Integrate using Partial Fractions

Click For Summary
SUMMARY

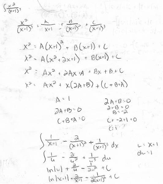
The discussion centers on the integration of functions using partial fractions, specifically addressing a user's query about an error in their calculations. The user initially misinterpreted the differential notation, confusing du with dx. A participant confirmed that the coefficients were accurate and clarified that the only mistake was in the differential substitution. The overall conclusion is that the user's solution is fundamentally correct aside from this minor error.

PREREQUISITES
  • Understanding of integration techniques, specifically partial fractions
  • Familiarity with differential notation and its applications
  • Basic knowledge of calculus concepts
  • Ability to analyze mathematical problems and solutions
NEXT STEPS
  • Review the method of partial fraction decomposition in calculus
  • Study the rules of differentiation and integration to avoid common errors
  • Practice solving integration problems involving differentials
  • Explore advanced integration techniques beyond partial fractions
USEFUL FOR

Students and educators in mathematics, particularly those studying calculus and integration techniques, as well as anyone looking to refine their problem-solving skills in mathematical analysis.

fender5bass
Messages
2
Reaction score
0

Attachments

  • scan0038.jpg
    scan0038.jpg
    28 KB · Views: 623
Last edited by a moderator:
Physics news on Phys.org
Your coefficients are correct, so no problem there. Just a little issue, but [tex]du = dx[/tex] not [tex]du = 1[/tex].

Other than that, there is no error. Your solution is correct.
 
Oh, ok thanks.
 

Similar threads

  • · Replies 16 ·
Replies
16
Views
3K
  • · Replies 1 ·
Replies
1
Views
1K
  • · Replies 8 ·
Replies
8
Views
2K
Replies
9
Views
3K
  • · Replies 3 ·
Replies
3
Views
2K
Replies
3
Views
2K
  • · Replies 6 ·
Replies
6
Views
2K
  • · Replies 3 ·
Replies
3
Views
2K
  • · Replies 7 ·
Replies
7
Views
3K
  • · Replies 7 ·
Replies
7
Views
2K