLY these steps:

eq2.gif

eq3.gif


That is very clearly NOT what I'm objecting to. I'm objecting to these later steps:

eq4.gif

eq5.gif


Which, do NOT make the internal energy irrelevant, but-- for the presupposition that the difference in energy content to be equal to 1/2mv2 to work--depend on it being the same whether regarded from E or H. So you're right that your f(v) is irrelevant when talking about energy before and after emission in a given system, but its NOT irrelevant when asserting the difference between two systems at a given moment is classical KE. I'm not objecting to H0-H1=gamma, I'm objecting to K0 = H0-E0 and K1=H1-E1.

-----

This can be shown in great detail. IF we presuppose the difference in energy between the two systems is KE, then the following steps are valid:

E0TE=E0IE+E0KE (sta syst: total energybef = internal +kinetic)
E1TE=E1IE+E1KE (sta syst: total energyaft = internal +kinetic)

H0TE=H0IE+H0KE (mov syst: total energybef = internal +kinetic)
H1TE=H1IE+H1KE(mov syst: total energyaft = internal +kinetic)

Now we subtract these two rows.

1) IF KE is 0 in the stationary system, then E0KE=0 and E1KE=0.

2) IF E1IE=H1IE, and IF H0IE=E0IE

THEN and ONLY THEN is this true:

H1TE-E1TE=H1KE (Total energy of moving system(bef) - total energy of stationary system(bef) = 1/2m(b)v2)
H0TE-E0TE=E0KE (Total energy of moving system(aft) - total energy of stationary system(aft) = 1/2m(a)v2

i.e., the difference in energy of the two systems is kinetic-- based on step 2). Then we could say that the difference in these two kinetic energies is equal to the change in energy upon emission

The argument doesn't work if step 2) isn't true. Equations above become:

E0TE=E0IE(sta)+E0KE (sta syst: total energybef = internal(sta) +kinetic)
E1TE=E1IE(sta)+E1KE (sta syst: total energyaft = internal(sta) +kinetic)

H0TE=H0IE(mov)+H0KE (mov syst: total energybef = internal(mov) +kinetic)
H1TE=H1IE(mov)+H1KE(mov syst: total energyaft = internal(mov) +kinetic)

EnKE still is 0, but now, when we try and subtract, we get:

H1TE-E1TE=H1KE + (H1IE(mov)-E1IE(sta)) (TE of moving system(bef) - TE of stationary system(bef) = 1/2mv2+[diff in internal energy(bef) between two systems])
H0TE-E0TE=E0KE + (H0IE(mov)-E0IE(sta)) (TE of moving system(aft) - TE of stationary system(aft) = 1/2mv2+[diff in internal energy(aft) between two systems])

In this case, the kinetic energy might've changed upon emission, OR the difference in internal energy might've decreased.
 

Attachments

  • eq2.gif
    eq2.gif
    3.5 KB · Views: 410
Last edited:
  • #21
I don't think you can say that:

[tex]H_0^{TE}=H_0^{IE} + H_0^{KE}[/tex]

Einstein did not distinguish different forms of energy. He simply observed that the kinetic energy of the stationary system as measured by the moving observer was:

[tex]H_0^{KE} = H_0^{TE} - E_0^{TE}[/tex]

You are trying to argue that [itex]H_0^{KE} = H_0^{TE} - H_0^{IE}[/itex] which, as you observe, would only be true if [itex]E_0^{TE} = E_0^{IE}= H_0^{IE}[/itex].

But the problem is that [itex]H_0^{IE}[/itex] is a measure by the moving observer of the internal energy of the stationary system. Any difference between [itex]H_0^{IE}[/itex] and [itex]E_0^{IE}[/itex] would appear to be kinetic energy - energy by virtue of the relative motion between the stationary and moving observer.

AM
 
  • #22
Andrew Mason said:
I don't think you can say that:

[tex]H_0^{TE}=H_0^{IE} + H_0^{KE}[/tex]

Einstein did not distinguish different forms of energy.

That's true by definition. The total energy of a body (in a given perspective) is all of its internal energy plus all of its kinetic energy. What other energy would it have?

He simply observed that the kinetic energy of the stationary system as measured by the moving observer was:

[tex]H_0^{KE} = H_0^{TE} - E_0^{TE}[/tex]

You are trying to argue that [itex]H_0^{KE} = H_0^{TE} - H_0^{IE}[/itex] which, as you observe, would only be true if [itex]E_0^{TE} = E_0^{IE}= H_0^{IE}[/itex].

See, I'm pretty sure you're thinking about this backwards. You assert here that [itex]H_0^{KE} = H_0^{TE} - E_0^{TE}[/tex] is obviously true, while [itex]H_0^{KE} = H_0^{TE} - H_0^{IE}[/itex] isn't necessarily true. It seems to be clear that it's the other way around: I have no reason to believe that the difference in the body's total energy content from system to system will be its kinetic energy (where KE=1/2mv^2, mind you), while its inconceivable that the body's total energy content in a given system could be anything but its kinetic plus internal energy. How are you thinking of it?<br /> <br /> <blockquote data-attributes="" data-quote="" data-source="" class="bbCodeBlock bbCodeBlock--expandable bbCodeBlock--quote js-expandWatch"> <div class="bbCodeBlock-content"> <div class="bbCodeBlock-expandContent js-expandContent "> But the problem is that [itex]H_0^{IE}[/itex] is a measure by the moving observer of the internal energy of the stationary system. Any difference between [itex]H_0^{IE}[/itex] and [itex]E_0^{IE}[/itex] would appear to be kinetic energy - energy by virtue of the relative motion between the stationary and moving observer.<br /> <br /> AM </div> </div> </blockquote><br /> Now you're playing fast and loose with the term "Kinetic Energy." You can say EITHER a) KE is <i>by definition</i> 1/2mv<sup>2</sup>, OR you can say b) KE is <i>by definition</i> energy by virtue of the relative motion between the stationary and moving observer. But you can't assert BOTH by definition. So prove to me ONE of these statements, and then I will be willing to accept the OTHER one by definition.[/itex]
 
Last edited:
  • #23
jwdink said:
That's true by definition. The total energy of a body (in a given perspective) is all of its internal energy plus all of its kinetic energy. What other energy would it have?

Essentially, if I understand you correctly, you are taking issue with this part of Einstein's analysis and, in particular, the additive constant C being the same before and after emission of the light:
Albert Einstein - Sept 27 said:
"The two differences of the form H - E occurring in this expression have simple physical significations. H and E are energy values of the same body referred to two systems of co-ordinates which are in motion relatively to each other, the body being at rest in one of the two systems (system (x, y, z)). Thus it is clear that the difference H - E can differ from the kinetic energy K of the body, with respect to the other system [itex](\xi,\eta,\zeta)[/itex], only by an additive constant C, which depends on the choice of the arbitrary additive constants of the energies H and E. Thus we may place

[tex]H_0 - E_0 = K_0 + C[/tex]
[tex]H_1 - E_1 = K_1 + C[/tex]

since C does not change during the emission of light.

All Einstein is saying here is (using your nomenclature):

[tex]H_0^{IE} = E_0^{IE} + C[/tex] and

[tex]H_0^{TE} = E_0^{IE} + C + H_0^{KE}[/tex]

He could have used f(v) instead of C:

[tex]H_0^{TE} = E_0^{IE} + f(v) + H_0^{KE}[/tex] and

[tex]H_1^{TE} = E_1^{IE} + f(v) + H_1^{KE}[/tex]

Since [itex]E_0^{IE} = E_0^{TE}[/itex] you have Einstein's result:

1. [tex]H_0^{TE} - E_0^{TE} = f(v) + H_0^{KE}[/tex]

2. [tex]H_1^{TE} - E_1^{TE} = f(v) + H_1^{KE}[/tex]

The result is (subtracting 2. from 1.):

[tex](H_0^{TE} - E_0^{TE}) - (H_1^{TE} - E_1^{TE})= H_0^{KE} - H_1^{KE}[/tex]

The LS is [itex]L(\gamma -1)[/itex] and the RS is [itex]\Delta KE[/itex] and you end up with L = mc^2.

AM
 
Last edited:
  • #24
Essentially, if I understand you correctly, you are taking issue with this part of Einstein's analysis and, in particular, the additive constant C being the same before and after emission of the light:

Einstein's C is just a constant having to do with arbitrary zero point in units, if I understood it correctly. You can't use it here in place of f(v), because C stays constant before and after emission by definition. But whether f(v)'s value is variable depending on energy content, or whether m is variable depending on energy content-- this is what's under debate. You can't make f(v) by definition the same before and after emission. The point of this contention is that, instead of mass diminishing by L/c2, f(v)'s value does.

It might be better to think of f(v) as a sort of coefficient of the internal energy. Rewriting what you wrote:

[tex]H_0^{TE} = f(v)E_0^{IE} + H_0^{KE}[/tex] and

[tex]H_1^{TE} = f(v)E_1^{IE} + H_1^{KE}[/tex]

Since [itex]E_0^{IE} = E_0^{TE}[/itex] and [itex]E_1^{IE} = E_1^{TE}[/itex], you have:

1. [tex]H_0^{TE} = f(v)E_0^{TE} + H_0^{KE}[/tex] and

2. [tex]H_1^{TE} = f(v)E_1^{TE} + H_1^{KE}[/tex]

Which is much less amenable to proving that kinetic energy had to change, since, if its the case that [itex]H_0^{TE} = f(v)E_0^{TE}[/itex] and [itex]H_1^{TE} = f(v)E_1^{TE}[/itex], then there need be no change in kinetic energy at all. In other words, let's try and show what the difference between the total energy of the moving and stationary systems is equal to, as before. It's no longer simply kinetic energy. We subtract [itex]E_0^{TE}[/itex] and [itex]E_1^{TE}[/itex] from both sides of 1 and 2, respectively.

3. [tex]H_0^{TE}-E_0^{TE} = f(v)E_0^{TE}-E_0^{TE} + H_0^{KE}[/tex]

4. [tex]H_1^{TE}-E_1^{TE} = f(v)E_1^{TE}-E_1^{TE} + H_1^{KE}[/tex]

3.' [tex]H_0^{TE}-E_0^{TE} = (f(v)-1)E_0^{TE} + H_0^{KE}[/tex] [Simplified.]

4.' [tex]H_1^{TE}-E_1^{TE} = (f(v)-1)E_1^{TE} + H_1^{KE}[/tex] [Simplified.]

Now let's postulate that the kinetic energy didn't change, so that [itex]H_0^{KE}=H_1^{KE}[/itex]. We subtract 3' and 4' from each other, much like before.

[tex](H_1^{TE}-E_1^{TE})-(H_0^{TE}-E_0^{TE})=(f(v)-1)E_1^{TE}-(f(v)-1)E_0^{TE}[/tex]

OR:

[tex](H_1^{TE}-E_1^{TE})-(H_0^{TE}-E_0^{TE})=(f(v)E_1^{TE}-E_1^{TE})-(f(v)E_0^{TE}-E_0^{TE})[/tex]

In plain english:

The body's energy content decreased upon emission MORE in the moving system than in the stationary. We'll call this value L/c2.

The body's internal energy was GREATER in the moving system than in the stationary. We'll call this value IE0 before emission, and IE1 after.

The above equation states that IE0-IE1=L/c2

So you see, if you allow for the internal energy to augment upon movement, it will not just cancel out, but can actually be the thing that decreases instead of mass. Since there's a little extra IE due to movement, it can account for the little extra energy light has due to movement.
 
Last edited:
  • #25
jwdink said:
So you see, if you allow for the internal energy to augment upon movement, it will not just cancel out, but can actually be the thing that decreases instead of mass. Since there's a little extra IE due to movement, it can account for the little extra energy light has due to movement.
I will study your post a little more. You seem to be saying that Einstein was wrong in asserting that the additive constant C was not the same after emission as before. However, your last sentence (quoted above) seems to violate the relativity principle. We know what the effect of movement has on the measurement of the energy of light. Light cannot have a different or 'a little extra' energy because of movement.

AM
 
  • #26
However, your last sentence (quoted above) seems to violate the relativity principle. We know what the effect of movement has on the measurement of the energy of light. Light cannot have a different or 'a little extra' energy because of movement.

My phrase "the little extra energy light has" WAS referring to the effects that movement has on light. What else would I be referring to?

I feel like maybe this whole discussion has gotten a bit obscured. What I'm saying really shouldn't be that nebulous. A restatement is in order. Let me know if you think that any of these steps are not true.

1) Einstein says that when a source is regarded as moving, its light looks like it has more energy (than that light emitted by a stationary source). In other words, a moving emitter gives off more energetic light. L/L'=energys/energym

2) Then Einstein asks: where does the light's increased energy come from? Well, in the stationary system, the light energy L came from the body, and in the moving system the light energy L' came from the body. The only difference between these two systems is that in the latter, the body is moving, and that L' is bigger than L. Thus, his answer: the light's increased energy came from the energy the body has due to its movement.

3) Einstein asserts that this energy of the body due to movement is KE, which depends only on m and v, and since v didn't change, m changed. This assertion DEPENDS on the fact that the ONLY energy the body has due to its movement is KE=1/2mv2.

3') I argue that the body could have increased internal energy due to its movement as well as just 1/2mv2 energy due to its movement, and therefore this thought-experiment isn't necessarily a proof that the mass diminished, because there is another factor to diminish aside from just m and v-- namely, IE'. In other words, the energy the body has due to its movement is NOT merely KE=1/2mv2-- an assertion upon which 3) depended.

So you see, it really isn't a tremendously convoluted proof, nor a tremendously complicated contention, nor does it at any point violate the relativity principle (since any time I said "movement" above, I was referring to "relative movement"). Hopefully a summary is helpful, since I think we're just talking past each other on the language. Let me know if you think I have misrepresented Einstein at all. Otherwise, I'm not sure how you can disagree. You should still look more closely at those equations above, I just thought a summary would give perspective, so as to reveal the forest instead of just trees.
 
Last edited:
  • #27
jwdink said:
My phrase "the little extra energy light has" WAS referring to the effects that movement has on light. What else would I be referring to?

I feel like maybe this whole discussion has gotten a bit obscured. What I'm saying really shouldn't be that nebulous. A restatement is in order. Let me know if you think that any of these steps are not true.

1) Einstein says that when a source is regarded as moving, its light looks like it has more energy (than that light emitted by a stationary source). In other words, a moving emitter gives off more energetic light. L/L'=energys/energym
Since we are trying to be completely accurate, a moving emitter does not give off more energetic light. First, it depends upon the direction in which the light is emitted relative to the relatively moving observer. If the light is emitted away from the moving observer, there would be a measured decrease in the emitter's mass even though the light would have less not more energy in the moving system. Second, the energy of the light is the same whether it is moving or not relative to an observer. It is just that the measurement of that light energy will differ in different inertial reference frames.

2) Then Einstein asks: where does the light's increased energy come from? Well, in the stationary system, the light energy L came from the body, and in the moving system the light energy L' came from the body. The only difference between these two systems is that in the latter, the body is moving, and that L' is bigger than L. Thus, his answer: the light's increased energy came from the energy the body has due to its movement.
.
I do not think that is what Einstein is asking. Certainly Einstein is not saying "the light's increased energy came from the energy the body has due to its movement." The energy comes from the diminished mass of the emitting system. The change in kinetic energy is simply a way to demonstrate that such a change in mass has occurred.

The question Einstein is seeking to answer is, 'how is the mass of the emitting system affected by emission of energy?' He uses measurement of kinetic energy to measure mass. He notes that the moving observer would measure a reduction in the kinetic energy of the emitting system. Since speed (v) has not changed with the emission of radiation, the mass must have diminished by an amount [itex]\Delta m = L/c^2[/itex]. The conversion of this mass into light energy is what gives the light ALL of its energy. In fact, the moving observer measures a loss of mass of [itex]\gamma \Delta m[/itex] but the difference is many orders of magnitude less than [itex]\Delta m[/itex] for low speeds (v<<c).

3) Einstein asserts that this energy of the body due to movement is KE, which depends only on m and v, and since v didn't change, m changed. This assertion DEPENDS on the fact that the ONLY energy the body has due to its movement is KE=1/2mv2.
No. He says the measurement of the internal energy of the emitting system by the moving observer can differ by an arbitrary amount which is a function of v.

3') I argue that the body could have increased internal energy due to its movement as well as just 1/2mv2 energy due to its movement, and therefore this thought-experiment isn't necessarily a proof that the mass diminished, because there is another factor to diminish aside from just m and v-- namely, IE'. In other words, the energy the body has due to its movement is NOT merely KE=1/2mv2-- an assertion upon which 3) depended.
There may be assumptions used by Einstein which are not as "clear" as he suggests, such as the constant C he refers to is the same before and after emission.

I have no doubt he is correct because E = mc^2 can be proven much more clearly using an entirely different approach (as per my first post in this thread). He demonstrates E = mc^2 in a way that, it seems to me, is not very illuminating. The physical reason for E = mc^2 is the fact that em radiation carries momentum - em radiation causes mass to move and there is a delay between the reaction force of the emitter and the reaction of the receiving mass. This can only be explained if energy carries inertia.

So you see, it really isn't a tremendously convoluted proof, nor a tremendously complicated contention, nor does it at any point violate the relativity principle (since any time I said "movement" above, I was referring to "relative movement"). Hopefully a summary is helpful, since I think we're just talking past each other on the language. Let me know if you think I have misrepresented Einstein at all. Otherwise, I'm not sure how you can disagree. You should still look more closely at those equations above, I just thought a summary would give perspective, so as to reveal the forest instead of just trees.

I see a point to your analysis, which is quite well done and well argued by the way, if you are trying to show some possible gaps in the 'proof' used by Einstein in his 1905 paper. But if you are actually attempting to show that [itex]E \ne mc^2[/itex] you will not succeed. There is overwhelming evidence that it is correct. There are also other and better ways of deducing this relationship between mass and energy.

AM
 
Last edited:
  • #28
Since we are trying to be completely accurate, a moving emitter does not give off more energetic light. First, it depends upon the direction in which the light is emitted relative to the relatively moving observer. If the light is emitted away from the moving observer, there would be a measured decrease in the emitter's mass even though the light would have less not more energy in the moving system.

Fair enough. I should've said "a moving emitter which emits two light beams in opposite directions gives off more energetic light (overall)."

Second, the energy of the light is the same whether it is moving or not relative to an observer. It is just that the measurement of that light energy will differ in different inertial reference frames.

Not sure what the difference here is. Are you saying there's some "energy" which is independent of all our measurements of it? That's not very Einsteinian.

I do not think that is what Einstein is asking. Certainly Einstein is not saying "the light's increased energy came from the energy the body has due to its movement." The energy comes from the diminished mass of the emitting system. The change in kinetic energy is simply a way to demonstrate that such a change in mass has occurred.

Hmm, not sure how that's different. The body has energy due to its movement BECAUSE it has mass. Pre-energy-mass-equivalence, there's no reason to think that a massless body would acquire energy from being moved. Right? You might be able to help me here, I haven't entirely cleared this up in my head. It seems I'd be saying essentially the same thing if I said that "the motion of the emitter causes increased measurements of light's energy (L') and of the body's energy (KE). The conservation of energy means that the light's energy must have come from the body, and measurements of extra light energy must have come from what we measure as extra body energy-- which it has from the movement of its mass." So while it's true that Einstein is saying that the light energy comes from the diminished mass of the system, it seems like the increased amount of light energy which a moving body emits must come from that moving body imparting momentum (as you've said), and therefore from "the energy the body has due to its movement."

3) Einstein asserts that this energy of the body due to movement is KE, which depends only on m and v, and since v didn't change, m changed. This assertion DEPENDS on the fact that the ONLY energy the body has due to its movement is KE=1/2mv2.

No. He says the measurement of the internal energy of the emitting system by the moving observer can differ by an arbitrary amount which is a function of v.

Again, sorry, I was speaking too loosely. Restated: "3) Einstein asserts that the total energy of the body is KE+C, and since C doesn't change, then the energy of the body due to movement is KE. Since KE depends only on m and v, and since v didn't change, m must have changed. This assertion DEPENDS on the fact that the ONLY energy the body has due to its movement is KE=1/2mv2, and that C doesn't diminish when the body emits light.

There may be assumptions used by Einstein which are not as "clear" as he suggests, such as the constant C he refers to is the same before and after emission.

Hmm. I'd say this isn't just him being unclear, and thereby just a problem with the exposition, but actually a legitimate cool person in his argument's armor. Unless he could PROVE that C doesn't change, we have no reason to believe that it should stay the same and m should change instead. Considering the radicality of e=mc^2, I'd say this is an important cool person.

I have no doubt he is correct because E = mc^2 can be proven much more clearly using an entirely different approach (as per my first post in this thread). He demonstrates E = mc^2 in a way that, it seems to me, is not very illuminating. The physical reason for E = mc^2 is the fact that em radiation carries momentum - em radiation causes mass to move and there is a delay between the reaction force of the emitter and the reaction of the receiving mass. This can only be explained if energy carries inertia.
...
I see a point to your analysis, which is quite well done and well argued by the way, if you are trying to show some possible gaps in the 'proof' used by Einstein in his 1905 paper. But if you are actually attempting to show that E doesn't equal mc^2 you will not succeed. There is overwhelming evidence that it is correct. There are also other and better ways of deducing this relationship between mass and energy.

Oh, no, I'm just trying to figure out the validity of the proof. Of course e=mc^2 is true. But the paper I'm writing, as I mentioned, depends on the proof being valid-- again, not as a comprehensive mathematical and logical proof of e=mc^2 in general, but as a valid argument that points to the fact that "mass" must merely be a shadow of something else, and not some indicator of amount of underlying and imperishable "stuff." Just as length and time turned out to be non-invariant "shadows" of invariant time-space intervals, so too is mass a "shadow" of some invariant measurement of energy.

The whole point of the paper is to show us that science's empiricism can tell us we're wrong about some pretty philosophical/metaphysical/apriori notions. While the thought-experiment isn't itself empirical, it is heavily dependent on science's usage of empiricism via obscurely intricate measurements, mathematical proofs with often hazy physical signification, and etc. But if the thought-experiment wasn't valid, then it would be a bad example of this curious ability of science.

However, as I said in the other thread (to which I linked above), the thought experiment is valid, just a bit incomplete in exposition. While it is of course possible that C could change, this cannot account for all of the augmented light energy. Why? This can be easily seen from the inverse thought experiment. We imagine two light emitters moving in the same direction with velocity v on either side of a body, which they are illuminating. One of them is moving in the direction of propagation, and therefore exhibits an increased energy of radiation, while the other is moving opposite the direction of propagation, and therefore exhibits diminished energy. My contention above hypothesized that a moving body has greater internal energy, and therefore emits more intense light— but in this example we can see that this is patently false, since one of the moving flashlights gives off less energy. While its still possible that a moving body has greater internal energy, this cannot account for the doppler effect. At least some of the energy of light has to be due to the momentum of the body being imparted to the light, because momentum is directional. When we look back at the original Einstein thought-experiment, we get to say "well, C could've changed some, but we know from that 2nd thought-experiment that this doesn't account for L'-L. L'-L must come from the kinetic energy. Therefore it must come from the mass.
 
  • #29
jwdink said:
The whole point of the paper is to show us that science's empiricism can tell us we're wrong about some pretty philosophical/metaphysical/apriori notions. While the thought-experiment isn't itself empirical, it is heavily dependent on science's usage of empiricism via obscurely intricate measurements, mathematical proofs with often hazy physical signification, and etc. But if the thought-experiment wasn't valid, then it would be a bad example of this curious ability of science.
There is nothing wrong with questioning the validity of Einstein's proof of E=mc^2. I had some difficulty myself in explaining Einstein's assertion that the additive constant C was the same in each of:

1) [tex]H_0 - E_0 = K_0 + C[/tex],

2) [tex]H_1 - E_1 = K_1 + C[/tex].


As I understand your argument, you agree that:

3) [tex]E_0 - E_1 = L[/tex], and

4) [tex]H_0 - H_1 = \gamma L[/tex]

but you say it could be that:

A) [tex]H_0 = f(v)E_0 + K_0[/tex] and

B) [tex]H_1 = f(v)E_1 + K_1[/tex]


However if one let's C = f(v)E_0 - E_0, A) can be written:

C) [tex]H_0 = E_0 + C + K_0[/tex]

And B) can be rewritten:

D) [tex]H_1 = f(v)E_1 + K_1 = f(v)(E_0 - L) + K_1 = f(v)(E_0) - f(v)L + K_1 = E_0 + C - f(v)L + K_1[/tex]

Subtracting D) from C):

E) [tex]H_0 - H_1 = K_0 - K_1 + f(v)L[/tex]

But we know that:

4) [tex]H_0 - H_1 = \gamma L[/tex]

Subtracting 3) from 4) gives:

5) [tex](H_0 - H_1) - (E_0 - E_1) = L(\gamma - 1)[/tex]

and subtracting 3) from E) gives:

F) [tex](H_0 - H_1) - (E_0 - E_1) = K_0 - K_1 + (L\gamma - f(v)L)[/tex]

So, Einstein would be correct if [itex](L\gamma - f(v)L) = 0[/tex]<br /> <br /> This, of course, is the case since f(v)L is defined as the moving observer's measurement of the emitted energy L. <br /> <br /> <blockquote data-attributes="" data-quote="" data-source="" class="bbCodeBlock bbCodeBlock--expandable bbCodeBlock--quote js-expandWatch"> <div class="bbCodeBlock-content"> <div class="bbCodeBlock-expandContent js-expandContent "> However, as I said in the other thread (to which I linked above), the thought experiment is valid, just a bit incomplete in exposition. While it is of course possible that C could change, this cannot account for <i>all</i> of the augmented light energy. Why? This can be easily seen from the inverse thought experiment. We imagine two light emitters moving in the same direction with velocity v on either side of a body, which they are illuminating. One of them is moving in the direction of propagation, and therefore exhibits an increased energy of radiation, while the other is moving opposite the direction of propagation, and therefore exhibits diminished energy. My contention above hypothesized that a moving body has greater internal energy, and therefore emits more intense light— but in this example we can see that this is patently false, since one of the moving flashlights gives off less energy. While its still possible that a moving body has greater internal energy, this cannot account for the doppler effect. At least some of the energy of light has to be due to the momentum of the body being imparted to the light, because momentum is directional. When we look back at the original Einstein thought-experiment, we get to say "well, C could've changed some, but we know from that 2nd thought-experiment that this doesn't account for L'-L. L'-L must come from the kinetic energy. Therefore it must come from the mass. </div> </div> </blockquote>You have to stick to the mathematics. These kind of arguments can be deceptive.<br /> <br /> BTW, your contention that "At least some of the energy of light has to be due to the momentum of the body being imparted to the light" is not consistent with SR. SR states that the light moves at the same velocity regardless of the velocity of the source. The light is not "attached" to the reference frame of the emitter. Light cannot be attached to any inertial reference frame since it moves at speed c relative to ALL inertial reference frames. So the emitter does not impart momentum to the light. Rather it is the measurement of its energy by another observer in another inertial frame of reference that explains the difference in momentum/energy measurements of the light.<br /> <br /> AM[/itex]
 
  • #30
You have to stick to the mathematics. These kind of arguments can be deceptive.

Not quite sure what you're referring to here. Which kind of arguments?

BTW, your contention that "At least some of the energy of light has to be due to the momentum of the body being imparted to the light" is not consistent with SR. SR states that the light moves at the same velocity regardless of the velocity of the source. The light is not "attached" to the reference frame of the emitter. Light cannot be attached to any inertial reference frame since it moves at speed c relative to ALL inertial reference frames. So the emitter does not impart momentum to the light. Rather it is the measurement of its energy by another observer in another inertial frame of reference that explains the difference in momentum/energy measurements of the light.

Hmm. I think you're losing me here. If I'm wrong about this, I should revise a couple of paragraphs in my paper. So I guess I'd better figure out if I'm wrong about this.

I'm well aware that light's velocity can't increase, but that's not what I meant by momentum being imparted. How exactly does it end up getting explained WHY the intensity and frequency of light is augmented? I thought this thought experiment showed that light was more like a projectile that we thought, which can be "pushed" by, and can itself "push," other bodies--not by being imparted or imparting more velocity--but because it has energy, and energy has inertia, which is essentially "pushing power" (i.e., a body's resistance to "push" and therefore its equal and opposite "push" back). This makes it more like a projectile because a projectile can hit you harder due to its emitter's movement towards you, OR due to your movement towards the emitter. In fact, the principle of relativity states that these are the same situation.

Now, in your language above, it sounds like you're stating it in terms incommensurable with relativity. You say "The light is not "attached" to the reference frame of the emitter," But the you also say "Rather it is the measurement of its energy by another observer in another inertial frame of reference that explains the difference in momentum/energy measurements of the light." 'Another' from what? If light isn't attached to a reference frame, then there's no "other" reference frames.

I thought that light was attached to reference frames, just not its velocity, but its intensity and frequency. Then, if it was attached to the reference frame of the emitter, then it could exhibit augmented intensity, as explained EITHER by my motion relativity to the emitter, OR the emitter's motion relative to me. Again, it's like a projectile, say, a bullet, that hits you with more energy if the gun is moving towards you, or if you're running towards the gun.

But if I'm misunderstanding something, it's important for me to get that cleared up.
 

Similar threads

  • · Replies 14 ·
Replies
14
Views
3K
  • · Replies 4 ·
Replies
4
Views
3K
  • · Replies 1 ·
Replies
1
Views
2K
  • · Replies 16 ·
Replies
16
Views
2K
Replies
8
Views
4K
  • · Replies 2 ·
Replies
2
Views
2K
  • · Replies 17 ·
Replies
17
Views
2K
  • · Replies 54 ·
2
Replies
54
Views
12K
  • · Replies 14 ·
Replies
14
Views
4K
  • · Replies 7 ·
Replies
7
Views
3K