Induction heat flux density induced by wire in a slab

Click For Summary
SUMMARY

This discussion focuses on calculating the induction heat flux density induced by an infinitely long wire in an infinitely large slab. The user explores two approaches: the first involves calculating induced currents from H-field circulation, while the second utilizes a 2D model to determine the linear density of the electric displacement field (EDF). Concerns are raised regarding the limitations of electromagnetic field penetration depth and the potential divergence of the integral for EDF. The user seeks validation of their solutions and alternative methods for solving the problem.

PREREQUISITES
  • Understanding of electromagnetic field theory
  • Familiarity with Joule heating concepts
  • Knowledge of electric displacement field (EDF) calculations
  • Experience with 2D modeling in electromagnetic simulations
NEXT STEPS
  • Research methods for calculating induced currents in electromagnetic fields
  • Explore techniques for modeling Joule heating in conductive materials
  • Learn about convergence criteria for integrals in electromagnetic applications
  • Investigate alternative approaches to simulate induction heating in slabs
USEFUL FOR

Electromagnetic engineers, materials scientists, and researchers involved in induction heating simulations and electromagnetic field analysis.

AntonAv
Messages
1
Reaction score
0
Thread moved from the technical forums to the schoolwork forums
TL;DR Summary: How to calculate induction heat flux (density) induced by an infinitely long wire in an infinitely large slab.

Hi,
I have to simulate induction heating caused by a straight long wire in a thick slab of material (no strict limitations).
To make it, in the best case I should calculate heat flux density. The heat source is a Joule heating in a slab. This way the task concludes in finding induced currents.

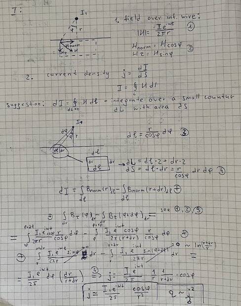
I have attached on the foto below task description and two approaches to solve it.

In the first approach I am calculating induced currents from H-field circulation. I am not sure in this solution as a limitation in EM field penetration depth is not occurred, and I am not really experienced in electromagnetic engineering.
The second approach is based on a 2D model and aimed to find linear density of EDF. I am also not sure in it. Especially I have doubts that integral for EDF is divergent without limitations.
I want you to check my solutions, please!
May be you have another approaches to solve it, they are super welcome!

Best wishes for you!!!

Images consist of 3 Pages.
1. Task description. 2. First approach to solve. 3. Second approach to solve
 

Attachments

  • Image.jpg
    Image.jpg
    78.9 KB · Views: 89
  • Image (1).jpg
    Image (1).jpg
    62 KB · Views: 82
  • Image (2).jpg
    Image (2).jpg
    59.9 KB · Views: 74

Similar threads

  • · Replies 7 ·
Replies
7
Views
2K
  • · Replies 2 ·
Replies
2
Views
3K
Replies
7
Views
2K
  • · Replies 60 ·
3
Replies
60
Views
7K
  • · Replies 1 ·
Replies
1
Views
3K
  • · Replies 1 ·
Replies
1
Views
2K
  • · Replies 2 ·
Replies
2
Views
2K
Replies
5
Views
2K
Replies
4
Views
2K
  • · Replies 6 ·
Replies
6
Views
3K