How many discs will slide off the board as it decelerates?

Click For Summary

Homework Help Overview

The discussion revolves around a physics problem involving a board and discs, specifically focusing on the dynamics of how many discs will slide off the board as it decelerates. The subject area includes concepts from Newton's laws of motion, friction, and relative velocity.

Discussion Character

  • Exploratory, Conceptual clarification, Assumption checking

Approaches and Questions Raised

  • Participants express confusion regarding the interpretation of forces acting on the discs and the board, questioning the nature of the forces involved and their relative velocities. There are discussions about the initial conditions of the board and discs, and whether the forces are relative or absolute.

Discussion Status

The conversation is ongoing, with participants exploring various interpretations of the problem setup. Some have offered insights into the nature of the forces and the implications of relative motion, while others seek clarification on specific terms and conditions described in the problem.

Contextual Notes

There is ambiguity in the problem statement regarding the initial conditions and the forces acting on the discs and board. Participants note that the problem may be poorly posed, leading to multiple interpretations and confusion about the relationships between the board and the discs.

Lotto
Messages
253
Reaction score
16
Homework Statement
On a long horizontal board lying on the floor of a spacious room, there are ##N## small discs, each with a mass of ##m##. The first disc is at the edge of the board, and the distance between the discs is ##l##. Initially, we give the board with the discs an initial velocity ##v_0##, so that the discs remain stationary, and then we release it. There's a layer of oil between the board and the discs. The magnitude of the force that slows down a disc is directly proportional to its velocity, ##F(v) = b · v##. The coefficient of friction between the board and the floor is ##\mu##. The masses of the discs are negligible compared to the mass of the board. We can consider the discs as point masses.

How many discs will slide off the board until all objects come to a complete stop?"
Relevant Equations
According to the solution, the relevant equation is ##ma=-b(v-v_0)##, where ##v## is a velocity of a single disc relative to the ground.
I don't undertand the equation. It is Newtons's second law of motion, so it decribes a force that acts on a single disc relative to the ground. So when the force is proportional to velocity, shouldn't it be ##-bv##? Because the dics's velocity is ##v## relative to the ground. Relative to the board, it is ##v-v_0##, but the equation is valid only with respect to the ground. So what do I get wrong about the equation?
jljljl.png
 
Physics news on Phys.org
Lotto said:
Initially, we give the board with the discs an initial velocity ##v_0##, so that the discs remain stationary, and then we release it.
I don't understand this. What is "it" that is being released? If it is the board, how can it have velocity ##v_0## before it is released?
 
kuruman said:
I don't understand this. What is "it" that is being released? If it is the board, how can it have velocity ##v_0## before it is released?
My interpretation is that the board is being pushed along at constant velocity ##v_o## against the force of friction between itself and the floor for times ##t < 0 ##, then at ##t = 0## the board is released (allowing it to accelerate).
 
Last edited:
  • Like
Likes   Reactions: Lotto
Lotto said:
The magnitude of the force that slows down a disc is directly proportional to its velocity, ##F(v) = b · v##.

I don't undertand the equation. It is Newtons's second law of motion, so it decribes a force that acts on a single disc relative to the ground. So when the force is proportional to velocity, shouldn't it be ##-bv##? Because the dics's velocity is ##v## relative to the ground. Relative to the board, it is ##v-v_0##, but the equation is valid only with respect to the ground. So what do I get wrong about the equation?
The question is poorly defined. It seems the intention is that, in ##F(v) = b · v##, v is the disc's velocity relative to the board. This is not clear because we are not told the nature of the force - it could have been air resistance.
 
  • Like
Likes   Reactions: erobz
That ##F## is a frictional force caused by an oil. But my problem is: when the velocity is relative, does it mean that the force is also relative? Or is there only one force acting on the discs? I would say that the force is not relative, but I am not sure.
 
Lotto said:
That ##F## is a frictional force caused by an oil. But my problem is: when the velocity is relative, does it mean that the force is also relative? Or is there only one force acting on the discs? I would say that the force is not relative, but I am not sure.
The viscous force is the only force acting on the disk ( it does make me wonder whether or not the intention is for the viscous force to be acting on the board too- it should be but not sure of the resulting complexity?) The coins are sliding off the front of the board, right? It seems like they are saying that the force the coins experience is proportional to the relative velocity of the two.
 
Lotto said:
does it mean that the force is also relative?
In what way could a force be relative? A force is exerted by one body on another.
erobz said:
whether or not the intention is for the viscous force to be acting on the board too
"The masses of the discs are negligible compared to the mass of the board"
 
haruspex said:
"The masses of the discs are negligible compared to the mass of the board"
I figure they should be ignored on the board since its much more massive, but it didn't explicitly say forces between the two should be ignored on one side, so I hesitated.
 
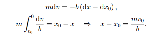
In the solution, they continue with these equations:
lklklk.png

where ##x, x_0## are coordinates of a single disc and the board with respect to the ground. So if I understand it correctly, the force acting on a single disc is only one, no matter that the force is dependent on velocity that can be relative. Distance ##x-x_0## is the distance the disc arrives with the moving board until it stops. It is with respect to the ground. But why do they claim that it is a distance with respect to the board?
 
  • #10
Lotto said:
In the solution, they continue with these equations:
View attachment 332233
where ##x, x_0## are coordinates of a single disc and the board with respect to the ground. So if I understand it correctly, the force acting on a single disc is only one, no matter that the force is dependent on velocity that can be relative. Distance ##x-x_0## is the distance the disc arrives with the moving board until it stops. It is with respect to the ground. But why do they claim that it is a distance with respect to the board?
##x## and ##x_0## are wrt ground, so ##x-x_0## is the displacement of a disc relative to the board.
 
  • #11
The question is poorly posed. I interpret this as the old yanking the table cloth trick. I believe the idea is that everything is stationary. At time zero the board is more or less instantly imparted with a velocity ##v_0##. With that description the relevant velocity for friction is the relative velocity of the disks to the board v - ##v_0## and the equation the OP quotes from the solution is correct.
 
  • #12
haruspex said:
##x## and ##x_0## are wrt ground, so ##x-x_0## is the displacement of a disc relative to the board.
So now I am totally confused. I draw a picture showing how I understand it:
Vybraná fotka

The coordinate system is connected with the ground. This is how I understand that ##x-x_0##, which can't be the distance that the disc travelled with respect to the board, but with respect to the ground.

Is this my visualisation wrong?
 
  • #13
Lotto said:
So now I am totally confused. I draw a picture showing how I understand it:
View attachment 332235
The coordinate system is connected with the ground. This is how I understand that ##x-x_0##, which can't be the distance that the disc travelled with respect to the board, but with respect to the ground.

Is this my visualisation wrong?
## \dot x_o ## is the velocity of the plank w.r.t. ground. ##\dot x ## is the velocity of a disk w.r.t. ground.

## \dot x - \dot x_o ## is the relative velocity of a disk w.r.t. the plank.
 
Last edited:
  • Like
Likes   Reactions: Lnewqban
  • #14
erobz said:
## \dot x_o ## is the velocity of the plank w.r.t. ground. ##\dot x ## is the velocity of a disk w.r.t. ground.

## \dot x - \dot x_o ## is the relative velocity of a disk w.r.t. the plank.
So is this correct now?
jhjhjh.png

This is the case when initially, ##x_0=x##, but ##x_0## can also be initially zero. So then it makes all sense.
 
  • Like
Likes   Reactions: Lnewqban and erobz
  • #15
Lotto said:
So is this correct now?
View attachment 332237
This is the case when initially, ##x_0=x##, but ##x_0## can also be initially zero. So then it makes all sense.
Yeah, ##x_o## and ##x## and ##O## can all initially coincide.

As an aside, I don't think that using ##v_o##, and ##x_o## for plank velocity and position are particularly clear variable choices, mixed with ##v## and ##x## for the disk...
 
Last edited:
  • #16
Cutter Ketch said:
At time zero the board is more or less instantly imparted with a velocity v0.
No, it can't be that.
"Initially, we give the board with the discs an initial velocity "
I.e. board+discs.
"so that the discs remain stationary"
Ambiguous, but probably means relative to the board.
"The first disc is at the edge of the board"
If it were the yanked cloth problem we would need to know far the last disc is from the back edge. See diagram.
 
  • #17
haruspex said:
No, it can't be that.
"Initially, we give the board with the discs an initial velocity "
I.e. board+discs.
"so that the discs remain stationary"
Ambiguous, but probably means relative to the board.
"The first disc is at the edge of the board"
If it were the yanked cloth problem we would need to know far the last disc is from the back edge. See diagram.
Well, I said the problem is poorly posed! I see what you mean, though. You would really need to know the length of the board or the distance on the left edge. Nevertheless, I think that is what the problem is trying to describe. No matter how you interpret it, v0 is the initial velocity of the board and it is clearly shown as moving to the right. There is no way any coins are falling off the right side of that board. I think they’ve just really screwed up. (certainly one way or another) My best guess of how it’s screwed up: I still say it’s the table cloth yank problem.
 
  • #18
Cutter Ketch said:
There is no way any coins are falling off the right side of that board. I think they’ve just really screwed up.
The disks are carrying momentum ##mv_o## at time ##t=0##. The plank (not the disks) immediately begins to feel the force ##\mu M g ##, retarding its motion. The disk however feel no retarding force at ##t = 0 ##, they are going to continue on their merry way as the force they experience only grows in proportion to the relative velocity between themselves and the plank (which is initially zero). I don't think its implausible that some coins will fall off the board on the right. If you're talking about "in reality" who knows, but the physics problem seems ok.
 
Last edited:
  • Like
Likes   Reactions: haruspex and Lnewqban

Similar threads

Replies
4
Views
1K
  • · Replies 16 ·
Replies
16
Views
3K
Replies
39
Views
4K
  • · Replies 5 ·
Replies
5
Views
1K
Replies
24
Views
3K
  • · Replies 6 ·
Replies
6
Views
2K
  • · Replies 42 ·
2
Replies
42
Views
6K
  • · Replies 5 ·
Replies
5
Views
2K
  • · Replies 5 ·
Replies
5
Views
4K
  • · Replies 5 ·
Replies
5
Views
7K