Help me to understand how integrating this function works

Click For Summary

Discussion Overview

The discussion revolves around understanding the integration of functions related to acceleration and velocity, particularly in the context of differential equations. Participants explore various methods of integration, the dependencies of variables, and the implications of their approaches on the results obtained.

Discussion Character

  • Exploratory
  • Technical explanation
  • Debate/contested
  • Mathematical reasoning

Main Points Raised

  • Some participants question the integration process, particularly regarding the treatment of variables as constants versus functions of time.
  • There is a discussion about the correct form of the integral, with emphasis on the dependency of ##v## on ##t## and the need to separate variables before integrating.
  • One participant suggests that integrating both sides with respect to ##t## is a valid approach, while others challenge this by pointing out potential errors in treating ##v## as a constant.
  • Concerns are raised about discrepancies in results when integrating different equations for acceleration, with participants seeking clarification on why the answers differ.
  • Another participant provides a specific solution to the differential equation presented in the discussion, offering a formula for ##v(t)## and its implications for ##s(t)##.

Areas of Agreement / Disagreement

Participants express differing views on the integration methods and the treatment of variables, indicating that multiple competing perspectives remain. The discussion does not reach a consensus on the correct approach or the validity of the results obtained.

Contextual Notes

Participants highlight limitations in understanding the relationships between variables and the assumptions made during integration. There are unresolved questions regarding the integration steps and the dependencies of the variables involved.

Kalarudra
Messages
9
Reaction score
0
TL;DR
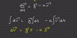
Why picture 1 can integrate the acceleration without moving (g-kV) to the dv segment? I tried to prove it if it's true by doing something similar in figure 2 but the integral result shows a difference between the left and right sides so am I wrong? then what conditions must be met in the integral operation so that image one can be said to be correct
IMG_20250209_162143.jpg
Picture 1
IMG_20250209_162818.jpg
Picture 2
 
Physics news on Phys.org
:welcome:

Please check the PF guidelines -- your post is hard to understand

Kalarudra said:
... by doing something similar in figure 2 but the integral result shows a difference between the left and right sides so am I wrong?
Please explain what you are doing here:
1739098854694.png
In the first step one would expect $$\int \sqrt{4v+1} \, dt$$ (##dt##, not ##t##) which with ##v = t^2 + t## (dependent on ##t##, so not a constant that can be taken out of the integral) would become $$\int \sqrt { 4 t^2+ 4t +1} \, dt =\frac {t(t+1)\sqrt{(2t+1)^2} }{2t+1}$$ and now ##\int_0^1=2## as expected

##\ ##
 
  • Like
Likes   Reactions: Ibix
Is the first approach not just integrating both sides with respect to ##t## and using that ##\int_{t=t_0}^{t_1}\frac{dv}{dt}dt=\int_{v=v(t_0)}^{v(t_1)}dv## to simplify the left hand side? I'm sure you can do it by other methods if you want.
 
BvU said:
:selamat datang:

Silakan periksa pedoman PF -- postingan Anda sulit dipahami


Tolong jelaskan apa yang Anda lakukan di sini:
Pada langkah pertama, kita akan mengharapkan $$\int \sqrt{4v+1} \, dt$$ (##dt##, bukan ##t##) yang dengan ##v = t^2 + t## (bergantung pada ##t##, jadi bukan konstanta yang dapat dikeluarkan dari integral) akan menjadi $$\int \sqrt { 4 t^2+ 4t +1} \, dt =\frac {t(t+1)\sqrt{(2t+1)^2} }{2t+1}$$ dan sekarang ##\int_0^1=2## seperti yang diharapkan

##\ ##
Sorry i tried to integrate the acceleration equation with respect to v that i got, but why i cant get same answer when i used v=2 without Spell out V into v equation with respect to t
 
Kalarudra said:
Sorry i tried to integrate the acceleration equation with respect to v that i got, but why i cant get same answer when i used v=2 without Spell out V into v equation with respect to t
In picture 1 there is acceleration equation with respect to v. When it will integrate dv alone and dt moved to other side joint with g-kv. and after integrating the equation the result is v=gt-kS that S is the trajectory. Is it correct?
 
In addition to what has already been said, note that
1. You can drop the vector signs and write $$\frac{dv}{dt}=g-\kappa v.$$ 2. You have two variables, ##v## and ##t## which you must separate before integrating. To separate means to have variables of only one kind on each side and write $$\frac{dv}{(g-\kappa v)}=dt.$$ You can now integrate because you have separated variables. Don't forget that integration is basically a summation so when you add things together they must be of the same kind and not a mixture of two.
 
  • Like
Likes   Reactions: Demystifier
kuruman said:
In addition to what has already been said, note that
1. You can drop the vector signs and write $$\frac{dv}{dt}=g-\kappa v.$$ 2. You have two variables, ##v## and ##t## which you must separate before integrating. To separate means to have variables of only one kind on each side and write $$\frac{dv}{(g-\kappa v)}=dt.$$ You can now integrate because you have separated variables. Don't forget that integration is basically a summation so when you add things together they must be of the same kind and not a mixture of two.
Please see picture 1 can you explain it? is it true?
 
Kalarudra said:
Please see picture 1 can you explain it? is it true?
It is true but it is not very useful. I would assume that the question is to find the velocity as a function of time in which you have ##v## on the left hand side and constants and ##t## on the right hand side. This expression has ##s## on the right hand side which not constant but depends on time ##t## in some way that needs to be determined.
 
  • Like
Likes   Reactions: Kalarudra
kuruman said:
It is true but it is not very useful. I would assume that the question is to find the velocity as a function of time in which you have ##v## on the left hand side and constants and ##t## on the right hand side. This expression has ##s## on the right hand side which not constant but depends on time ##t## in some way that needs to be determined.
But in picture 2 i try to integrate function of acceleration why i didnt got same answer is there any false integrating that i do? I know i had typo when i integrating the function i wrote t that should be dt. But the answer always same
 
  • #10
Kalarudra said:
But in picture 2 i try to integrate function of acceleration why i didnt got same answer is there any false integrating that i do?
The same answer as what?

Picture 1 and picture 2 are completely different. In picture 1 you have ##a=\dfrac{dv}{dt}=g-\kappa v## and in picture 2 you have ##a=2t+1.##

What are you trying to prove using picture 2?
 
  • #11
Kalarudra said:
is there any false integrating that i do?
Yes: you treat ##v## as a constant that does not depend on ##t##.
$$\int \sqrt{4v+1} \, dt = \int \sqrt{4\,{\bf \color {red} v(t)+1} } \, dt$$

##\ ##
 
  • Like
Likes   Reactions: kuruman, Demystifier and Kalarudra
  • #12
kuruman said:
The same answer as what?

Picture 1 and picture 2 are completely different. In picture 1 you have ##a=\dfrac{dv}{dt}=g-\kappa v## and in picture 2 you have ##a=2t+1.##

What are you trying to prove using picture 2?
The "answer" That i mean is result of integrating function acceleration with respect to v. I didnt understand why after integrating the function of acceleration with respect to v left side and right side isnt same
 
  • #13
If you say those two equations are equal ( they both equal ##a##) than equate them and solve for ##v##. Do you get what you expect for ##v##? If you answer “”no” you have done “”false integrating and/or equating of the relationship for ##a##”

You’re turned around to the point that it’s difficult to aid you until you explain what you are actually after in words as far as the problem you are trying to solve is concerned. What is the problem you are trying to solve. How do you come to those unrelated equations for ##a##?
 
  • #14
Kalarudra, in Fig. 1 you have the differential equation
$$\frac{dv(t)}{dt}=g-\kappa v(t)$$
Assuming the initial condition ##v(0)=0##, the solution of this equation is
$$v(t)=\frac{g}{\kappa}(1-e^{-\kappa t})$$
Hence
$$s(t)=\int_0^t v(t) dt = \frac{g}{\kappa} \left( t + \frac{e^{-\kappa t}}{\kappa} - \frac{1}{\kappa} \right)$$
Now you can use this function ##s(t)## to test the result in Fig. 1.
 
Last edited:

Similar threads

  • · Replies 2 ·
Replies
2
Views
2K
  • · Replies 6 ·
Replies
6
Views
1K
  • · Replies 16 ·
Replies
16
Views
2K
  • · Replies 4 ·
Replies
4
Views
2K
  • · Replies 7 ·
Replies
7
Views
2K
  • · Replies 8 ·
Replies
8
Views
2K
  • · Replies 22 ·
Replies
22
Views
2K
  • · Replies 2 ·
Replies
2
Views
3K
  • · Replies 3 ·
Replies
3
Views
1K
  • · Replies 19 ·
Replies
19
Views
2K