Integration of Maxwell speed distribution function

Click For Summary

Homework Help Overview

The discussion revolves around deriving the equation for average molecular speed from the Maxwell speed distribution function. The original poster presents an integral involving the Maxwell distribution and expresses confusion regarding the evaluation of the integral limits.

Discussion Character

  • Exploratory, Assumption checking, Conceptual clarification

Approaches and Questions Raised

  • Participants discuss the appropriateness of the integration limits, with one suggesting that integrating from negative infinity to infinity yields zero due to the odd nature of the function involved. There is also a consideration of whether the function represents a probability density of velocity or speed.

Discussion Status

Participants are actively questioning the assumptions regarding the integration limits and the nature of the function. Some guidance has been offered regarding the distinction between average velocity and average speed, indicating a productive direction in the discussion.

Contextual Notes

The original poster expresses uncertainty about the integration limits provided in the assignment, suggesting a potential need to adjust them to a more logical range. There is an acknowledgment of the difference between average velocity and average speed, which may influence the approach taken.

theghost28
Messages
2
Reaction score
0

Homework Statement


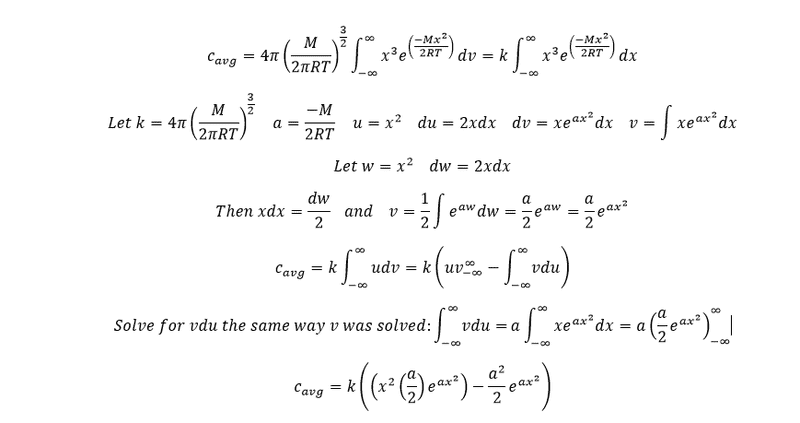
Show the steps needed to obtain the equation for average molecular speed, cavg=√8RT/πM from the integral (from negative infinity to infinity) ∫v*f(v)dv where f(v) is the Maxwell distribution of speeds function f(v)=4π*(M/2πRT)1.5v2e-Mv2/2RT

M is the molar mass of the particle in kg/mol, R is the gas constant (8.314), v is particle velocity, e is the natural number and T is temperature in Kelvin.

Homework Equations


In the problem statement

The Attempt at a Solution


Capture7.PNG


I changed v from the problem to x for simplicity since I'm used to using v for integration by parts. I'm fairly sure this solution is correct, as I've googled what the integral of x3*ex2 is and others have obtained this as well. The problem is when I evaluate that expression from negative infinity to infinity, I get zero. I've gone over my math multiple times, is there something I'm missing?
 
Last edited:
Physics news on Phys.org
theghost28 said:

Homework Statement


Show the steps needed to obtain the equation for average molecular speed, cavg=√8RT/πM from the integral (from negative infinity to infinity) ∫v*f(v)dv where f(v) is the Maxwell distribution of speeds function f(v)=4π*(M/2πRT)1.5v2e-Mv2/2RT

M is the molar mass of the particle in kg/mol, R is the gas constant (8.314), v is particle velocity, e is the natural number and T is temperature in Kelvin.

Homework Equations


In the problem statement

The Attempt at a Solution


View attachment 98052

I changed v from the problem to x for simplicity since I'm used to using v for integration by parts. I'm fairly sure this solution is correct, as I've googled what the integral of x3*ex2 is and others have obtained this as well. The problem is when I evaluate that expression from negative infinity to infinity, I get zero. I've gone over my math multiple times, is there something I'm missing?
When you integrate the odd function vf(v) from -∞ to +∞, obviously you get 0.
Are you sure about the integration limits?

Maybe consider the following question: under what circumstances is speed negative?
 
I'm sure about the integration limits given in the assignment although I agree they don't really make sense. I guess I'll use 0 to infinity and make a note of it.
 
theghost28 said:
I'm sure about the integration limits given in the assignment although I agree they don't really make sense. I guess I'll use 0 to infinity and make a note of it.

Your calculation looks at average velocity, which is zero in this case. Average speed is different.

The first thing you need to figure out is whether the given ##f(v)## is a probability density of velocity or of speed. Can you see how to do that?
 

Similar threads

Replies
5
Views
2K
  • · Replies 3 ·
Replies
3
Views
4K
  • · Replies 12 ·
Replies
12
Views
3K
  • · Replies 5 ·
Replies
5
Views
973
  • · Replies 5 ·
Replies
5
Views
2K
Replies
14
Views
2K
  • · Replies 1 ·
Replies
1
Views
1K
  • · Replies 14 ·
Replies
14
Views
5K
  • · Replies 4 ·
Replies
4
Views
3K
  • · Replies 4 ·
Replies
4
Views
5K