How can you make the substitution s = rθ when θ changes with every element?

Click For Summary

Discussion Overview

The discussion revolves around the substitution of variables in the context of calculating the electric field from a semicircular rod. Participants explore the implications of using the substitution \( s = r\theta \) when the angle \( \theta \) varies with each infinitesimal segment of the rod.

Discussion Character

  • Technical explanation
  • Conceptual clarification
  • Debate/contested
  • Mathematical reasoning

Main Points Raised

  • One participant questions how \( \theta \) can be treated as a constant when it changes with each element \( dx \), suggesting that this could lead to confusion in the substitution \( s = r\theta \).
  • Another participant asserts that \( \theta \) is defined as \( s/r \), implying that the substitution can always be made regardless of the variation of \( \theta \).
  • A different participant expresses confusion about summing segments \( dx \) while using \( s = r\theta \), questioning how to avoid overlapping segments when \( \theta \) becomes large.
  • One participant clarifies that by taking differences of both sides of \( s = r\theta \), one can express the sums of segments in terms of \( \Delta s \) and \( \Delta \theta \), suggesting that there is no overlap in the segments when properly defined.

Areas of Agreement / Disagreement

Participants express differing views on the implications of the substitution \( s = r\theta \) and how it relates to the summation of segments. There is no consensus on the best approach to handle the changing \( \theta \) in the context of the problem.

Contextual Notes

Some participants note the importance of defining variables clearly and understanding the relationship between \( dx \) and the segments defined by \( s \) and \( \theta \). The discussion highlights potential ambiguities in interpreting the problem without a full statement of the original question.

oneplusone
Messages
127
Reaction score
2
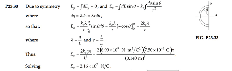
When doing problems such as finding the electric field of an object, my book often makes substations like: ## dq = \lambda dr = \lambda d\theta\cdot r## (this is in reference to finding the electric field at the center of a rod shaped in a semicircle). See attached for full solution to this.

My question is, how can you let ##\theta## be the angle from the vertical and still make the ## s = r\theta## substitution?? Wouldn't that give you the length of the semicircle starting from the top, to the angle where you direct it to?
Rephrasing: Wouldn't theta change with every element dx?
 

Attachments

  • Screen Shot 2014-02-23 at 11.17.32 AM.png
    Screen Shot 2014-02-23 at 11.17.32 AM.png
    16 KB · Views: 479
Physics news on Phys.org
oneplusone said:
(this is in reference to finding the electric field at the center of a rod shaped in a semicircle). See attached for full solution to this.

It looks like the rod is hollow. The problem with interpreting the full solution is that you haven't given the full statement of the problem and defined what the various variables mean.

Wouldn't that give you the length of the semicircle starting from the top, to the angle where you direct it to?

I think it would.

s = r \theta and the solution uses ds = r d \theta. There is no assumption that \theta is constant wtih respect to the x coordinate of end of the radius.
 
oneplusone said:
how can you let ##\theta## be the angle from the vertical and still make the ## s = r\theta## substitution??
I don't understand your concern. Θ is s/r by definition, so you can always make that substitution.
 
But if you're summing up the whole segment, using tiny bits of dx at a time, how do you just get dx?
I understand ##s=r\theta##, but wouldn't ##\theta## get really large eventually and overlap previously summed up segments? Sorry it's very confusing to explain
 
I don't see dx anywhere in those equations so I am not sure what you are talking about.

Are you perhaps asking a general question about how integration works by summing up an infinite number of infinitesimal segments?
 
Yes, that is what I'm asking. I understand that, but how do you sum up all of the dx segments using s=r*theta? What is the strategy?
 
Since s = r θ we can take differences of both sides and get Δs = r Δθ. So, for example, if you would break s up into a finite number of non-overlapping segments and sum them up ##\Sigma \; f \; \Delta s## then that is exactly the same as breaking θ up into the same finite number of segments ##\Sigma \; f \; r\Delta \theta##. Then simply change that finite number of segments into an infinite number of segments and you have ##\int f \; r \; d\theta##. There is no overlapping in s and therefore no overlapping in θ.
 

Similar threads

Replies
8
Views
1K
  • · Replies 5 ·
Replies
5
Views
3K
  • · Replies 4 ·
Replies
4
Views
2K
  • · Replies 103 ·
4
Replies
103
Views
14K
  • · Replies 3 ·
Replies
3
Views
2K
  • · Replies 22 ·
Replies
22
Views
5K
  • · Replies 79 ·
3
Replies
79
Views
10K
Replies
1
Views
23K
  • · Replies 8 ·
Replies
8
Views
12K
  • · Replies 8 ·
Replies
8
Views
3K