How to derive the continuity equation for a perfect fluid?

Click For Summary

Discussion Overview

The discussion revolves around deriving the continuity equation for a perfect fluid, focusing on the mathematical formulation involving the stress tensor and the equation of motion. Participants explore the implications of various assumptions and mathematical manipulations in the context of fluid dynamics.

Discussion Character

  • Technical explanation
  • Mathematical reasoning
  • Debate/contested

Main Points Raised

  • One participant presents the stress tensor for a fluid and attempts to derive the continuity equation from the equation of motion, expressing the need to manipulate indices correctly.
  • Another participant suggests incorporating factors of the speed of light, indicating that some terms may be negligible in certain limits.
  • Concerns are raised about the application of the product rule in the differentiation of terms, with a specific emphasis on the correct expansion of terms involving the product of variables.
  • A participant proposes that in the classical limit, where density is much greater than pressure, the continuity equation can be approximated by splitting the equations into time and space components.
  • There is a discussion about the validity of assuming that the derivative of the 4-velocity vanishes, with some participants challenging this assumption and its implications.
  • Another participant emphasizes the need to consider the physical meaning of the derivatives involved, questioning the assumption that certain derivatives would always be zero.
  • Clarifications are made regarding the conditions under which the continuity equation can be derived, including assumptions about the relative magnitudes of time and space derivatives of pressure.

Areas of Agreement / Disagreement

Participants express differing views on the application of mathematical rules and the validity of certain assumptions. There is no consensus on the correct approach to derive the continuity equation, as multiple interpretations and methods are discussed.

Contextual Notes

Participants note limitations regarding assumptions about the relationship between density and pressure, as well as the treatment of derivatives in the context of fluid dynamics. The discussion reflects a range of mathematical approaches and interpretations that remain unresolved.

etotheipi
Stress tensor for the fluid is ##T_{ab} = \rho u_a u_b + P(\eta_{ab} + u_a u_b)##, whilst the equation of motion (assuming the system is isolated) is given by ##\partial^a T_{ab} = 0##. So I tried$$\begin{align*}

\partial^a T_{ab} &= \partial^a \rho u_a u_b + \partial^a P(\eta_{ab} + u_a u_b) \\ \\
&= \left[\rho \partial^a u_a u_b + u_a u_b \partial^a \rho \right] + \left[ P \partial^a u_a u_b + u_a u_b \partial^a P\right] + \partial^a P \eta_{ab} \\ \\

&= (\rho + P) \partial^a u_a u_b + u_a u_b \partial^a (\rho + P) + \partial^a P \eta_{ab} = 0

\end{align*}$$I would like to arrive at the result that if ##(u^{\mu}) = (1, \vec{u})## and ##\vec{j} = \rho \vec{u}##, then in the classical limit we recover ##\partial_t \rho + \nabla \cdot \vec{j} = 0##. How can I proceed, and juggle the indices, to do this? As always, your help is much appreciated ☺
 
Physics news on Phys.org
Haven't worked through the indices, but consider putting factors of ##c## back in. Quite a lot of that is negligible.
 
  • Like
Likes   Reactions: etotheipi
etotheipi said:
So I tried$$\begin{align*}

\partial^a T_{ab} &= \partial^a \rho u_a u_b + \partial^a P(\eta_{ab} + u_a u_b) \\ \\

&= \left[\rho \partial^a u_a u_b + u_a u_b \partial^a \rho \right] + \left[ P \partial^a u_a u_b + u_a u_b \partial^a P\right] + \partial^a P \eta_{ab} \\ \\

&= (\rho + P) \partial^a u_a u_b + u_a u_b \partial^a (\rho + P) + \partial^a P \eta_{ab} = 0

\end{align*}$$

You're not applying the product rule correctly. For example, ##\partial^a \rho u_a u_b## expands into three terms, not two.
 
etotheipi said:
I would like to arrive at the result that if ##(u^{\mu}) = (1, \vec{u})## and ##\vec{j} = \rho \vec{u}##, then in the classical limit we recover ##\partial_t \rho + \nabla \cdot \vec{j} = 0##.

In this limit, ##\rho >> P##, so you can approximate ##\rho + P## with ##\rho## wherever it appears.

Then, if you split things into "time" (##t##) and "space" (3-vector) parts, you have two equations, one for ##b = t## and one containing the three other possible values of ##b##, so you could write each one of them out and see what it tells you.
 
  • Like
Likes   Reactions: vanhees71 and etotheipi
Thanks for the comments! @Ibix I saw your reply a little too late after I'd already worked something through, but looking now I can see how doing so strongly suggests the required approximation.

PeterDonis said:
You're not applying the product rule correctly. For example, ##\partial^a \rho u_a u_b## expands into three terms, not two.

I believe what I wrote is correct, I just chose to write it as two terms instead of three. But I think you're right that it's easier to expand everything out.

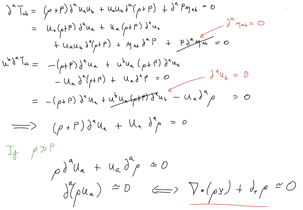
[Here it was used that ##\partial^a \eta_{ab} = 0## and ##\partial^a u_b = 0##]$$\begin{align*}

\partial^a T_{ab} &= (\rho + P) \partial^a (u_a u_b) + u_a u_b \partial^a (\rho + P) + \partial^a P \eta_{ab} = 0 \\ \\

&= u_b (\rho + P) \partial^a u_a + u_a (\rho + P) \partial^a u_b + u_a u_b \partial^a (\rho + P) + \eta_{ab} \partial^a P + P \partial^a \eta_{ab} \\ \\

u^b \partial^a T_{ab} &= -(\rho + P) \partial^a u_a + u^b u_a (\rho + P) \partial^a u_b - u_a \partial^a (\rho + P) + u_a \partial^a P = 0 \\ \\

&= -(\rho + P) \partial^a u_a - u_a \partial^a \rho = 0

\end{align*}$$This means that$$(\rho + P)\partial^a u_a + u_a \partial^a \rho = 0$$If ##\rho \gg P##,$$\rho \partial^a u_a + u_a \partial^a \rho \approx 0 \iff \partial^a (\rho u_a) \approx 0$$Or alternatively$$\nabla \cdot (\rho \mathbf{v}) + \partial_t \rho \approx 0$$I needed to use that ##\partial^a u_b = 0##. I believe this follows from ##\partial^a x_b = {\delta^a}_b \implies \partial^a u_b = \partial^a \left( dx_b / d\tau \right) = d/d\tau \left( \partial^a x_b \right) = \frac{d}{d\tau} {\delta^a}_b = 0##, is that right?
 

Attachments

  • 1607290600374.png
    1607290600374.png
    29.7 KB · Views: 302
Last edited by a moderator:
etotheipi said:
I needed to use that ##\partial^a u_b = 0##.

It's not, in general, so that doesn't work.

etotheipi said:
I believe this follows from ##\partial^a x_b = {\delta^a}_b \implies \partial^a u_b = \partial^a \left( dx_b / d\tau \right) = d/d\tau \left( \partial^a x_b \right) = \frac{d}{d\tau} {\delta^a}_b = 0##, is that right?

No, since ##\partial^a x_b = {\delta^a}_b## is not correct.
 
  • Like
Likes   Reactions: vanhees71 and etotheipi
etotheipi said:
I'll just attach my notes because I'm a little too sleepy to try and write everything up in LaTeX.

The correct response to this is to wait until you have the energy to type it in LaTeX. We can't quote individual equations from your images; that's a big reason why we do not permit equations in images.

etotheipi said:
I believe what I wrote is correct, I just chose to write it as two terms instead of three.

Yes, I see now that by ##\partial^a u_a u_b## you actually meant ##u_b \partial^a u_a + u_a \partial^a u_b##, which is correct. However, writing it as just a single term is highly ambiguous; normally derivative operators only operate on what is immediately to their right, not on everything to their right, unless you use parentheses; so writing it as a single term would have to be ##\partial^a \left( u_a u_b \right)## to be unambiguously correct.

A hint on the correct resolution is this from my earlier post:

PeterDonis said:
Then, if you split things into "time" () and "space" (3-vector) parts, you have two equations, one for and one containing the three other possible values of , so you could write each one of them out and see what it tells you.

In other words, you should not expect to find just one equation that reduces to the continuity equation you are looking for. You should expect to find one 4-tensor equation with a free index (##b##) on both sides, which therefore translates into four component equations; the ##b = 0## (or ##b = t##) component equation gives you the continuity equation, and the ##b = i## (i.e., spatial) component equations, taken together, give you another equation which is a key equation in hydrodynamics. [Edit: Removed incorrect statement, corrected in post #10 below.]
 
Last edited:
  • Like
Likes   Reactions: vanhees71 and etotheipi
PeterDonis said:
No, since ##\partial^a x_b = {\delta^a}_b## is not correct.

Interesting! Would it instead be $$\partial^a x_b = \frac{\partial x_{b}}{\partial x^{a}} = \eta_{bc} \frac{\partial x^c}{\partial x^a} = \eta_{bc} \delta_{ca}$$But the RHS still looks constant, so why would$$\frac{d}{d\tau} \partial^a x_b = \frac{d}{d \tau} \left( \eta_{bc} \delta_{ca}\right) = 0$$be incorrect? Also, is the part about ##\partial^a \eta_{ab} = 0## fine, or is that off too?

[Also, I'll start writing up the LaTeX]
 
etotheipi said:
Would it instead be...

No. I suggest taking a step back and thinking about what, physically, the expression you started with means. As John Wheeler said, you should never attempt a physics calculation unless you already know the answer. :wink:

What does ##\partial^a u_b## mean? It means the rate of change of the ##b## component of the 4-velocity of the fluid, along a curve where all of the coordinates except ##x^a## are constant. There is no reason, physically, to expect that to always vanish. So you should immediately be suspicious of any math you think you have found that seems to be telling you it does always vanish.

Taking another step back, you should not need to use ##\partial^a u_b = 0## in order to figure out how to get the continuity equation (and the other equation I referred to) from ##\partial^a T_{ab} = 0##.
 
  • Like
Likes   Reactions: etotheipi
  • #10
PeterDonis said:
Note that, for this split to work, you also have to make an assumption about the relative magnitudes of the time and space derivatives of the pressure ##P##, in addition to the ##\rho >> P## assumption I already mentioned.

Actually, I misstated this. The only additional thing you need about ##P## to get the continuity equation from the ##b = t## component is that ##\partial_t P << \partial_t \rho##, and that follows from ##P << \rho##.
 
  • Like
Likes   Reactions: etotheipi
  • #11
PeterDonis said:
You should expect to find one 4-tensor equation with a free index (##b##) on both sides, which therefore translates into four component equations; the ##b = 0## (or ##b = t##) component equation gives you the continuity equation, and the ##b = i## (i.e., spatial) component equations, taken together, give you another equation which is a key equation in hydrodynamics.

One other thing you will need in order to do the split referred to here is translations of expressions like the operator ##u_a \partial^a## and the scalar ##\partial^a u_a## into "3 + 1" notation. I'll do the simpler of the two here:

$$
\partial^a u_a = \partial^t u_t + \nabla \cdot \vec{u} = \nabla \cdot \vec{u}
$$

where the second equality holds because, in the approximation you are using, ##\partial^t u_t = 0## (since ##u_t## is constant).
 
  • Like
Likes   Reactions: etotheipi
  • #12
Thanks for the info. I'm going to step back and do some reading before I attempt this again, I need to go over a few things first.

EDIT: I posted another thread, to clarify some points raised here that aren't directly relevant.
 
Last edited by a moderator:
  • #13
PeterDonis said:
$$
\partial^a u_a = \partial^t u_t + \nabla \cdot \vec{u} = \nabla \cdot \vec{u}
$$

Btw, a more correct way of writing this would be

$$
\partial^a u_a = \partial_a u^a = \partial_t u^t + \nabla \cdot \vec{u} = \nabla \cdot \vec{u}
$$

where the first equality now would hold for any contraction to a scalar. This is preferable since ##\vec{u}## in the 3-vector notation should correspond to ##u^i##, not ##u_i##. Often one can get away with being sloppy about distinguishing upper and lower indexes when translating to 3-vector notation, but it's a bad habit to get into since sooner or later it will bite you.

A similar equality to the first one should, strictly speaking, also be used to translate the operator ##u_a \partial^a## (which becomes ##u^a \partial_a##).
 
Last edited:
  • #14
One thing I find very confusing is the usage of ##\partial^a u_b## instead of ##\partial_a u^b##.

Usually coordinates are written as ##x^a##, and the partial derivatives with respect to a coordinate ##x^a## would be written as ##\partial_a = \frac{\partial}{\partial x^a}##.
 
  • Like
Likes   Reactions: dextercioby
  • #15
pervect said:
One thing I find very confusing is the usage of ##\partial^a u_b## instead of ##\partial_a u^b##.

Usually coordinates are written as ##x^a##, and the partial derivatives with respect to a coordinate ##x^a## would be written as ##\partial_a = \frac{\partial}{\partial x^a}##.

Yes, strictly speaking the original equation that the OP is trying to manipulate should be written ##\partial_a T^{ab}##, and all other equations should be adjusted accordingly. Using this form for a perfect fluid can get complicated for cases where the inverse metric is hard to obtain, but for the case the OP is considering, where we are either in flat spacetime or adopting local inertial coordinates at some event of interest, so that ##g_{ab} = \eta_{ab}##, it's just as easy to use ##T^{ab} = \left( \rho + P \right) u^a u^b + P \eta^{ab}## as the corresponding covariant form.
 
  • Like
Likes   Reactions: vanhees71
  • #16
In view of the OP one should perhaps also add that (I assume we are discussing the SR case)
$$\partial_{\mu} T^{\mu \nu}=0$$
includes the Euler equation of motion (taking the spatial part) and the energy balance equation (temporal part) only.

It's not including the continuity equation, which you have to add if there is a conserved charge (-like quantity), e.g., electric charge and/or net-baryon number, strangeness in the application of relativistic fluid dynamics to heavy-ion collisions and the quark-gluon plasma. These are all of the form
$$\partial_{\mu} J_Q^{\mu}=0,$$
where the four-current can be written as
$$J_Q^{\mu}=n_Q u^{\mu},$$
where ##n_Q## is the proper density of the conserved charge (i.e., this density measured in the local rest frame of the fluid). One should also note that this latter relation only holds for the perfect fluid in general or in the socalled Eckart description in the dissipative fluid-mechanics case.

Last but not least you also need an equation of state relating pressure and (proper) energy density. This is the physically most interesting question in heavy-ion physics, because it addresses the question of how strongly interacting matter behaves. The application of relativistic fluid dynamics in this context is both to describe the collective motion of the matter created in heavy-ion collisions (working well at collision energies at RHIC and LHC) as well as in the treatment of neutron stars (where the mass-radius relation and the upper bound of neutron-star masses are direct consequences of the equation of state) as well as neutron-star mergers ("kilonovae"), where the gravitational-wave signal shapes offer a great oppertunity to learn about the equation of state from direct observation.

For a nice review on relativistic fluid dynamics, see

https://arxiv.org/abs/0708.2433 (heavy-ion collisions)

and

L. Rezzolla and O. Zanotti, Relativistic hydrodynamics,
Oxford University Press, Oxford (2013),
https://dx.doi.org/10.1093/acprof:oso/9780198528906.001.0001
 
  • #17
vanhees71 said:
the energy balance equation (temporal part)

Note that this equation, ##\partial_t \rho + \nabla \cdot \left( \rho \vec{u} \right) = 0##, is what I called the "continuity equation" in an earlier post.

vanhees71 said:
It's not including the continuity equation, which you have to add if there is a conserved charge (-like quantity), e.g., electric charge and/or net-baryon number, strangeness in the application of relativistic fluid dynamics to heavy-ion collisions and the quark-gluon plasma.

Note that these would be additional "continuity" equations, describing conservation of things other than energy.
 
  • Like
Likes   Reactions: vanhees71
  • #18
I'm not sure, where the problem really is. So let's just do it. Of course you can call any local conservation law a continuity equation. Usually this notion reserved for conserved (scalar) charges.

So let's look at the perfect-fluid equations. The system is characterized by an energy momentum tensor of an equilibrated fluid. Let ##e## be the internal energy and ##P## the pressure as measured in the local rest frame. I use the west-coast convention and normalize the four-velocity field to 1: ##u_{\mu} u^{\mu}=1##.

In the local rest frame (all tensor components wrt. the local rest frame are labeled with a tilde) the perfect-fluid EMS tensor reads
$$\tilde{T}^{\mu \nu}=\mathrm{diag}(e,P,P,P).$$
Since ##\tilde{u}^{\mu}=(1,0,0,0)## and ##\eta^{\mu \nu}=\mathrm{diag}(1,-1,-1-1)## this can be expressed in tensor quanities (and thus is valid in any inertial frame)
$$T^{\mu \nu} = (e+P) u^{\mu} u^{\nu}-\eta^{\mu \nu} P.$$
One can also introduce the enthalpy density as measured in the local restframe by ##h=e+P##. The energy-momentum conservation law gives the equations of motion,
$$\partial_{\mu} T^{\mu \nu}=0.$$
So let's do the derivatives
$$\partial_{\mu} T^{\mu \nu}=\partial_{\mu} (h u^{\mu}) u^{\nu}+h u^{\mu} \partial_{\mu} u^{\nu} - \partial_{\nu} P=0. \qquad (*)$$
To interpret these equations it's good to project to the temporal component and the spatial components in the local rest frame. The former is done by contracting with ##u_{\nu}## and introducing the corresponding proper-time derivative ##\mathrm{D}_{\tau}=u^{\nu} \partial_{\nu}##. Then we get
$$\partial_{\mu} (h u^{\mu}) - D_{\tau} P=0.$$
Here I made use of ##u_{\mu} u^{\mu}=1##, from which ##u_{\mu} \partial_{\nu} u^{\mu}=0##.

To make sense of the above equation we also assume that there's a conserved charge-like quantity (like net-baryon number) with a density ##n## as measured in the local rest frame. The corresponding current is ##J^{\mu}=n u^{\mu}## obeying the continuity equation
$$\partial_{\mu} J^{\mu} = \partial_{\mu} (n u^{\mu})=0.$$
Then we write
$$\partial_{\mu} (h u^{\mu})=\partial_{\mu} [(h/n) n u^{\mu}] = n u^{\mu} \partial_{\mu}(h/n) = n \mathrm{D}_{\tau} (h/n),$$
where I made use of the continuity equation for the baryon number. Plugging this into the above equation you get
$$\mathrm{D}_{\tau} (h/n) - (1/n) \mathrm{D}_{\tau} P=0.$$
Now the thermodynamic relation
$$\mathrm{d}(h/n)=T \mathrm{d}(s/n)+\mathrm{d}P/n$$
holds, where ##s## is the entropy density (as measured in the local rest frame). Thus the above equation tells us that the fluid flow is isentropic (as it should be for a perfect fluid):
$$\mathrm{D}_{\tau} (s/n)=0.$$
This is equivalent to
$$\partial_{\mu} (s u^{\mu})=0,$$
because (using again the continuity equation for baryon number)
$$\partial_{\mu}(s u^{\mu}) = \partial_{\mu}[(s/n) n u^{\mu}]=n u^{\mu} \partial_{\mu} (s/n) = n \mathrm{D}_{\tau} (s/n)=0.$$

To see that the other parts of (*) (energy-momentum conservation) leads to the equation of motion (relativistic version of the Euler perfect-fluid equation), we project (*) to the spatial components in the local rest frame. This is done with the projection operator
$$\Delta^{\mu \nu}=g^{\mu \nu} -u^{\mu} u^{\nu}.$$
Applying it to (*) we get
$$\Delta_{\rho \nu} \partial_{\mu} T^{\mu \nu} =h u^{\mu} \partial_{\mu} u_{\rho} -\partial_{\rho} P -u_{\rho} \mathrm{D}_{\tau} P=0.$$
With the above equation for ##\mathrm{D}_{\tau} P##, the thermodynamic relation ##\mathrm{d}(h/n)=T \mathrm{d}(s/n)+\mathrm{d} P/n=\mathrm{d} P/n## (the latter because of the isentropic fluid motion) and once more the continuity equation you get
$$\mathrm{D}_{\tau} [(h/n) u_{\rho}]=\partial_{\rho}(h/n).$$
Only the spatial part are independent equations. The temporal part follows from them. Thus we finally have, writing ##u^{\rho}=\vec{u}##:
$$\mathrm{D}_{\tau} [(h/n) \vec{u})=-\vec{\nabla}(h/n)=-1/n \vec{\nabla}P.$$
This shows that relativistically the measure of inertia per particle is ##h/n##, i.e., both the internal energy as well as the pressure (stress) of the fluid contributes to the inertia of the fluid.
 
  • Love
Likes   Reactions: etotheipi

Similar threads

  • · Replies 1 ·
Replies
1
Views
2K
  • · Replies 78 ·
3
Replies
78
Views
7K
  • · Replies 7 ·
Replies
7
Views
3K
  • · Replies 32 ·
2
Replies
32
Views
4K
  • · Replies 2 ·
Replies
2
Views
2K
  • · Replies 4 ·
Replies
4
Views
3K
  • · Replies 3 ·
Replies
3
Views
2K
  • · Replies 2 ·
Replies
2
Views
2K
  • · Replies 12 ·
Replies
12
Views
2K
  • · Replies 6 ·
Replies
6
Views
2K