I have a question about force exerted by magnetic field

Click For Summary

Homework Help Overview

The discussion revolves around the force exerted by a magnetic field, particularly in the context of a current-carrying wire and its influence on a nearby loop. Participants are exploring the magnetic field generated by the wire and its implications for the magnetic moment of the loop.

Discussion Character

  • Exploratory, Conceptual clarification, Assumption checking

Approaches and Questions Raised

  • Participants discuss the difficulty of obtaining a general expression for the magnetic field and consider approximating the wire as infinite due to the relative sizes of the parameters involved. Questions are raised about the assumptions made regarding the z-dependence of the magnetic field and the implications for calculating force.

Discussion Status

There is an ongoing exploration of the relationship between the magnetic field and the magnetic moment, with some participants suggesting the need to quantify results. Guidance has been offered regarding the direction of the magnetic moment and its relationship to the magnetic field, as well as considerations about the energy expression.

Contextual Notes

Participants are navigating assumptions about the coordinate system and the significance of neglecting certain dimensions in their calculations. There is a focus on ensuring that the expressions used align with the physical setup described in the problem.

gaus12777
Messages
12
Reaction score
1

Homework Statement


W.college physics problem.jpg


Homework Equations

The Attempt at a Solution


I uploaded the problem which I want to solve. Getting a general expression for magnetic field created by plane is difficult, I solve it another method.
X is still larger than W, we can think palne current as just a infinite wire.
Furthermore, because of large X, magnetic field of z-direction around z=0 is considered as a constant. (magnetic field has x,y dependence and x is still larger than w. So, of course, magnetic field affected by x coordinate is dominant.)
Consequently, z-dependence will be vanish and gradient potential has no z dependence.
So, a force has a just x direction component.
Is it right? [/B]
 
Physics news on Phys.org
I think the problem wants you to quantify the result. You need to determine the magnitude and direction of the magnetic field ## B ## as a function of distance from the wire to the loop. You also need to determine the magnitude of the magnetic moment ## m ## of the loop as well as the direction. Can you write an expression of the energy ## U ## of the magnetic moment in the magnetic field? ## \vec{F}=- \nabla U ##.
 
Charles Link said:
I think the problem wants you to quantify the result. You need to determine the magnitude and direction of the magnetic field ## B ## as a function of distance from the wire to the loop. You also need to determine the magnitude of the magnetic moment ## m ## of the loop as well as the direction. Can you write an expression of the energy ## U ## of the magnetic moment in the magnetic field? ## \vec{F}=- \nabla U ##.

First, thank you for your reply.
As you have said, problem wants quantify solution. But, I want to just know my logic is correct.
For getting more help I`ll calculate based on my logic.
If X is much larger than W, as I mentioned before, z dependence of the magnetic field and gradient about z can be negligible because of large X( dominant effect).
And there is no y dependence because of current distribution.
So, If I want to caculate force, we have to know magnetic field only about x coordinate.
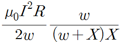
upload_2016-10-22_11-18-23.gif
(magnetic moment)



upload_2016-10-22_11-37-13.gif


Hence, U



upload_2016-10-22_11-36-42.gif
F

upload_2016-10-22_11-39-0.gif
Is it correct?
 

Attachments

  • upload_2016-10-22_11-17-49.gif
    upload_2016-10-22_11-17-49.gif
    313 bytes · Views: 431
  • upload_2016-10-22_11-17-49.gif
    upload_2016-10-22_11-17-49.gif
    313 bytes · Views: 447
  • upload_2016-10-22_11-18-17.gif
    upload_2016-10-22_11-18-17.gif
    1.1 KB · Views: 441
  • upload_2016-10-22_11-36-20.gif
    upload_2016-10-22_11-36-20.gif
    1.7 KB · Views: 453
Looks somewhat good. The magnetic field with the natural log could then be expanded in a Taylor series. Qualitatively, you can work out the direction of the result. Does ## m ## point in the same direction as ## B ## ? ## U=-m \cdot B ##. Suggest you check the sign on ## U ##. The system will tend to go to a state of lower energy. If ## U ## is positive, this will mean the force will push the loop to a direction where ## B ## is lower in amplitude. Also, I might point out that this one has a coordinate system with the x coordinate set up in such a manner that it makes it difficult to use formulas like ## F=- \nabla U ## and get the sign correct. For this formula to work, x needs to be the position of the loop. That is essentially given by ## X ## and not ## x ##.
 
Charles Link said:
Looks somewhat good. The magnetic field with the natural log could then be expanded in a Taylor series. Qualitatively, you can work out the direction of the result. Does ## m ## point in the same direction as ## B ## ? ## U=-m \cdot B ##. Suggest you check the sign on ## U ##. The system will tend to go to a state of lower energy. If ## U ## is positive, this will mean the force will push the loop to a direction where ## B ## is lower. Also, I might point out that this one has a coordinate system with the x coordinate set up in such a manner that it makes it difficult to use formulas like ## F=- \nabla U ## and get the sign correct. For this formula to work, x needs to be the position of the loop. That is essentially given by ## X ## and not ## x ##.
Thank you for your help. But I have a question.
You said that "Looks somewhat good". Is it mean that not only my calculation but also assumption(neglect z coordinate) is good?
 
gaus12777 said:
Thank you for your help. But I have a question.
You said that "Looks somewhat good". Is it mean that not only my calculation but also assumption(neglect z coordinate) is good?
Most of it, including neglecting the z-coordinate is correct. The ## B ## and ## m ## point in opposite directions though, if I'm not mistaken. Please verify this. This means ## U ## is positive. editing... Also expand ## ln(1+u)=u ## for small ## u ## will make your algebra/gradient operation simpler.
 
Charles Link said:
Most of it, including neglecting the z-coordinate is correct. The ## B ## and ## m ## point in opposite directions though, if I'm not mistaken. Please verify this. This means ## U ## is positive. editing... Also expand ## ln(1+u)=u ## for small ## u ## will make your algebra/gradient operation simpler.

Thank you for your help.
I missed out - sigh
 
  • Like
Likes   Reactions: Charles Link

Similar threads

Replies
4
Views
1K
Replies
1
Views
2K
Replies
7
Views
3K
  • · Replies 25 ·
Replies
25
Views
2K
Replies
11
Views
3K
Replies
11
Views
5K
  • · Replies 2 ·
Replies
2
Views
2K
Replies
34
Views
2K
Replies
12
Views
2K
Replies
3
Views
2K