I'd like some feedback on my approach to solving this integral

Click For Summary
SUMMARY

The discussion centers on the efficiency of solving the indefinite integral of an exponential function with a logarithmic power. The user employed u-substitution and integration by parts but was advised that a more efficient method exists. Specifically, the transformation a^{lnx} = x^{lna} simplifies the integration process significantly. Additionally, the importance of including the constant of integration was emphasized.

PREREQUISITES
  • Understanding of u-substitution in integral calculus
  • Familiarity with integration by parts
  • Knowledge of exponential functions and logarithms
  • Basic principles of indefinite integrals
NEXT STEPS
  • Study the properties of exponential functions and their integrals
  • Learn advanced techniques for integration, including substitution methods
  • Explore the concept of the constant of integration in indefinite integrals
  • Investigate alternative methods for solving integrals involving logarithmic expressions
USEFUL FOR

Students and educators in calculus, mathematicians focusing on integral calculus, and anyone looking to enhance their integration techniques and efficiency.

tomvidm
Messages
3
Reaction score
5
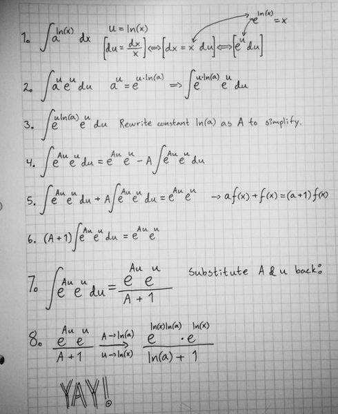
1. I gave myself the task of solving the indefinite integral of an exponential function whose base is any real valued constant and whose power is a logarithm of the variable I am integrating over. Now my question is not how to solve it, but rather, whether or not my approach was efficient. I've just started practicing doing the u-substitutions, so my approach was centered around that, but it also involved integration by parts. Below is an image of my paper containing all the information I think is needed.

6AjLzpHl.jpg


Was my choice of technique good or could I have solved this integral in some other manner?
(Also, I removed the points 2) and 3) which comes with every thread here. I think the image speaks for itself.)
 
Last edited:
Physics news on Phys.org
There is a faster way. Note that [itex]a^{lnx}=(e^{lna})^{lnx}=(e^{lnx})^{lna}=x^{lna}[/itex], which is very easy to integrate. Your answer can be simplified by noting that [itex]e^{lnx}=x[/itex] as long as x>0, and the two answers will be identical.

Edit: This is a minor point, but never forget your constant of integration!
 
Last edited:

Similar threads

Replies
2
Views
2K
Replies
7
Views
2K
  • · Replies 2 ·
Replies
2
Views
1K
Replies
2
Views
3K
  • · Replies 5 ·
Replies
5
Views
2K
  • · Replies 12 ·
Replies
12
Views
2K
  • · Replies 2 ·
Replies
2
Views
1K
  • · Replies 4 ·
Replies
4
Views
2K
  • · Replies 1 ·
Replies
1
Views
2K
  • · Replies 2 ·
Replies
2
Views
2K