Integral ## \int _{ }^{ }\frac{1}{\sqrt{x^3+1}}dx ##

Click For Summary

Homework Help Overview

The discussion revolves around the integral \(\int \frac{1}{\sqrt{x^3+1}}dx\), which falls under the subject area of calculus, specifically focusing on integration techniques and series expansions. Participants express confusion regarding the application of hypergeometric series and the derivation of related terms.

Discussion Character

  • Exploratory, Conceptual clarification, Mathematical reasoning, Problem interpretation

Approaches and Questions Raised

  • Participants explore different methods to approach the integral, including the use of hypergeometric series and differential equations. Questions arise about deriving specific functions \(p(x)\) and \(q(x)\) for an associated ordinary differential equation (ODE). There is also discussion about the validity of certain steps taken in the derivation process.

Discussion Status

The conversation is active, with participants sharing various approaches and hints. Some have provided specific equations and methods, while others are questioning the correctness of their own attempts and seeking clarification on the steps involved. There is a mix of exploration and guidance, but no consensus has been reached on a particular method or solution.

Contextual Notes

Participants note the complexity of the integral and the potential need for advanced techniques such as Frobenius' Method. There is an acknowledgment of the challenges posed by the hypergeometric series and the requirement to recognize patterns in the resulting power series.

Tapias5000
Messages
46
Reaction score
10
Homework Statement
These types of problems have been a mystery to me.
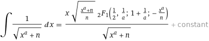
According to wolfram this ends in the function ## _2F1(a,b;c;z) ##
but how?
Relevant Equations
## _2F1(a,b;c;z)=\sum _{n=0}^∞\frac{\left(a\right)_n\left(b\right)_n}{\left(c\right)_n}=1+\frac{abz}{c1!}+\frac{a\left(a+1\right)b\left(b+1\right)z^2}{c\left(c+1\right)2!}+... ##
I also don't understand how to get the descending factorials for this hypergeometric series, I also know that there is another way to write it with gamma functions, but in any case how am I supposed to do this?
If I write it as a general term, wolfram will give me the result

gif&s=15.gif

which leaves me even more puzzled since I do not understand where a, b and c are
Could you tell me where to start? or where you should keep looking for information.
 
Last edited:
Physics news on Phys.org
Set [itex]I = \int 1/\sqrt{1 + x^a}\,dx[/itex] and find [itex]p(x)[/itex] and [itex]q(x)[/itex] such that [tex] \frac{d^2I}{dx^2} + p(x)\frac{dI}{dx} + q(x)I = 0.[/tex] Then solve this ODE using Frobenius' Method to get a power series, which you then need to recognise as the power series of whatever Wolfram told you the integral is. Or recognise that setting [itex]I(x) = xf(-x^a)[/itex] leads to [itex]f[/itex] satisfying the hypergeometric differential equation,[tex] z(1-z)f'' + (c - (a + b + 1)z)f' - abf = 0.[/tex] (Note that the expression given by wolfram can be further simplified to [itex](x/\sqrt{n}){}_2F_1(\dots)[/itex].)
 
  • Like
Likes   Reactions: Tapias5000 and anuttarasammyak
pasmith said:
Set [itex]I = \int 1/\sqrt{1 + x^a}\,dx[/itex] and find [itex]p(x)[/itex] and [itex]q(x)[/itex] such that [tex] \frac{d^2I}{dx^2} + p(x)\frac{dI}{dx} + q(x)I = 0.[/tex] Then solve this ODE using Frobenius' Method to get a power series, which you then need to recognise as the power series of whatever Wolfram told you the integral is. Or recognise that setting [itex]I(x) = xf(-x^a)[/itex] leads to [itex]f[/itex] satisfying the hypergeometric differential equation,[tex] z(1-z)f'' + (c - (a + b + 1)z)f' - abf = 0.[/tex] (Note that the expression given by wolfram can be further simplified to [itex](x/\sqrt{n}){}_2F_1(\dots)[/itex].)
How do I obtain p (x) and q (x) ?, I had done similar exercises but in that case I did it from the solution already given ...
oh i got to solve the edo
## \frac{d^2I}{dx^2}+\frac{dI}{dx}+I=0 ##
and then replace?
 
Tapias5000 said:
How do I obtain p (x) and q (x) ?, I had done similar exercises but in that case I did it from the solution already given ...
oh i got to solve the edo
## \frac{d^2I}{dx^2}+\frac{dI}{dx}+I=0 ##
and then replace?
what I did was the following, even though I am sure this is incorrect.
## I=\frac{1}{\sqrt{1+x^a}} ##

## \frac{dI}{dx}=-\frac{ax^{a-1}}{2\left(1+x^a\right)^{\frac{3}{2}}},\ \ \frac{d^2I}{dx^2}=-\frac{ax^{a-2}\left(-ax^a-2x^a+2a-2\right)}{4\left(x^a+1\right)^{\frac{5}{2}}} ##

## \frac{d^2I}{dx^2}+p\left(x\right)\frac{dI}{dx}+q\left(x\right)I=0 ##

## -\frac{ax^{a-2}\left(-ax^a-2x^a+2a-2\right)}{4\left(x^a+1\right)^{\frac{5}{2}}}-p\left(x\right)\frac{ax^{a-1}}{2\left(1+x^a\right)^{\frac{3}{2}}}+q\left(x\right)\frac{1}{\sqrt{1+x^a}}=0 ##

## p\left(x\right)=\frac{-ax^a-2x^a+2a-2}{2\left(x^a+1\right)x}+q\left(x\right)\frac{2\left(1+x^a\right)}{ax^{a-1}} ##

## -\frac{ax^{a-2}\left(-ax^a-2x^a+2a-2\right)}{4\left(x^a+1\right)^{\frac{5}{2}}}-\left(\frac{-ax^a-2x^a+2a-2}{2\left(x^a+1\right)x}+q\left(x\right)\frac{2\left(1+x^a\right)}{ax^{a-1}}\right)\frac{ax^{a-1}}{2\left(1+x^a\right)^{\frac{3}{2}}}+q\left(x\right)\frac{1}{\sqrt{1+x^a}}=0 ##

I doubt this is the way ...
 
Hint: if [itex]f = g(x)^\beta[/itex] then [tex] \frac{df}{dx} = \beta g(x)^{\beta - 1} \frac{dg}{dx}= \left(\frac{\beta}{g(x)}\frac{dg}{dx}\right)f.[/tex]
 
  • Like
Likes   Reactions: Tapias5000
pasmith said:
Hint: if [itex]f = g(x)^\beta[/itex] then [tex] \frac{df}{dx} = \beta g(x)^{\beta - 1} \frac{dg}{dx}= \left(\frac{\beta}{g(x)}\frac{dg}{dx}\right)f.[/tex]
Where did you get the last equation from?

## \left(\frac{\beta}{g(x)}\frac{dg}{dx}\right)f ##
 
@pasmith I tried another approach obtaining the following, I do not know if it is correct

\begin{array}{l}\int_{ }^{ }\frac{1}{\sqrt{x^3+1}}dx\\

\int_{ }^{ }\left(x^3+1\right)^{-\frac{1}{2}}dx\\

\left(1+u\right)^R\ \ \left[u=x^3,\ R=-\frac{1}{2}\right]\\

f\left(u\right)=\left(1+u\right)^R\\

f^{\prime}\left(u\right)=R\left(1+u\right)^{R-1}\\

f^{\prime\prime}\left(u\right)=R\left(R-1\right)\left(1+u\right)^{R-2}\\

f^{\prime\prime\prime}\left(u\right)=R\left(R-1\right)\left(R-2\right)\left(1+u\right)^{R-3}\\

f^{\prime\prime\prime\prime}\left(u\right)=R\left(R-1\right)\left(R-2\right)\left(R-3\right)\left(1+u\right)^{R-4}\\

f^n\left(u\right)=\left(R\right)_n\left(1+u\right)^{R-n}\ \ ,\ \left[R<0\right]\\

f\left(0\right)=1\\

f^{\prime}\left(0\right)=R\\

f^{\prime\prime}\left(0\right)=R\left(R-1\right)\\

f^{\prime\prime\prime}\left(0\right)=R\left(R-1\right)\left(R-2\right)\\

f^{\prime\prime\prime\prime}\left(u\right)=R\left(R-1\right)\left(R-2\right)\left(R-3\right)\\

f^n\left(0\right)=\left(R\right)_n\ \left[R<0\right]\\

\frac{f\left(0\right)}{0!}+\frac{f^{\prime}\left(0\right)u}{1!}+\frac{f^{\prime\prime}\left(0\right)u^2}{2!}+\frac{f^{\prime\prime\prime}\left(0\right)u^3}{3!}+\frac{f^{\prime\prime\prime\prime}\left(0\right)u^4}{4!}+...\frac{f^n\left(0\right)u^n}{n!}\\

1+\frac{Rx}{1!}+\frac{R\left(R-1\right)x^2}{2!}+\frac{R\left(R-1\right)\left(R-2\right)x^3}{3!}+\frac{R\left(R-1\right)\left(R-2\right)\left(R-3\right)x^4}{4!}+...\frac{\left(R\right)_nu^n}{n!}\ \ \left[u=x^3,\ R=-\frac{1}{2}\right]\\

1-\frac{x}{2\cdot1!}+\frac{3x^2}{2^2\cdot2!}-\frac{1\left(3\right)\left(5\right)x^3}{2^33!}+\frac{1\left(3\right)\left(5\right)\left(7\right)x^4}{2^44!}\ +...\frac{-\left(\frac{1}{2}\right)_nx^{3n}}{n!}\\

\sum_{n=0}^{\infty}\frac{\left(R\right)_nu^n}{n!}\ \ \left[u=x^3,\ R=-\frac{1}{2}\right]\\

\int_{ }^{ }\sum_{n=0}^{\infty}\frac{-\left(\frac{1}{2}\right)_nx^{3n}}{n!}dx...\ ?\end{array}
 
This is what I have been able to advance, I am concerned if the declining factor of 4/3 is actually correct ...
1639675339376.png
 

Attachments

  • 1639675297318.png
    1639675297318.png
    26.1 KB · Views: 167

Similar threads

Replies
7
Views
2K
Replies
3
Views
2K
  • · Replies 44 ·
2
Replies
44
Views
6K
  • · Replies 54 ·
2
Replies
54
Views
17K
  • · Replies 2 ·
Replies
2
Views
2K
Replies
4
Views
3K
  • · Replies 22 ·
Replies
22
Views
3K
  • · Replies 9 ·
Replies
9
Views
3K
  • · Replies 5 ·
Replies
5
Views
1K
Replies
20
Views
2K