Homework: Rx=? to get maximum power transfer at point M

Click For Summary

Discussion Overview

The discussion revolves around finding the value of Rx for maximum power transfer in a circuit, specifically using Thevenin's theorem. Participants are examining the relationship between Thevenin resistance (Rth) and load resistance (RL) in the context of a homework problem.

Discussion Character

  • Homework-related
  • Technical explanation

Main Points Raised

  • One participant mentions arriving at a Thevenin equivalent circuit and states the need to set Rth equal to RL to find Rx.
  • Another participant confirms that if the calculations are correct, setting Rth equal to RL is the appropriate method to solve the problem, though they have not verified the calculations.
  • A different participant suggests that the solution involves two resistors in parallel, indicating a potential method for approaching the problem.
  • One participant expresses agreement with the calculations and reasoning presented by another, although the specifics of the calculations are not detailed.

Areas of Agreement / Disagreement

There is some agreement on the method of setting Rth equal to RL for finding Rx, but the discussion does not reach a consensus on the correctness of the calculations or the specifics of the approach involving parallel resistors.

Contextual Notes

Participants have not provided detailed calculations or clarified assumptions regarding the circuit configuration, which may affect the interpretation of the problem.

Michael_0039
Messages
59
Reaction score
7
Homework Statement
Homework: Rx=? to get maximum power transfer at point M
Relevant Equations
nil
Hi,

after calculations I end up in the circuit below¨ (Thevenin equivalent)

Χωρίς τίτλο.png


So now I have to say Rth=RL and I will find Rx ?The initial circuit is this:

1572098766289.png

Thanks
 
Physics news on Phys.org
Michael_0039 said:
So now I have to say Rth=RL and I will find Rx ?
If your working is correct, that's how you solve it, yes. I haven't checked your working.
 
.

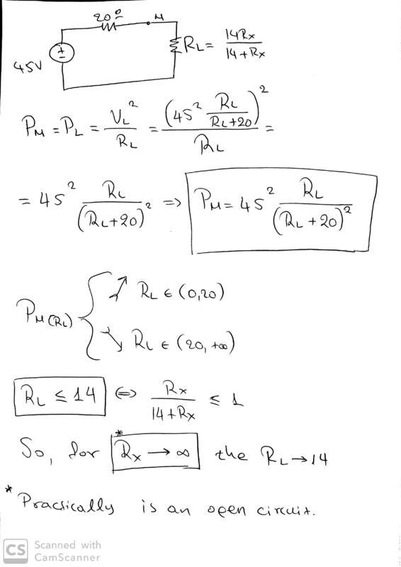
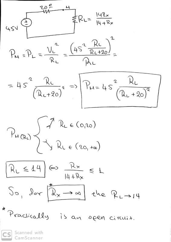
New Doc 2019-10-26 20.18.00_1.jpg


New Doc 2019-10-26 20.18.00_2.jpg


New Doc 2019-10-26 20.18.00_3.jpg


New Doc 2019-10-26 20.18.00_4.jpg
 
By the way I think this is the way to solve, because we have 2 resistors in parallel:

New Doc 2019-10-26 20.18.00_5.jpg

Edit
I mean this:

Χωρίς τίτλο.png
 
Last edited:

Similar threads

  • · Replies 1 ·
Replies
1
Views
4K
  • · Replies 1 ·
Replies
1
Views
3K
  • · Replies 2 ·
Replies
2
Views
2K
  • · Replies 7 ·
Replies
7
Views
3K
  • · Replies 7 ·
Replies
7
Views
2K
  • · Replies 42 ·
2
Replies
42
Views
7K
  • · Replies 5 ·
Replies
5
Views
6K
  • · Replies 20 ·
Replies
20
Views
15K
Replies
3
Views
2K
  • · Replies 14 ·
Replies
14
Views
7K