KVL and sensitivity of a simple circuit

Click For Summary
SUMMARY

This discussion focuses on Kirchhoff's Voltage Law (KVL) and the sensitivity analysis of a simple electrical circuit. Participants express uncertainty regarding the application of KVL and explore the implications of circuit orientation on sensitivity calculations. A reference to a diode concept is provided, indicating the relevance of semiconductor behavior in circuit analysis. The conversation emphasizes the need for clarity in understanding KVL and its practical applications in circuit design.

PREREQUISITES
  • Understanding of Kirchhoff's Voltage Law (KVL)
  • Basic knowledge of circuit schematics and orientation
  • Familiarity with diode characteristics and behavior
  • Concepts of sensitivity analysis in electrical engineering
NEXT STEPS
  • Study the application of Kirchhoff's Voltage Law in complex circuits
  • Learn about sensitivity analysis techniques in circuit design
  • Explore diode behavior and its impact on circuit performance
  • Review circuit schematic design and orientation effects on analysis
USEFUL FOR

Electrical engineering students, circuit designers, and anyone involved in analyzing and optimizing simple electrical circuits.

adamaero
Messages
109
Reaction score
1

Homework Statement


upload_2018-4-2_15-37-43.png

upload_2018-4-2_15-38-18.png


Homework Equations


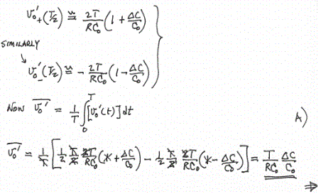
upload_2018-4-2_15-39-19.png


The Attempt at a Solution


Note to self - simple diode concept: http://www.cs.tut.fi/kurssit/TLT-8016/Chapter3.pdf#page=5
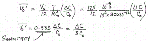
upload_2018-4-2_15-42-37.png


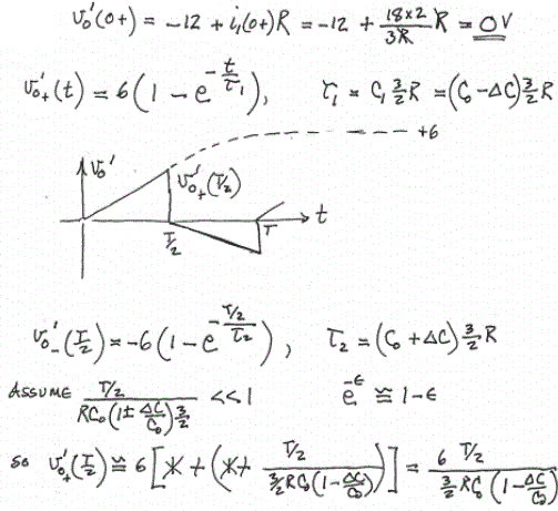
upload_2018-4-2_22-58-16.png

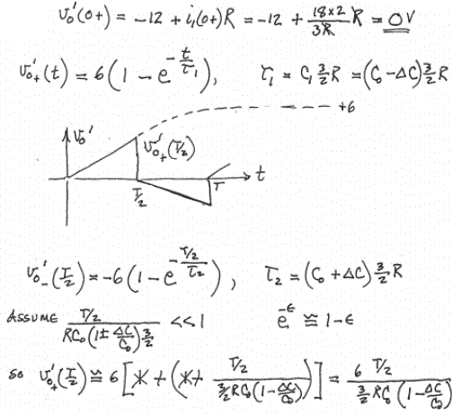
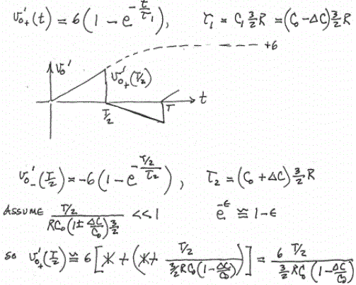
Unsure about this KVL (above).

upload_2018-4-2_22-59-5.png


upload_2018-4-2_22-55-43.png

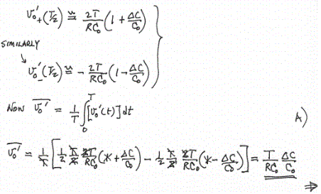
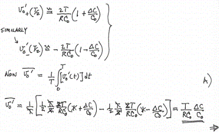
For the last sensitivity part, equations be falling out of the sky...
 

Attachments

  • upload_2018-4-2_15-37-43.png
    upload_2018-4-2_15-37-43.png
    23.2 KB · Views: 948
  • upload_2018-4-2_15-38-18.png
    upload_2018-4-2_15-38-18.png
    12 KB · Views: 747
  • upload_2018-4-2_15-39-17.png
    upload_2018-4-2_15-39-17.png
    15.4 KB · Views: 575
  • upload_2018-4-2_15-39-19.png
    upload_2018-4-2_15-39-19.png
    15.4 KB · Views: 836
  • upload_2018-4-2_15-42-37.png
    upload_2018-4-2_15-42-37.png
    10.8 KB · Views: 514
  • upload_2018-4-2_22-54-44.png
    upload_2018-4-2_22-54-44.png
    21.6 KB · Views: 600
  • upload_2018-4-2_22-55-43.png
    upload_2018-4-2_22-55-43.png
    7.3 KB · Views: 502
  • upload_2018-4-2_22-58-16.png
    upload_2018-4-2_22-58-16.png
    2.8 KB · Views: 533
  • upload_2018-4-2_22-59-5.png
    upload_2018-4-2_22-59-5.png
    18.8 KB · Views: 486
Physics news on Phys.org
See if it helps with the schematic rotated 90 degrees like this.
www.physicsforums.com_upload_2018-4-2_15-42-37-png.223260.png

If that doesn't quite do it,
mentally slide the batteries around to be on the left hand vertical.
 

Attachments

  • www.physicsforums.com_upload_2018-4-2_15-42-37-png.223260.png
    www.physicsforums.com_upload_2018-4-2_15-42-37-png.223260.png
    2.6 KB · Views: 373

Similar threads

  • · Replies 7 ·
Replies
7
Views
3K
  • · Replies 8 ·
Replies
8
Views
2K
  • · Replies 4 ·
Replies
4
Views
3K
  • · Replies 1 ·
Replies
1
Views
2K
  • · Replies 4 ·
Replies
4
Views
3K
  • · Replies 19 ·
Replies
19
Views
5K
  • · Replies 2 ·
Replies
2
Views
2K
  • · Replies 5 ·
Replies
5
Views
2K
  • · Replies 7 ·
Replies
7
Views
3K
  • · Replies 42 ·
2
Replies
42
Views
7K