Limit of Functions and Tyalor's theorem

Click For Summary

Homework Help Overview

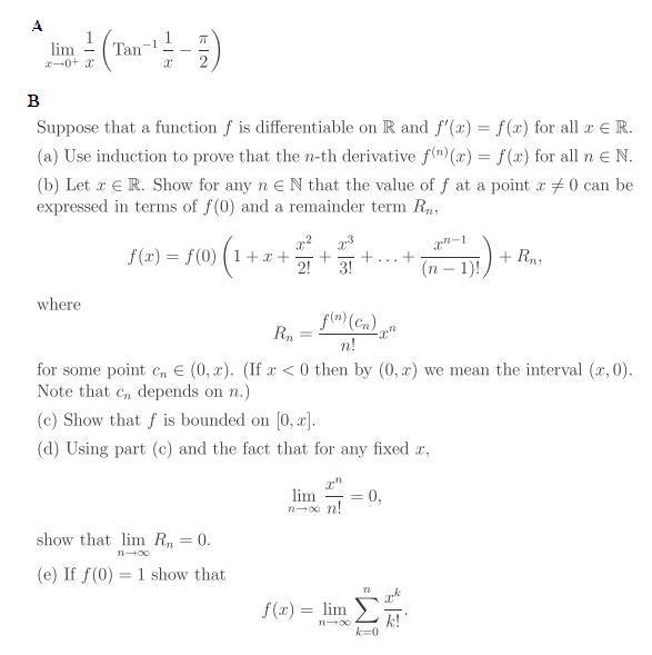
The problem involves limits of functions and Taylor's theorem, specifically addressing two parts: one related to the limit involving the arctangent function and the other concerning the properties of a function defined by its derivatives.

Discussion Character

  • Exploratory, Conceptual clarification, Mathematical reasoning

Approaches and Questions Raised

  • The original poster attempts to apply Taylor's theorem but expresses uncertainty about how to begin. They also propose a substitution for part A and question its validity. Some participants suggest using l'Hopital's rule for part A and inquire about the implications of a function being bounded on a specific interval.

Discussion Status

Participants are exploring different interpretations of the problem, with some providing guidance on potential approaches, such as the use of l'Hopital's rule. There is an ongoing discussion about the boundedness of functions and its implications, indicating a productive exchange of ideas.

Contextual Notes

There is a mention of an image link related to the problem that has had accessibility issues, which may affect the clarity of the problem statement for some participants.

JustinTridums
Messages
3
Reaction score
0

Homework Statement


The problem is attached with this message.
Here is the direct link of the image: http://picasaweb.google.ca/lh/photo/8QB5XydAGZP4jIXfej9lsw?authkey=x-xog63oZxw

Homework Equations


for problem B I know I need to use Taylor's theorem. But I am not sure how to get started?

The Attempt at a Solution



For problem A I think I need to assume 1/x=y and the y-> infinity, is this right direction?

BTW Tan represents the principle branch of tangent function.
 

Attachments

  • Problem.JPG
    Problem.JPG
    30.1 KB · Views: 346
Last edited by a moderator:
Physics news on Phys.org
Your image isn't working for me perhaps to explain the problem in text
 
VeeEight said:
Your image isn't working for me perhaps to explain the problem in text
updated the message, there is adirect link to the image now.
Thanks.
 
For part A, you should know that [itex]\tan^{-1}(+\infty)=\frac{\pi}{2}[/itex], so your limit is of the form [itex]\frac{0}{0}[/itex] and you can use l'Hopital's rule.

For B;if f'(x)=f(x), then f''(x)=__? And so f'''(x)=__?And so...:wink:
 
This clearly is not "pre" calculus so I am moving it to "Calculus and Beyond".
 
gabbagabbahey said:
For part A, you should know that [itex]\tan^{-1}(+\infty)=\frac{\pi}{2}[/itex], so your limit is of the form [itex]\frac{0}{0}[/itex] and you can use l'Hopital's rule.

For B;if f'(x)=f(x), then f''(x)=__? And so f'''(x)=__?And so...:wink:

I got part a abd b of part B but now I am stuck at proving that it is bounded by [0,x] and after that I think I know. But if you can help me with that that would be great!
 
What does it mean for f(x) to be bounded on [0,x]?
 
It means there exists a value M such that |f(y)| ≤ M for all y in [0,x].
 

Similar threads

  • · Replies 6 ·
Replies
6
Views
2K
  • · Replies 1 ·
Replies
1
Views
1K
  • · Replies 1 ·
Replies
1
Views
1K
  • · Replies 10 ·
Replies
10
Views
2K
  • · Replies 40 ·
2
Replies
40
Views
5K
  • · Replies 2 ·
Replies
2
Views
2K
  • · Replies 1 ·
Replies
1
Views
3K
  • · Replies 10 ·
Replies
10
Views
2K
  • · Replies 27 ·
Replies
27
Views
3K
  • · Replies 3 ·
Replies
3
Views
2K